Early Access

Display Method:
Flexible Federated Learning in Machinery Fault Diagnostics With Light Communication
Xiang Li, Weipeng Fan, Shaojie Yang, Wei Zhang, Xu Li
, Available online  , doi: 10.1109/JAS.2025.125414
Abstract:
While data-driven fault diagnosis methods have been successfully developed in the past years, large amounts of high-quality condition monitoring data are generally required to ensure model performance. Due to the high economic and labor costs in data collection, it is difficult for a single user to build an effective database, and exploring data of multiple users for better training becomes a promising solution. However, data privacy is of great importance in the real industries due to conflicts of interests, and direct data aggregation from different users is hardly feasible. To address this issue, a flexible federated learning method is proposed in this paper. Different from most existing methods with identical models under the federation, different customized individual deep neural network models can be used at different clients. Public data are exploited for knowledge transfer. Only the scores on public data are communicated between clients and server, rather than the whole model parameters. That significantly reduces the communication and computational burden. Experiments are carried out on two real-world machinery fault diagnosis datasets, and the results show the proposed method is promising for data privacy-preserving federated learning with flexible models and light communications.
CCDNN: A Novel Deep Learning Architecture for Multi-Source Data Fusion
Zhiwen Chen, Siwen Mo, Haobin Ke, Steven X. Ding, Zhaohui Jiang, Chunhua Yang, Weihua Gui
, Available online  , doi: 10.1109/JAS.2025.125411
Abstract:
With the rapid development of Industrial 4.0 and Industrial Internet of Things, the data collection with multi-source has significantly improved. How to effectively fuse these data for various engineering applications is still an open and challenge issue. To this end, we propose the canonical correlation guided deep neural network (CCDNN), a novel deep learning architecture, to learn a correlated representation for multi-source data fusion. Unlike the linear canonical correlation analysis (CCA), kernel CCA and deep CCA, in the proposed method, the optimization formulation is not restricted to maximize correlation, instead we make canonical correlation as a constraint, which preserves the correlated representation learning ability and focuses more on the engineering tasks endowed by optimization formulation, such as reconstruction, classification and prediction. Furthermore, to reduce the redundancy induced by correlation, a redundancy filter is designed. We illustrate its data fusion ability via correlated representation learning and superior performance on various engineering tasks. In experiments on MNIST dataset, the results show that CCDNN has better reconstruction performance in terms of mean squared error and mean absolute error than DCCA and DCCAE. Also, we present the application of the proposed network to industrial fault diagnosis and remaining useful life cases for the classification and prediction tasks accordingly. The proposed method demonstrates approving performance in both tasks when compared to existing methods. Extension of CCDNN to much more deeper with the aid of residual connection is also presented in appendix.
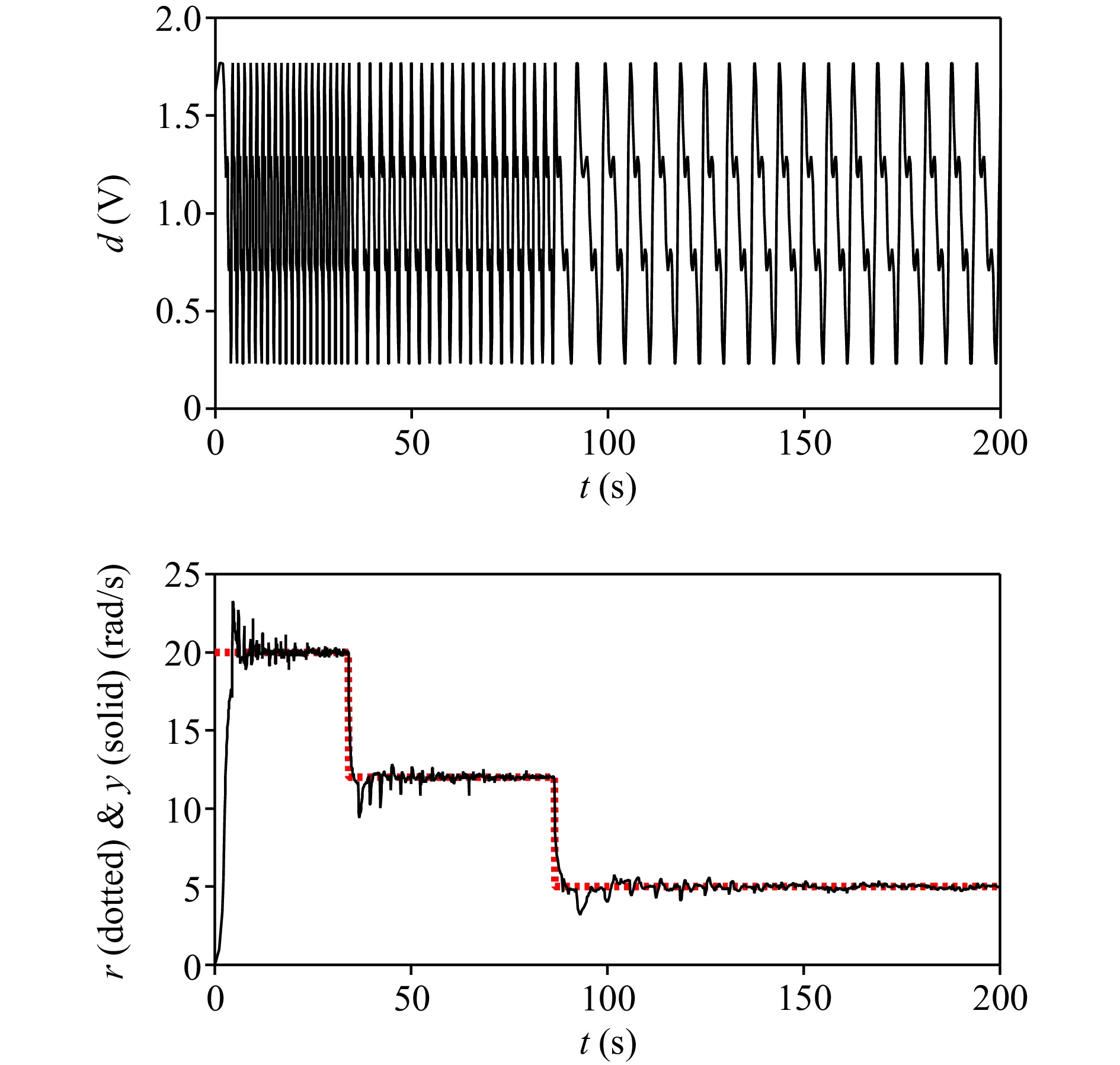
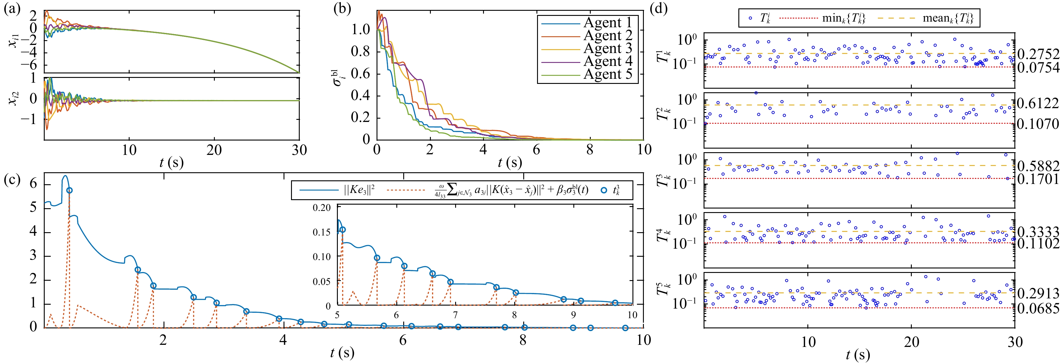
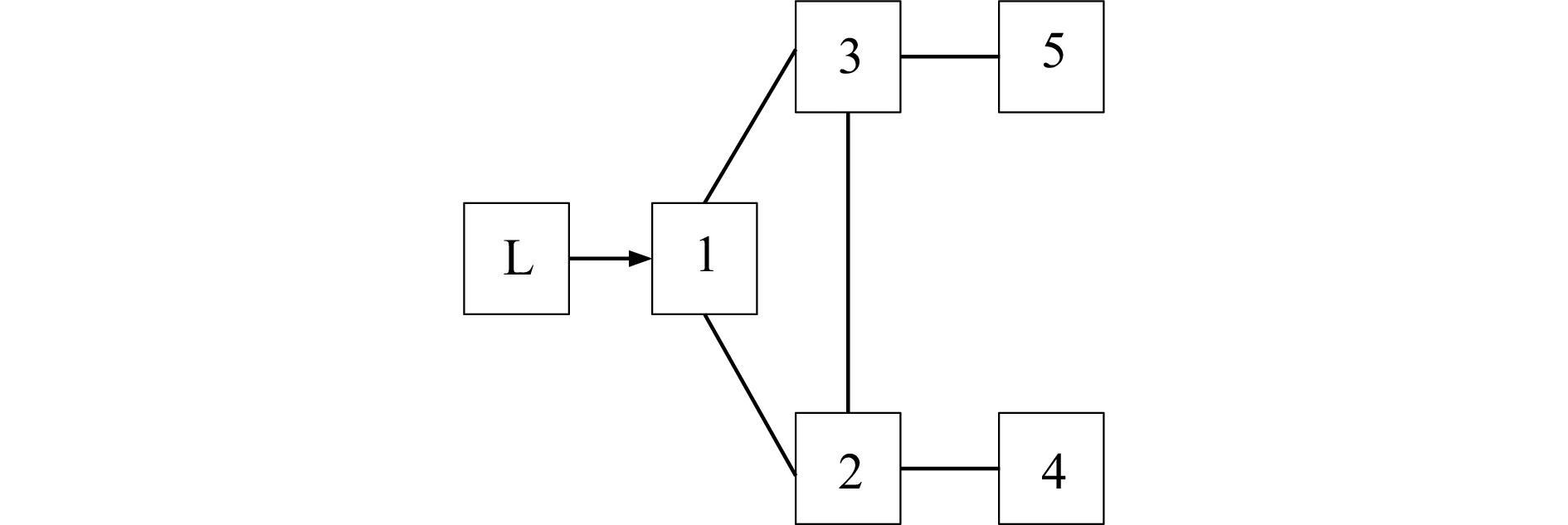
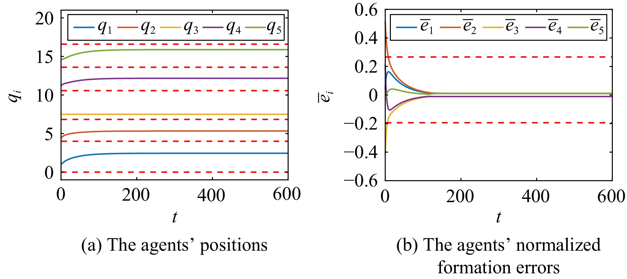
Formation Control of Multi-Agent Systems With Position Constraints on a Closed Curve
Cheng Song, Yongqin He, Jianbin Qiu, Shengyuan Xu
, Available online  , doi: 10.1109/JAS.2025.125219
Abstract:
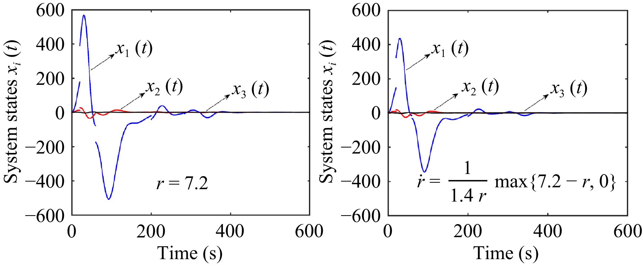
A Stochastic Optimal Control for a Class of LTI Systems With a State-Dependent Wiener Process: An Algebraic Approach
Kento Fujita, Daisuke Tsubakino, Shiuji Hara
, Available online  , doi: 10.1109/JAS.2026.125750
Abstract:
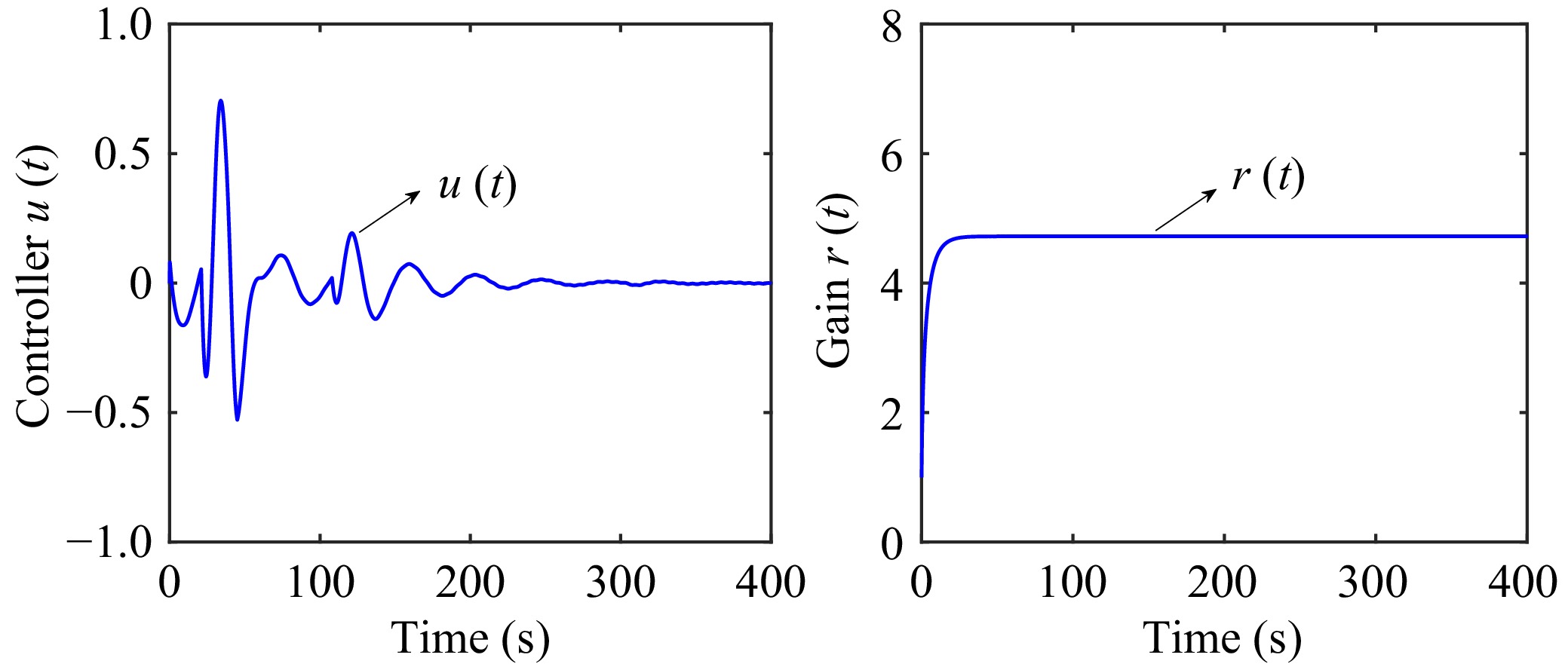
Data-Driven Predictive Control for Continuous-Time Nonlinear Systems: A Nonzero-Sum Game Approach
Juan Liu, Hao Zhang, Yifan Xie, Frank Allgöwer
, Available online  , doi: 10.1109/JAS.2025.125660
Abstract:
Human-Robot Interaction-Based Model Predictive Control for Exoskeleton Robots Driven by Series Elastic Actuators
Changxian Xu, Keping Liu, Zhongbo Sun
, Available online  , doi: 10.1109/JAS.2025.125477
Abstract:
Counterfactual-Guided Implicit Correspondence Prompting for Visible-Infrared Person Re-Identification
Zhaohui Li, Jing Li, Qiangchang Wang, Yilong Yin
, Available online  , doi: 10.1109/JAS.2025.125432
Abstract:
Personalized Differential Privacy Graph Neural Network
Yanli Yuan, Dian Lei, Chuan Zhang, Zehui Xiong, Chunhai Li, Liehuang Zhu
, Available online  , doi: 10.1109/JAS.2025.125279
Abstract:
Relative Motion Based Predictive Adaptive Control: A Case Study of AUV 3D Trajectory Tracking
Daxiong Ji, Xinwei Wang, Yuanchang Liu
, Available online  , doi: 10.1109/JAS.2025.125624
Abstract:
Leader-Follower Formation Control of Quadrotor UAVs With Stochastic Impulsive Deception Attacks
Wenhao Song, Chang Liu, Xiuping Han, Xiaodi Li
, Available online  , doi: 10.1109/JAS.2025.125615
Abstract:
Visual Servo-Based Formation Control of Unmanned Surface Vehicles
Xiang Liu, Yueying Wang, Xudong Zhao, Zhiguang Feng
, Available online  , doi: 10.1109/JAS.2025.125687
Abstract:
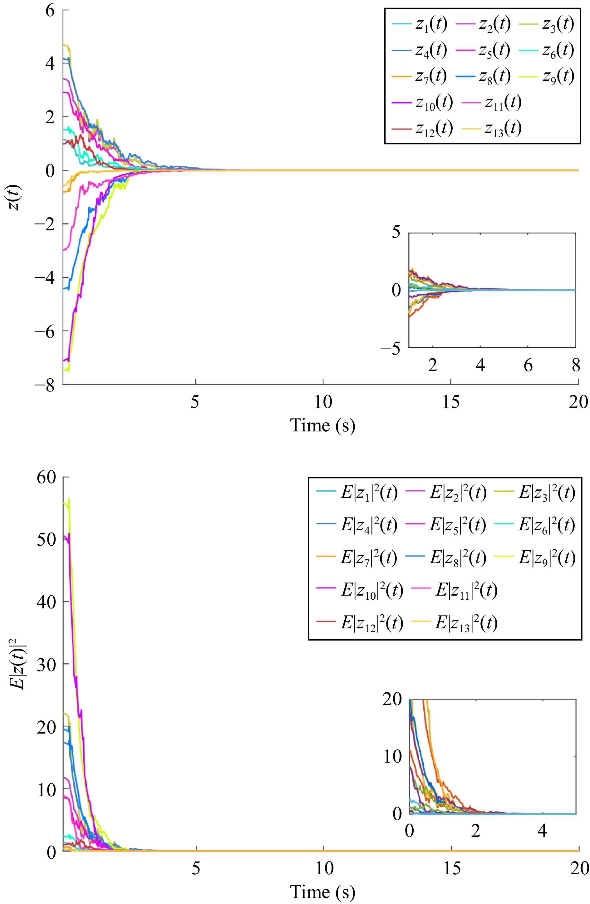
Adaptive Fault-Tolerant Consensus Tracking Control for Nonlinear Multi-Agent Systems With Double Semi-Markovian Switching Topologies and Unknown Control Directions
Chao Zhou, Zehui Mao, Bin Jiang, Xing-Gang Yan
, Available online  , doi: 10.1109/JAS.2025.125285
Abstract:
This paper is concerned with adaptive consensus tracking control of nonlinear multi-agent systems with actuator faults and unknown nonidentical control directions under double semi-Markovian switching topologies. Considering the complex working environment and the stability differences in communication links between leaders and followers, a double semi-Markov process is first introduced to describe the random switching of communication topologies in the leader-follower structure. In order to address challenges from the unknown nonidentical control directions and partial loss of effectiveness actuator faults, a completely independent parameter is introduced into the Nussbaum function to overcome the inherent obstacle of mutual cancellation and avoid the rapid growth rate. Considering only the state information of agents is transmitted among the agents, an adaptive distributed fault-tolerant consensus tracking control is proposed based on the double semi-Markovian switching topologies using the designed Nussbaum function. Furthermore, the stability of the closed-loop nonlinear multi-agent systems is analyzed using contradiction argument and Lyapunov theorem, from which the asymptotic consensus tracking in mean square sense can be obtained. A numerical simulation example is provided to verify the effectiveness of the proposed algorithm.
Representation Then Augmentation: Wide Graph Clustering Network With Multi-Order Filter Fusion and Double-Level Contrastive Learning
Youqing Wang, Tianxiang Zhao, Mingliang Cui, Junbin Gao, Li Liang, Jipeng Guo
, Available online  , doi: 10.1109/JAS.2025.125564
Abstract:
Deep graph contrastive clustering has attracted widespread attentions due to its self-supervised representation learning paradigm and superior clustering performance. Although, two challenges emerge and result in high computational costs. Most existing contrastive methods adopt the data augmentation and then representation learning strategy, where representation learning with trainable graph convolution is coupled with complex and fixed data augmentation, inevitably limiting the efficiency and flexibility. The similarity metric between positive-negative sample pairs is complex and contrastive objective is partial, limiting the discriminability of representation learning. To solve these challenges, a novel wide graph clustering network (WGCN) adhering to representation and then augmentation framework is proposed, which mainly consists of multi-order filter fusion (MFF) and double-level contrastive learning (DCL) modules. Specifically, the MFF module integrates multi-order low-pass filters to extract smooth and multi-scale topological features, utilizing self-attention fusion to reduce redundancy and obtain comprehensive embedding representation. Further, the DCL module constructs two augmented views by the parallel parameter-unshared Siamese encoders rather than complex augmentations on graph. To achieve simple yet effective self-supervised learning, representation self-supervision and structural consistency oriented double-level contrastive loss is designed, where representation self-supervision maximizes the agreement between pairwise augmented embedding representations and structural consistency promotes the mutual information correlation between appending neighborhoods with similar semantics. Extensive experiments on six benchmark datasets demonstrate the superiority of the proposed WGCN, especially highlighting its time-saving characteristic. The code could be available in the https://github.com/TianxiangZhao0474/WGCN.
Searching Positive-Incentive Noise From Optimal Consensus in Continuous Action Iterated Dilemma
Dengxiu Yu, Haojing Li, Litong Fan, Zhen Wang, Xuelong Li
, Available online  , doi: 10.1109/JAS.2025.125348
Abstract:
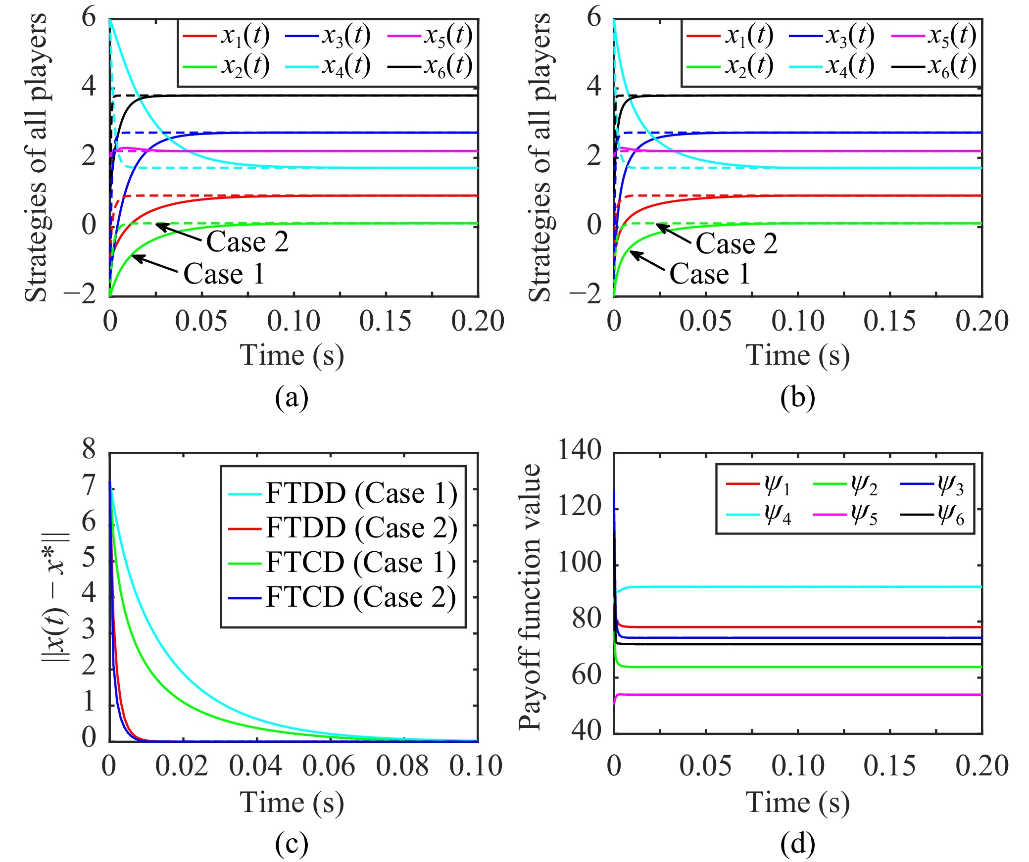
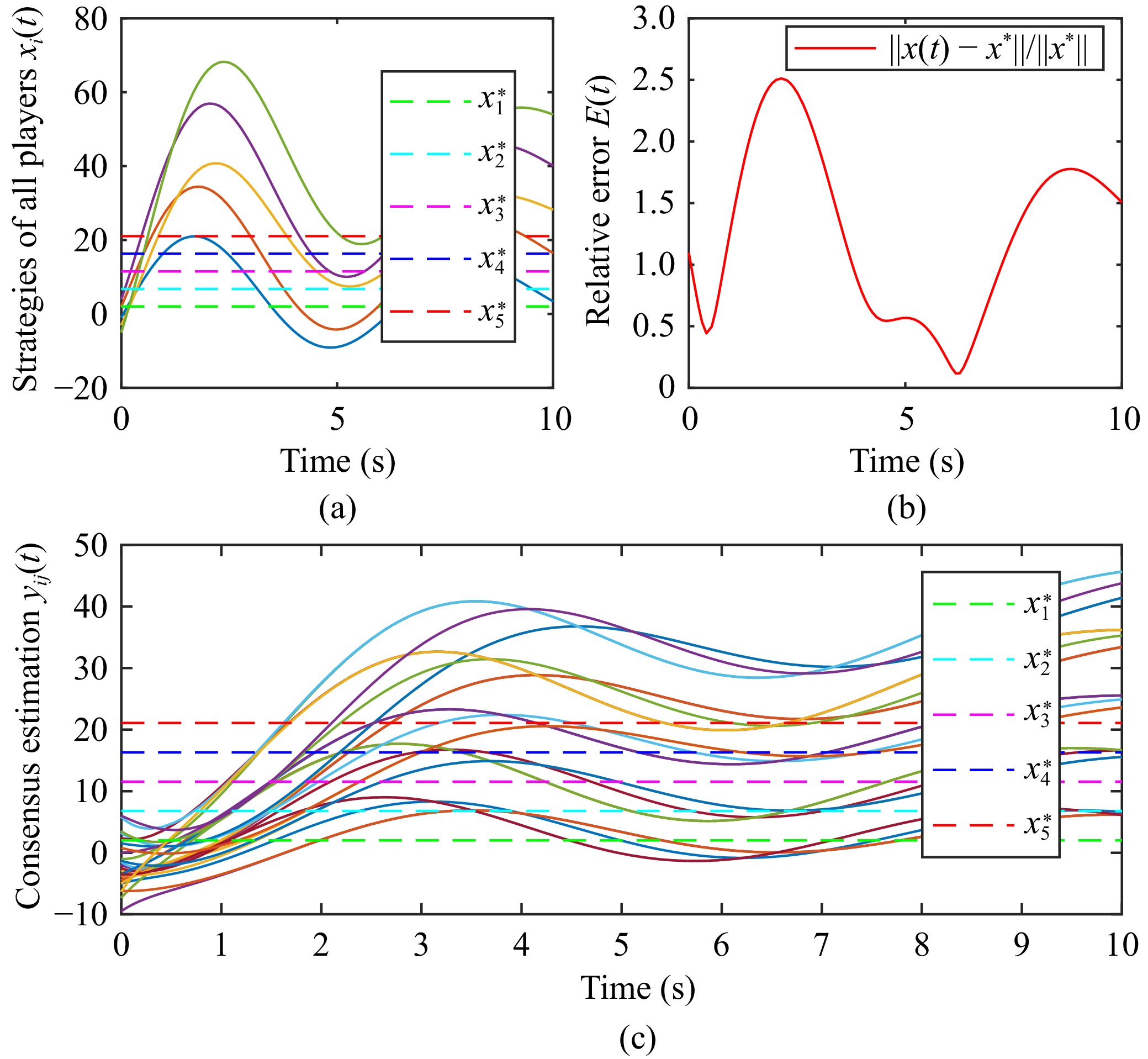
In this paper, an analysis-definition-processing (ADP) framework is proposed to search positive-incentive noise in continuous action iterated dilemma (CAID). We analyze the influence of communication noise on the cooperative behavior of players in the system and introduce the concept of positive-incentive noise in CAID. We design a global cost function to ensure convergence of the system can be achieved and strive to improve the final level of cooperation. An optimal CAID control method is proposed to derive the deterministic optimal learning rate in analytical form, avoiding the variability and uncertainty brought about by neural network fitting or parameter adjustment. On this basis, the convergence of the dynamic model is further analyzed by using the Lyapunov function instead of the Jacobian matrix. Additionally, an adaptive filtering mechanism is designed to dynamically ensure that only positive-incentive noise affects the system, effectively reducing the impact of negative noise and enhancing system stability. The framework is validated through simulations involving triple classical game models, including the hawk-dove game, the stag hunt game, the chicken game on networks, and a straightforward illustrative example.
Exponential Synchronization of Infinite-Dimensional Stochastic Systems With Poisson Jumps Under Aperiodically Intermittent Impulse Control
Lili Chen, Yiqun Liu, Yanfeng Zhao, Zhen Wang
, Available online  , doi: 10.1109/JAS.2025.125384
Abstract:
A novel aperiodically intermittent impulse control (AIIC) method is proposed to investigate the exponential synchronization in mean square (ESMS) of a class of impulsive stochastic infinite-dimensional systems with Poisson jumps (ISIDSP). The AIIC control strategy inherits the flexibility of aperiodically intermittent control, including the variable control period, adjustable control interval length, and the discretization of impulsive control. In addition, this article introduces a novel mild Itô’s formula. By leveraging semigroup theory, the contraction mapping principle, and graph theory, along with constructing the Lyapunov function, the criterion for the existence and uniqueness of a mild solution of ISIDSP is thereby established. Furthermore, the mean-square exponential synchronization problem of the above systems is resolved, and the constraints within the mild solution domain are alleviated. These criteria clarify the impact of control parameters, control intervals and network topology on ESMS. The theoretical results are subsequently applied to a class of neural networks with reaction-diffusion processes, and the validity of the results is verified using numerical simulations.
Collaboration Better Than Integration: A Novel Time-Frequency-Assisted Deep Feature Enhancement Mechanism for Few-Shot Transfer Learning in Anomaly Detection
Wentao Mao, Jianing Wu, Shubin Du, Ke Feng, Zidong Wang
, Available online  , doi: 10.1109/JAS.2025.125702
Abstract:
Deep transfer learning has achieved significant success in anomaly detection over the past decade, but data acquisition challenges in practical engineering hinder high-quality feature representation for few-shot learning tasks. To address this issue, a novel time-frequency-assisted deep feature enhancement (TFE) mechanism is proposed. Unlike traditional methods that integrate time-frequency analysis with deep neural networks, TFE employs a wavelet scattering transform to establish a parallel time-frequency feature space, where a dual interaction strategy facilitates collaboration between deep feature and time-frequency spaces through two operations: 1) Enhancement, where a frequency-importance-driven contrastive learning (FICL) network transfers physically-aware information from wavelet scattering features to deep features, and 2) Feedback, which uses a detection rule adaptation module to minimize bias in wavelet scattering features based on deep feature performance. TFE is applied to a domain-adversarial anomaly detection framework and, through alternating training, significantly enhances both deep feature discriminative power and few-shot anomaly detection. Theoretical analysis confirms that the proposed dual interaction strategy reduces the upper bound of classification error. Experiments on benchmark datasets and a real-world industrial dataset from a large steel factory demonstrate TFE’s superior performance and highlight the importance of frequency saliency in transfer learning. Thus, collaboration is shown to outperform integration for few-shot transfer learning in anomaly detection.
Embodied-Intelligence Power Industrial Control Systems: Architecture Design, Key Scientific Problems, and Research Recommendations
Tingjun Zhang, Dong Yue
, Available online  , doi: 10.1109/JAS.2026.125846
Abstract:
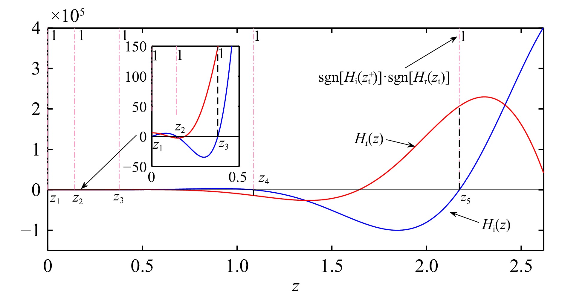
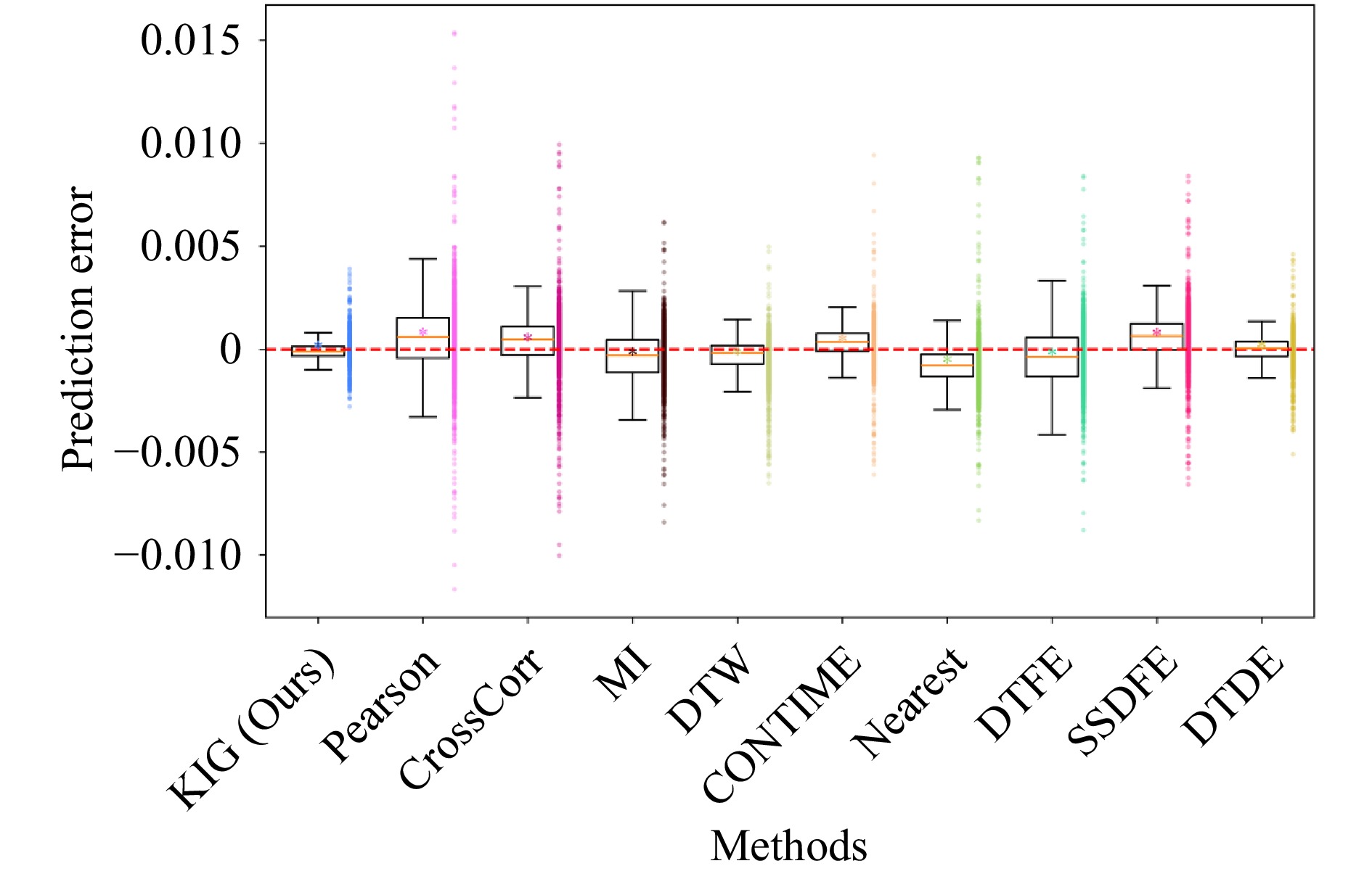
KIG: A Knowledge Graph-Guided Iterative-Updating Graph Neural Network for Multisensor Time Series Time-Delay Estimation
Siyuan Xu, Dong Pan, Zhaohui Jiang, Zhiwen Chen, Haoyang Yu, Weihua Gui
, Available online  , doi: 10.1109/JAS.2025.125897
Abstract:
Temporal alignment of multisensor time series (MTS) is a critical prerequisite for accurate modeling and optimal control in subsequent data-driven applications. Nevertheless, many approaches frequently neglect to consider the complex interdependencies between different sensors in MTS, and temporal alignment in many methods is typically treated as an isolated task disconnected from the downstream objectives, leading to unsatisfactory performances in follow-up applications. To address these challenges, this paper proposes a novel knowledge graph (KG)-guided iterative-updating graph neural network (GNN) for time-delay estimation (TDE) in MTS. Initially, a domain-specific KG is constructed from domain mechanism knowledge, providing a foundation for GNN’s initialization. Next, capitalizing on the inherent structure of the graph topology, a GNN-based TDE method is developed. Then, a customized loss function is constructed, which synthesizes both the performances of downstream tasks and graph-based constraints. Moreover, an innovative algorithm for GNN structure learning and iterative-updating is proposed to renovate the graph structure further. Finally, experimental results across various regression and classification tasks on numerical simulation, public datasets, and the real blast furnace ironmaking dataset demonstrate that the proposed method can achieve accurate temporal alignment of MTS.
Dynamic Event-Triggered Mechanisms With Positive Minimum Inter-Event Times for Linear Multiagent Consensus on Directed Graphs
Sikang Zhan, Xianwei Li, Yuanyuan Zou, Shaoyuan Li
, Available online  , doi: 10.1109/JAS.2025.125822
Abstract:
This article studies the consensus problem with directed graphs for general linear multi-agent systems. New distributed state-feedback protocols with dynamic event-triggered (DET) mechanisms are proposed for directed graphs that are strongly connected and weight-balanced, general strongly connected, and have spanning trees, respectively. It is proven that strictly positive minimum inter-event times (MIETs) are ensured using the designed DET mechanisms. Several numerical examples are presented to illustrate the effectiveness of the theoretical results. Compared with existing results, our results have the following merits: 1) DET mechanisms are designed to determine the sampling instants, which can reduce the communication frequency between agents compared with static mechanisms; 2) We focus on the consensus problem on directed graphs, which is more general than existing related results on undirected graphs; 3) The existence of positive MIETs is shown to be guaranteed by the designed DET sampling strategies while existing related results can only exclude Zeno behavior.
On Analytical Modeling for Fast Multi-Objective Torque Allocation in Over-Actuated IWM Vehicles
Fadel Tarhini, Reine Talj, Moustapha Doumiati
, Available online  , doi: 10.1109/JAS.2025.125261
Abstract:
Efficient torque allocation in over-actuated vehicles poses a central challenge in the domain of advanced vehicle control. These vehicles, featuring redundant actuators, provide an exceptional avenue for enhancing performance, stability, and efficiency. This paper presents a pioneering tendency for torque allocation in the context of over-actuated vehicles, particularly in-wheel motor (IWM) driven electric vehicles. We introduce a systematic methodology grounded in analytical modeling, allowing for the efficient reconciliation of multiple, often conflicting objectives. The explicit functions are analytically modeled to enhance stability and energy economy. Additionally, a fuzzy logic-based torque allocation strategy is developed and compared, along with other literature methods, with the analytical models. Simulations are conducted in a joint simulation between Simulink/MATLAB and SCANeR Studio vehicle dynamics simulator, followed by validation on a real-world dataset. Our findings elucidate the proficiency of the analytical models on vehicle performance, stability, computational efficiency, and energy consumption.
A Systematic Review of Respiratory Monitoring and Assistance Techniques From a Pulmonary Rehabilitation Robot Perspective
Enming Shi, Bi Zhang, Xiaowei Tan, Yangfan Zhou, Benyan Huo, Liping Huang, Long Cheng, Honghai Liu, Lianqing Liu, Xingang Zhao
, Available online  , doi: 10.1109/JAS.2026.125723
Abstract:
Pulmonary rehabilitation (PR) aims to improve lung function in patients with chronic respiratory disease (CRD). In recent years, significant advancements have been made in pulmonary rehabilitation technologies, demonstrating their potential for enhancing lung function in patients with respiratory diseases. The purpose of this study is to outline recent developments in the field of pulmonary rehabilitation guided by pulmonary rehabilitation robots, which has not been previously addressed in earlier reviews. To fill this gap, this paper first provides a systematic summary of the monitoring and actuation technologies of pulmonary rehabilitation robot systems and evaluates these technologies from multiple dimensions, including portability, wearability potential, invasiveness, and clinical applications, analyzing the potential for integrating various technologies into pulmonary rehabilitation robot systems. Furthermore, three technical directions are proposed: real-time precise monitoring, suitable structure and actuation strategies, and the intelligence of pulmonary rehabilitation robot systems. On the basis of these directions, this paper presents a comprehensive technical outlook for a soft wearable pulmonary rehabilitation robot system, providing reference and guidance for future research. To our knowledge, this is the first review of pulmonary rehabilitation robot systems and their key technologies. Additionally, the review section on respiratory assistive technologies simultaneously covers key technologies such as mechanical ventilation (MV), exoskeleton robots, and functional electrical stimulation (FES) for the first time. It also summarizes the respiratory assistive technology paradigm from the innovative perspectives of respiratory assistive modalities, targeted body sites, and types of ventilation for the first time. This study offers a broader perspective and a deeper understanding of pulmonary re-habilitation robots, with a technical outlook encompassing multimodal data fusion perception, respiratory event detection and intention recognition, full-phase assistance strategies, modeling, decoupling, and quantification of multiple-input multiple-output (MIMO) systems, as well as model-based interactive control strategies.
Control-Communication Co-Optimization for Wireless Cloud Robotic System via Multi-Agent Transfer Reinforcement Learning
Chi Xu, Junyuan Zhang, Haibin Yu
, Available online  , doi: 10.1109/JAS.2025.125894
Abstract:
The wireless cloud robotic system (WCRS), which fully integrates sensing, communication, computing, and control capabilities as an intelligent agent, is a promising way to achieve intelligent manufacturing due to easy deployment and flexible expansion. However, the high-precision control of WCRS requires deterministic wireless communication, which is always challenging in the complex and dynamic radio space. This paper employs the reconfigurable intelligent surface (RIS) to establish a novel RIS-assisted WCRS architecture, where the radio channel is controlled to achieve ultra-reliable, low-delay, and low-jitter communication for high-precision closed-loop motion control. However, control and communication are strongly coupled and should be co-optimized. Fully considering the constraints of control input threshold, control delay deadline, beam phase, antenna power, and information distortion, we establish a stability maximization problem to jointly optimize control input compensation, RIS phase shift, and beamforming. Herein, a new jitter-oriented system stability objective with respect to control error and communication jitter is defined and the closed-form expression of control delay deadline is derived based on the Jensen Inequality and Lyapunov-Krasovskii functional. Due to the time-varying and partial observability of the channel and robot states, we model the problem as a partially observable Markov decision process (POMDP). To solve this complex problem, we propose a multi-agent transfer reinforcement learning algorithm named LSTM-PPO-MATRL, where the LSTM-enhanced proximal policy optimization (PPO) is designed to approximate an optimal solution and the option-guided policy transfer learning is proposed to facilitate the learning process. By centralized training and decentralized execution, LSTM-PPO-MATRL is validated by extensive experiments on MuJoCo tasks for both low-mobility and high-mobility robotic control scenarios. The results demonstrate that LSTM-PPO-MATRL not only realizes high learning efficiency, but also supports low-delay, low-jitter communication for low error control, where 71.9% control accuracy improvement and 68.7% delay jitter reduction are achieved compared to the PPO-MADRL baseline.
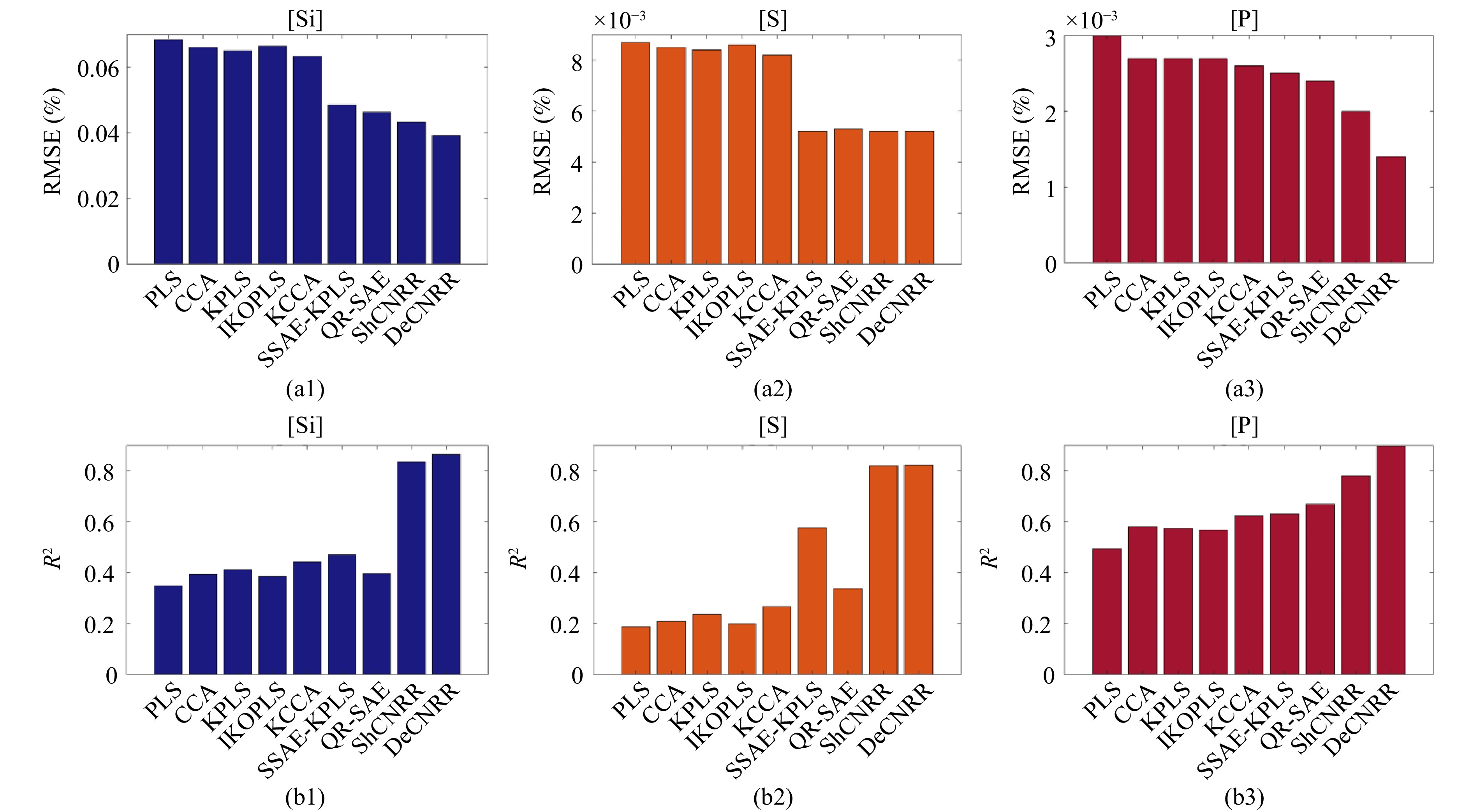
From Shallow to Deep: A Novel Correlation Network Representation Regression Framework for Modeling and Monitoring MIQ-Driven Blast Furnace Ironmaking Processes
Siwei Lou, Chunjie Yang, Zhe Liu, Hanwen Zhang, Chao Liu, Ping Wu
, Available online  , doi: 10.1109/JAS.2025.125765
Abstract:
Ironmaking process (IP) is indispensable to modern iron and steel industry, where real-time monitoring is crucial for achieving high molten iron quality (MIQ) with low energy consumption. While neural network-based models show some promising results, they are generally limited by non-negligible drawbacks such as interpretability issues of feature learning. To address these issues, we propose a novel concept based on the shallow-to-deep correlation network representation regression (Sh-to-De CNRR). Our approach, shallow correlation network representation regression (ShCNRR), combines neural network and canonical correlation analysis thoughts to generate explainable features via shallow correlation network representation (CNR). A twin inverse network is then derived to obtain the explicit model output, leveraging the shallow CNR. To capture deeper nonlinear information, we extend ShCNRR into a hierarchical deep correlation network representation regression (DeCNRR) model that features stacked neural networks, enabling us to learn deeper CNR from process data. The feasibility and advantages of our proposals are validated by theoretical derivations and practical IP cases, which contain one MIQ regression and three MIQ-related fault detection tasks. The results reveal that highly fused statistical and neural network models yield superior monitoring performance compared to current state-of-the-art models, while statistical tests verify the convincing feature mining.1
Adaptive Dynamic Trade-off Optimization between Manipulability and Sparsity for Redundant Manipulators
Zhaoyang Song, Wei Chen, Huichao Cao
, Available online  , doi: 10.1109/JAS.2026.125759
Abstract:
Advanced High-Order Graph Convolutional Networks With Assorted Time-Frequency Transforms
Ling Wang, Ye Yuan, Xin Luo
, Available online  , doi: 10.1109/JAS.2025.125429
Abstract:
A dynamic graph (DG) is adopted to portray the evolving interplay between nodes in real-world scenarios prevalently. A high-order graph convolutional network (HGCN) is equipped with the ability to represent a DG by the spatial-temporal message passing mechanism built on tensor product. Concretely, an HGCN utilizes the discrete Fourier transform (DFT) to implement temporal message passing and then employs face-wise product to realize spatial message passing. However, DFT is only a special case of assorted time-frequency transforms, which considers the complex temporal patterns partially, thereby resulting in an inaccurate temporal message passing possibly. To address this issue, this study proposes six advanced time-frequency transform-incorporated HGCNs (TF-HGCNs) with discrete Fourier, discrete Hartley, discrete cosine, Haar wavelet, Walsh Hadamard, and slant transforms. In addition, a potent ensemble is built regarding the proposed six TF-HGCNs as the bases. Finally, the corresponding theoretical proof is presented. Empirical studies on six DG datasets demonstrate that owing to diverse time-frequency transforms, the proposed six TF-HGCNs significantly outperform state-of-the-art models in addressing the task of link weight estimation. Moreover, their ensemble outstrips each base’s performance.
Universal Intermittent State-Constrained Control Without Feasibility Condition for Nonlinear Systems
Xiaohui Yue, Huaguang Zhang, Jiayue Sun, Xiyue Guo
, Available online  , doi: 10.1109/JAS.2025.125357
Abstract:
State constraints in nonlinear systems are commonly pursued by resorting to barrier functions, which enforce constraints over the entire duration of system operation. We propose a universal intermittent state-constrained solution, which not only offers flexibility by activating constraints just during specific time periods of interest to the user, but also successfully accommodates different types of constraint boundaries. The innovative shifting functions are proposed to facilitate seamless transitions between constrained and unconstrained operational phases, resulting in more user-friendly design and implementation. By blending an improved shifting transformation into intermittent constraint design, we construct a universal barrier function upon the constrained states, with which our control strategy removes the limitations on constraint functions and completely obviates the feasibility conditions. Furthermore, a modified fuzzy approximator driven by the prediction error rather than the tracking error achieves decoupling of the control and estimation loops, which not only ensures the estimation performance, but also facilitates proof of stability. Finally, the effectiveness of the proposed scheme is assessed by numerical simulation.
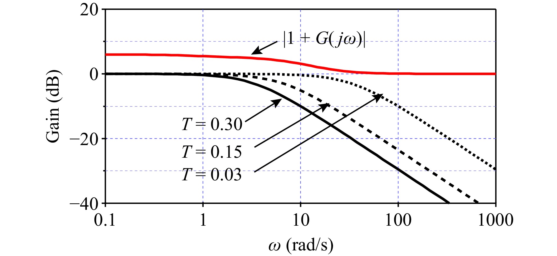
Repetitive Control: Basic Concept, Fundamental Theory, and Practical Applications
Jinhua She, Shinji Hara, Qing-Long Han, Lan Zhou, Min Wu
, Available online  , doi: 10.1109/JAS.2025.125297
Abstract:
As a closed-loop learning control method, repetitive control has been widely used in a variety of areas from appliances to aviation. A repetitive control system features perfect reference tracking and disturbance rejection in the steady state for periodic signals with a fixed period. This characteristic is important not only for conventional technologies and conventional industries but also for advanced technologies and emerging industries. This paper first explains the concept of repetitive control from its original idea. Next, it describes the structure of a repetitive controller as an internal model and shows the respective points of continuous- and discrete-time repetitive control. It presents a categorized list of practical applications of repetitive control. Moreover, two concrete applications, namely the control of a robotic manipulator and a rotating system, demonstrate the validity of the method with experimental results. Several current studies in this field are also reviewed, and some challenges and future studies for repetitive control are provided.
Distribution Network Partitioning for Voltage Regulation Using Heterogeneous Graph Neural Networks Considering Cyber-Attacks Risk
Lei Xu, Bo Zhang, Chunxia Dou, Dong Yue
, Available online  , doi: 10.1109/JAS.2026.125795
Abstract:
Data-Driven Distributed Model Predictive Control for Large-Scale Systems with Actuator Faults
Yan Li, Hao Zhang, Huaicheng Yan, Yongxiao Tian, Yanfei Zhu
, Available online  , doi: 10.1109/JAS.2025.125858
Abstract:
Pattern Optimization of Fractional Diffusive Schnakenberg System by PD Control Strategy
Shunke Dong, Min Xiao, Zhengxin Wang, Wenwu Yu, Weixing Zheng, Leszek Rutkowski
, Available online  , doi: 10.1109/JAS.2025.125303
Abstract:
Reaction-diffusion systems are widely used to describe pattern formation, and various control strategies have been applied to reaction-diffusion systems to achieve control objectives such as boundary control, output feedback stabilization, and synchronization. However, controlling pattern dynamics in reaction-diffusion systems with fractional-order diffusion remains an unresolved problem. This paper presents a proportional-derivative (PD) control strategy for the Schnakenberg system with fractional-order diffusion and cross-diffusion. Theoretical analysis explores the amplitude equation near the Turing bifurcation threshold, determining the selection and stability of pattern formations. Numerical simulations demonstrate that the PD controller accomplishes the modification of pattern structures and suppression of Turing instability by adjusting only two control parameters. Additionally, it is found that for smaller fractional diffusion order, the region can accommodate more hexagonal and stripe patterns in space. This work contributes to the control of complex pattern dynamics and offers a new approach to enhancing stability in fractional reaction-diffusion systems.
Majorization-Minimization-Based Neural Dynamics for Time-Variant Optimization Under Multi-Set Constraints
Ying Liufu, Yongji Guan
, Available online  , doi: 10.1109/JAS.2026.125768
Abstract:
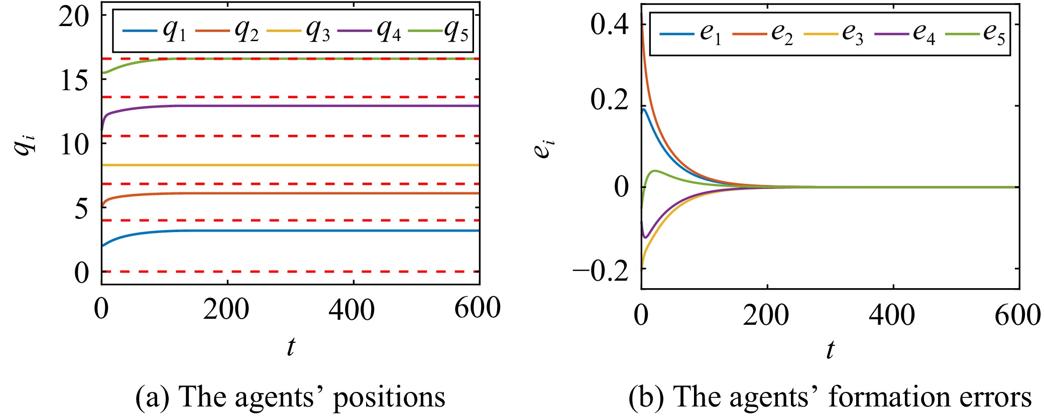
Distributed Optimal Consensus Control of Multi-Agent Systems Under Indifferent and Self-Sacrificing Alienation
Yue Zhang, Yan-Wu Wang, Xiao-Kang Liu
, Available online  , doi: 10.1109/JAS.2025.125861
Abstract:
Knowledge-Assistant Deep Reinforcement Learning for Multi-Agent Region Protection
Siqing Sun, Tianbo Li
, Available online  , doi: 10.1109/JAS.2025.125912
Abstract:
A Novel Finite-Time Stability Criterion for Nonlinear Systems Involving Flexible Delayed Impulses
Shuchen Wu, Xiaodi Li, Shiji Song
, Available online  
Abstract:
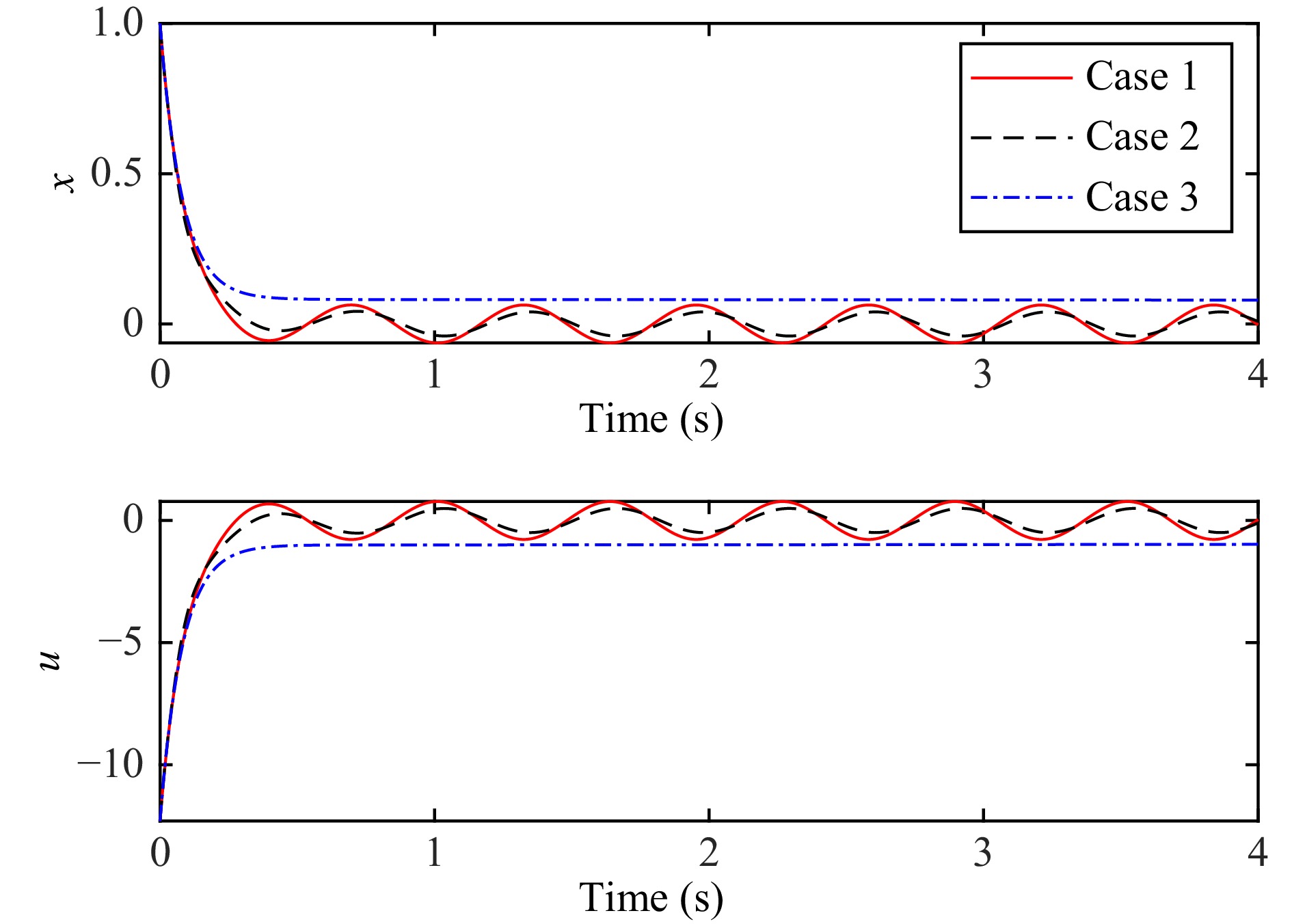
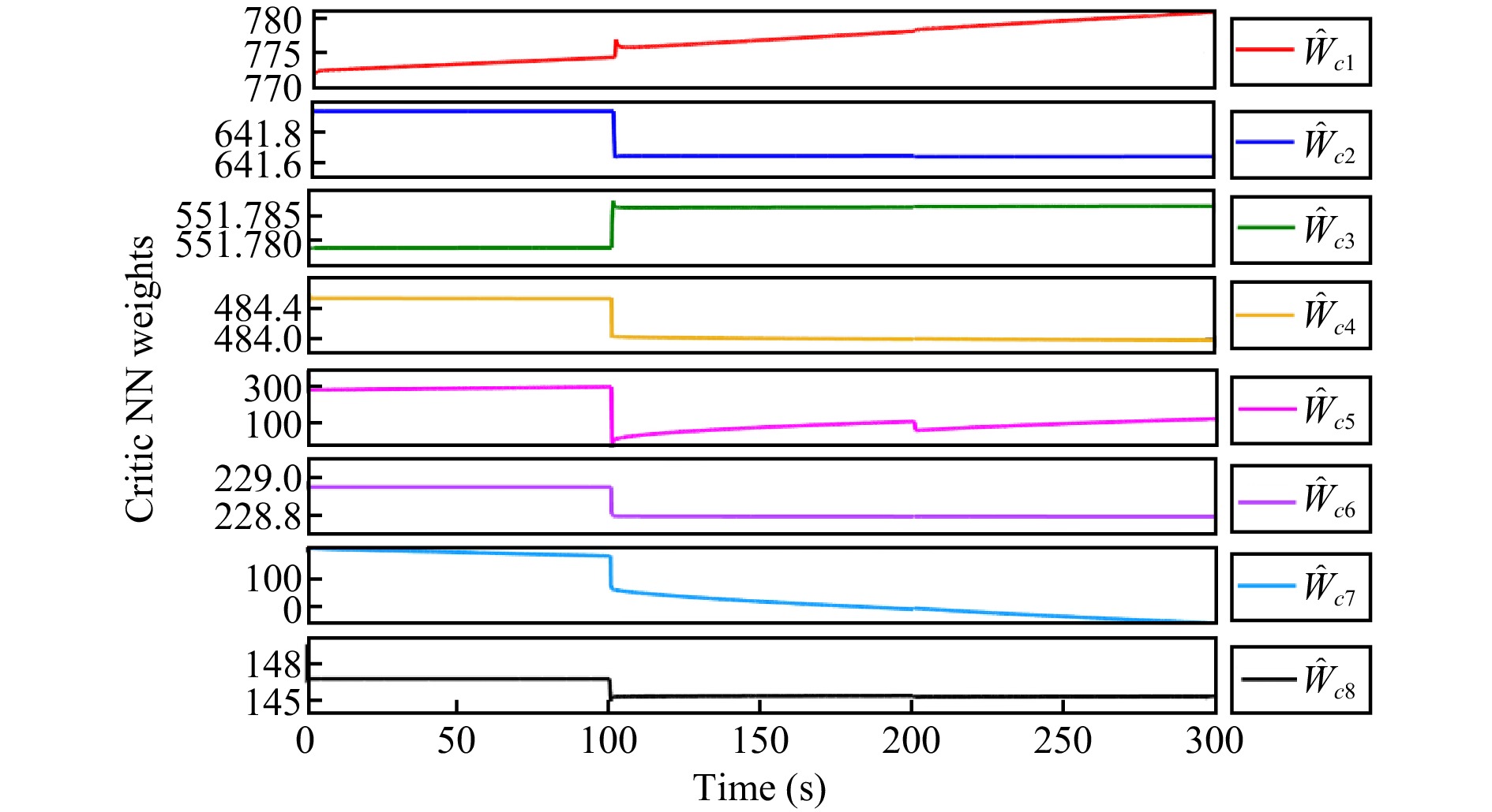
Two-dimensional Model-free Off-policy Optimal Iterative Learning Control for Time-varying Batch Systems
Jianan Liu, Zike Zhou, Jinglin Huang, Wenjing Hong, Jia Shi
, Available online  , doi: 10.1109/JAS.2025.125399
Abstract:
Although iterative learning control has been widely used in batch processes, designing an optimal iterative learning control scheme for batch systems with unknown dynamics and time-varying parameters remains an open problem. In this paper, we propose a novel two-dimensional model-free off-policy optimal iterative learning control to achieve optimal control performance for linear time-varying batch systems. First, the one-dimensional state space is expanded to the two-dimensional state space by integrating time and batch information. Then, based on dynamic programming and a recursive algorithm, the framework of two-dimensional model-based optimal iterative learning control is established. Based on this framework, two-dimensional model-free optimal iterative learning control is further developed using model-free Q-learning reinforcement learning. The optimal iterative learning control policy is obtained through online off-policy iteration using historical and online operation data. Meanwhile, a rigorous convergence proof of the model-free optimal iterative learning control law is presented. Finally, the simulation results in the injection molding batch process demonstrate the proposed control scheme’s effectiveness, feasibility, and significant improvement in control performance.
A New Parameter Estimation Methodology Using Steady State Yaw Rate Measurements for Lateral Vehicle Dynamics
Zhihong Man, Mingcong Deng, Zenghui Wang, Qing-long Han
, Available online  , doi: 10.1109/JAS.2025.125366
Abstract:
In this paper, the lateral dynamics of road vehicles (LDRV) is further studied from the viewpoint of vehicle informatics. It is seen that LDRV is first decoupled and the vehicle slip angle is proved to be observable from the yaw rate measurements. A new methodology of parameter estimation using steady-state yaw rate measurements (PESYRM) is then developed to accurately estimate the parameters of LDRV. The important characteristics of PESYRM comprise four parts: ( i ) The steering angle input to LDRV is chosen as the linear combination of sinusoids; ( ii ) Only the steady state information of yaw rate in any fundamental period is required to accurately estimate the unknown parameters of LDRV; ( iii ) Unlike many existing parameter estimation methods, the time consuming computing of the inverse of high-dimensional data matrix is avoided by making full use of the orthogonal properties of trigonometric base functions; ( iv ) All of system information of LDRV is embedded in the measurements of the steady state yaw rate in any fundamental period. A simulation example is carried out to show the advantages and effectiveness of the new research findings for LDRV.
MFAINet: Multi-Receptive Field Feature Fusion With Attention-Integrated for Polyp Segmentation
Guangzu Lv, Bin Wang, Cunlu Xu, Weiping Ding, Jun Liu
, Available online  , doi: 10.1109/JAS.2025.125408
Abstract:
Colorectal cancer has become a global public health concern. Removing polyps before they become malignant can effectively prevent the onset of colorectal cancer. Currently, multi-receptive field feature extraction and attention mechanisms have achieved significant success in polyp segmentation. However, how to effectively fuse these mechanisms and fully leverage their respective strengths remains an open problem. In this paper, we propose a polyp segmentation network, MFAINet. We design an attention-integrated multi-receptive field feature extraction module (AMFE), which uses layering and multiple weightings to fuse the multi-receptive field feature extraction and attention mechanisms, maximizing the extraction of both global and detailed information from the image. To ensure that the input to AMFE contains richer target feature information, we introduce a multi-layer progressive fusion module (MPF). MPF progressively merges features at each layer, fully integrating contextual information. Finally, we employ the selective fusion module (SFM) to combine the high-level features produced by AMFE, resulting in an accurate polyp segmentation map. To evaluate the learning and generalization capabilities of MFAINet, we conduct experiments on five widely-used public polyp datasets using four evaluation metrics. Notably, our model achieves the best results in nearly all cases. The source code is available at: https://github.com/MFAINet.
An Interpretable Temporal Convolutional Framework for Granger Causality Analysis
Aoxiang Dong, Andrew Starr, Yifan Zhao
, Available online  , doi: 10.1109/JAS.2025.125396
Abstract:
Most existing parametric approaches for detecting linear or nonlinear Granger causality (GC) face challenges in estimating appropriate time delays, a critical factor for accurate GC detection. This issue becomes particularly pronounced in nonlinear complex systems, which are often opaque and consist of numerous components or variables. In this paper, we propose a novel temporal convolutional network (TCN)-based end-to-end GC detection approach called the Interpretable Temporal Convolutional Framework (ITCF). Unlike conventional deep learning models, which act like a “black box” and are difficult to analyse the interactions between variables, the proposed ITCF is able to detect both linear and nonlinear GC and automatically estimate time delay during the multivariant time series prediction. Specifically, GC is obtained by employing the Least Absolute Shrinkage and Selection Operator (Lasso) regression during the prediction of multivariate time series using TCN. Then, time delays can be estimated by interpreting the TCN kernels. We propose a convolutional Hierarchical Group Lasso (cHGL), a hierarchical regularisation approach to effectively utilise temporal information within each TCN channel for enhanced GC detection. Additionally, as far as we are concerned, this paper is the first to integrate the Iterative Soft-Thresholding Algorithm into the backpropagation of TCN to optimise the proposed cHGL, which enabling causal channel selection and inducing sparsity within each TCN channel to remove redundant temporal information, ultimately creating an end-to-end GC detection framework. The testing results of four experiments, involving two simulations and two real data, demonstrate that the proposed ITCF, in comparison with state-of-the-art, offers a more reliable estimation of GC relationships in complex systems featuring intricate dynamics, limited data lengths, or numerous variables.
Distributed Gain Scheduling Dynamic Event-Triggered Semi-Global Leader-Following Consensus of Input Constrained MASs Under Fixed/Switching Topologies
Meilin Li, Tieshan Li, Hongjing Liang
, Available online  , doi: 10.1109/JAS.2025.125417
Abstract:
In this paper, the semi-global leader-following consensus issue of multi-agent systems with constrained input under fixed and switching topologies is investigated via a distributed gain scheduling dynamic event-triggered method. First, a novel distributed gain scheduling consensus protocol is proposed under fixed topology, which integrates time-varying gain and distributed parameter schedulers. This approach enhances the transient performance of consensus tracking by enlarging the gain parameter through the scheduler, while the reliance of the scheduler on global state information is eliminated via a distributed design method. Subsequently, a distributed dynamic event-triggered mechanism is introduced to reduce the controller updates, while the expression of the inter-event times mitigates its explicit reliance on the system matrix. Additionally, to eliminate the need for real-time monitoring of neighboring agents’ states and continuous communication, a distributed dynamic self-triggered mechanism is developed. Next, our approaches are extended to solve the semi-global leader-following consensus problem under switching topologies. The average dwell time technique is employed to alleviate the limitations on the switching rate among multiple topologies. Finally, the theoretical analysis is validated through simulation results.
Nonlinear Frictions Identification in Time-Variant Automotive Systems
Davide Tebaldi, Roberto Zanasi
, Available online  , doi: 10.1109/JAS.2025.125294
Abstract:
In this paper, the problem of nonlinear frictions identification in a class of nonlinear systems embedding different automotive case studies is addressed. The power-oriented modeling of the system dynamics is first addressed. Next, the identification of the nonlinear friction coefficients representing the system losses, which can have different symmetric or asymmetric characteristics, is addressed using a parabolic interpolation. To show the versatility of the procedure, two automotive physical systems composing the vehicle powertrain are considered as case studies for the identification, namely a Full Toroidal Variator and a Gearbox. The novelty of this work consists of the proposal of a general approach to model nonlinear frictions in a wide class of automotive systems, and in their identification using the proposed least-square-based algorithm. With reference to the latter, we also provide a necessary condition to avoid the rank deficiency problem and considerations about how to increase the identification accuracy.
Finite-Time Sliding-Mode Control for Semi-Markov Systems With Delayed Impulses
Fangmin Ren, Xiaoping Wang, Yangmin Li, Zhigang Zeng
, Available online  , doi: 10.1109/JAS.2024.125004
Abstract:
Multi-Agent Swarm Optimization With Contribution-Based Cooperation for Distributed Multi-Target Localization and Data Association
Tai-You Chen, Xiao-Min Hu, Qiuzhen Lin, Wei-Neng Chen
, Available online  , doi: 10.1109/JAS.2025.125150
Abstract:
With the development of communication and computation capabilities on terminal hardware, it is promising to apply distributed optimization methods to wireless sensor networks to improve the autonomous collaboration ability of sensors. In this work, we study distributed optimization for multi-target localization with measurement-to-measurement association (DM2M), where each sensor only accesses its own measurement data without the association of measurements from other sensors. We first reformulate DM2M into a distributed bilevel optimization problem to reduce the search space of negotiated variables caused by the data association among sensors. Then, we propose a multi-agent swarm optimization method with contribution-based cooperation (MASTER). In MASTER, each sensor maintains a particle swarm to represent candidate solutions of target positions. Sensors evolve their particle swarms through two phases of local optimization and neighbor cooperation to locate the target cooperatively. To address the bilevel local objective function, we combine the Kuhn-Munkres algorithm and the competitive swarm optimization for local optimization. To promote sensors to optimize the global objective, we design a contribution-based cooperation method to guide sensors to learn from their neighbors. Through localization experiments for different target numbers and localization dimensions, the proposed algorithm achieves smaller localization errors and more stable consensus than existing algorithms.
A Survey on Rough Feature Selection: Recent Advances and Challenges
Keyu Liu, Xibei Yang, Weiping Ding, Hengrong Ju, Tianrui Li, Jie Wang, Tengyu Yin
, Available online  , doi: 10.1109/JAS.2025.125231
Abstract:
Advances in data acquisition and accumulation on a massive scale are fueling “the curse of dimensionality” which may deteriorate the generalization performance of machine learning models. Such a dilemma gives birth to the technique of feature selection excelling in the presence of high-dimensional data. As a specific method based on rough set theory, Rough Feature Selection (RFS) has been widely concerned and fruitfully applied. In this survey, we provide a comprehensive review of RFS algorithms that have proliferated in recent years. Firstly, we briefly introduce some typical rough set models especially neighborhood rough set and fuzzy rough set, as well as representative rough feature evaluation criteria. We then systematically discuss several emerging topics of RFS including accelerated, ensemble, incremental, label ambiguous, weakly-supervised, and multi-granularity RFS. Additionally, we illuminate the regular performance validation scheme of RFS and conduct a number of experiments to present benchmarking results of state-of-the-art RFS algorithms. Finally, we summarize the pros and cons of existing research efforts and outline the open challenges and opportunities of class imbalance, multi-modal scenario, causality inference, and high-level representation for RFS. By providing in-depth knowledge of RFS, we anticipate this survey will: 1) serve as a guidebook for newcomers intending to delve into RFS and a stepping-stone for researchers and practitioners to solve domain-specific problems; 2) gain insights into the state-of-the-art published findings, triggering a series of breakthroughs in RFS; 3) underscore some challenges ahead of RFS, directing future efforts toward punctuating advances beyond questions currently pursued.
KT-RC: Kernel Time-Delayed Reservoir Computing for Time Series Prediction
Heshan Wang, Mengmeng Chen, Kunjie Yu, Jing Liang, Zhaomin Lv, Zhong Zhang
, Available online  , doi: 10.1109/JAS.2024.124986
Abstract:
Reservoir computing (RC) is an efficient recurrent neural network (RNN) method. However, the performance and prediction results of traditional RCs are susceptible to several factors, such as their network structure, parameter setting, and selection of input features. In this study, we employ a kernel time-delayed RC (KT-RC) method for time series prediction. The KT-RC transforms input vectors linearly to obtain a high-dimensional set of time-delayed linear eigenvectors, which are then transformed by various kernel functions to represent the nonlinear characteristics of the input signal. Finally, the Bayesian optimization algorithm adjusts the few remaining weights and kernel parameters to minimize the manual adjustment process. The advantages of KT-RC can be summarized as follows: 1) KT-RC solves the problems of uncertainty in weight matrices and difficulty in large-scale parameter selection in the input and hidden layers of RCs. 2) The KT module can avoid massive reservoir hyperparameters and effectively reduce the hidden layer size of the traditional RC. 3) The proposed KT-RC shows good performance, strong stability, and robustness in several synthetic and real-world datasets for one-step-ahead and multistep-ahead time series prediction. The simulation results confirm that KT-RC not only outperforms some gate-structured RNNs, kernel vector regression models, and recently proposed prediction models but also requires fewer parameters to be initialized and can reduce the hidden layer size of the traditional RCs. The source code is available at https://github.com/whs7713578/RC.
Efficient Centralized Traffic Grid Signal Control Based on Meta-Reinforcement Learning
Jia Wu, Yican Lou
, Available online  , doi: 10.1109/JAS.2023.123270
Abstract:
Supplementary File of “Push-Sum Based Algorithm for Constrained Convex Optimization Problem and Its Potential Application in Smart Grid”
Qian Xu, Zao Fu, Bo Zou, Hongzhe Liu, Lei Wang
, Available online  
Abstract:
Supplementary Material for “Collision and Deadlock Avoidance in Multi-Robot Systems Based on Glued Nodes”
Zichao Xing, Xinyu Chen, Xingkai Wang, Weimin Wu, Ruifen Hu
, Available online  
Abstract: