A journal of IEEE and CAA , publishes high-quality papers in English on original theoretical/experimental research and development in all areas of automation
Volume 12 Issue 9
Sep.  2025

IEEE/CAA Journal of Automatica Sinica

  • JCR Impact Factor: 19.2, Top 1 (SCI Q1)
    CiteScore: 28.2, Top 1% (Q1)
    Google Scholar h5-index: 95, TOP 5
Turn off MathJax
Article Contents
M.-F. Ge, Y.-F. Li, C.-B. Wu, Z.-W. Liu, Y. Jia, and S.-S. Liu, “Hierarchical event-triggered predictive control for cross-domain unmanned systems with mixed constraints,” IEEE/CAA J. Autom. Sinica, vol. 12, no. 9, pp. 1938–1940, Sept. 2025. doi: 10.1109/JAS.2024.124797
Citation: M.-F. Ge, Y.-F. Li, C.-B. Wu, Z.-W. Liu, Y. Jia, and S.-S. Liu, “Hierarchical event-triggered predictive control for cross-domain unmanned systems with mixed constraints,” IEEE/CAA J. Autom. Sinica, vol. 12, no. 9, pp. 1938–1940, Sept. 2025. doi: 10.1109/JAS.2024.124797

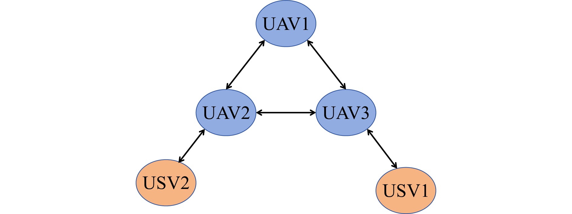
Hierarchical Event-Triggered Predictive Control for Cross-Domain Unmanned Systems With Mixed Constraints

doi: 10.1109/JAS.2024.124797
More Information
  • loading
  • [1]
    Y. Wang, W. Liu, J. Liu, and C. Sun, “Cooperative USV-UAV marine search and rescue with visual navigation and reinforcement learning-based control,” ISA Trans., vol. 137, pp. 222–235, 2023. doi: 10.1016/j.isatra.2023.01.007
    [2]
    F. Zhou, X. Li, M. Alazab, R. H. Jhaveri, and K. Guo, “Secrecy performance for RIS-based integrated satellite vehicle networks with a UAV relay and MRC eavesdropping,” IEEE Trans. Intelligent Vehicles, vol. 8, no. 2, pp. 1676–1685, 2023. doi: 10.1109/TIV.2022.3225466
    [3]
    Z. Zuo, C. Liu, Q.-L. Han, and J. Song, “Unmanned aerial vehicles: Control methods and future challenges,” IEEE/CAA J. Autom. Sinica, vol. 9, no. 4, pp. 601–614, 2022. doi: 10.1109/JAS.2022.105410
    [4]
    M. Labbadi and M. Cherkaoui, “Adaptive fractional-order nonsingular fast terminal sliding mode based robust tracking control of quadrotor UAV with Gaussian random disturbances and uncertainties,” IEEE Trans. Aero. and Electro. Syst., vol. 57, no. 4, pp. 2265–2277, 2021. doi: 10.1109/TAES.2021.3053109
    [5]
    Y. Yan, S. Yu, X. Gao, D. Wu, and T. Li, “Continuous and periodic event-triggered sliding-mode control for path following of underactuated surface vehicles,” IEEE Trans. Cybern., vol. 54, no. 1, pp. 449–461, 2023.
    [6]
    W. Li, Y. Ge, Z. Guan, and G. Ye, “Synchronized motion-based UAV–USV cooperative autonomous landing,” J. Marine Science and Engin., vol. 10, no. 9, pp. 1214–1233, 2022. doi: 10.3390/jmse10091214
    [7]
    S. S. Liu, T. F. Ding, M. F. Ge, X. G. Dong, and Z. W. Liu, “Multiquadrotor formation tracking with mixed constraints: A hierarchical rolling optimization approach,” IEEE Trans. Aero. and Electro. Syst., vol. 59, no. 5, pp. 7269–7280, 2023.
    [8]
    Z. Luo, B. Zhu, J. Zheng, and Z. Zheng, “Robust distributed model predictive control for formation tracking of nonholonomic vehicles,” IEEE/CAA J. Autom. Sinica, vol. 11, no. 2, pp. 560–562, 2024. doi: 10.1109/JAS.2023.123732

Catalog

    通讯作者: 陈斌, bchen63@163.com
    • 1. 

      沈阳化工大学材料科学与工程学院 沈阳 110142

    1. 本站搜索
    2. 百度学术搜索
    3. 万方数据库搜索
    4. CNKI搜索

    Figures(6)

    Article Metrics

    Article views (122) PDF downloads(19) Cited by()

    /

    DownLoad:  Full-Size Img  PowerPoint
    Return
    Return