A journal of IEEE and CAA , publishes high-quality papers in English on original theoretical/experimental research and development in all areas of automation
Volume 12 Issue 11
Nov.  2025

IEEE/CAA Journal of Automatica Sinica

  • JCR Impact Factor: 19.2, Top 1 (SCI Q1)
    CiteScore: 28.2, Top 1% (Q1)
    Google Scholar h5-index: 95, TOP 5
Turn off MathJax
Article Contents
Y. Li, X. Wang, J. Shi, J. Liu, and C. Sun, “Quaternion-based modeling and predefined-time tracking control of a fully actuated autonomous underwater vehicle,” IEEE/CAA J. Autom. Sinica, vol. 12, no. 11, pp. 2275–2285, Nov. 2025. doi: 10.1109/JAS.2025.125267
Citation: Y. Li, X. Wang, J. Shi, J. Liu, and C. Sun, “Quaternion-based modeling and predefined-time tracking control of a fully actuated autonomous underwater vehicle,” IEEE/CAA J. Autom. Sinica, vol. 12, no. 11, pp. 2275–2285, Nov. 2025. doi: 10.1109/JAS.2025.125267

Quaternion-Based Modeling and Predefined-Time Tracking Control of a Fully Actuated Autonomous Underwater Vehicle

doi: 10.1109/JAS.2025.125267
Funds:  This work was supported in part by the National Natural Science Foundation of China (62373107) and the “Zhishan” Scholars Programs of Southeast University (2242023R40011)
More Information
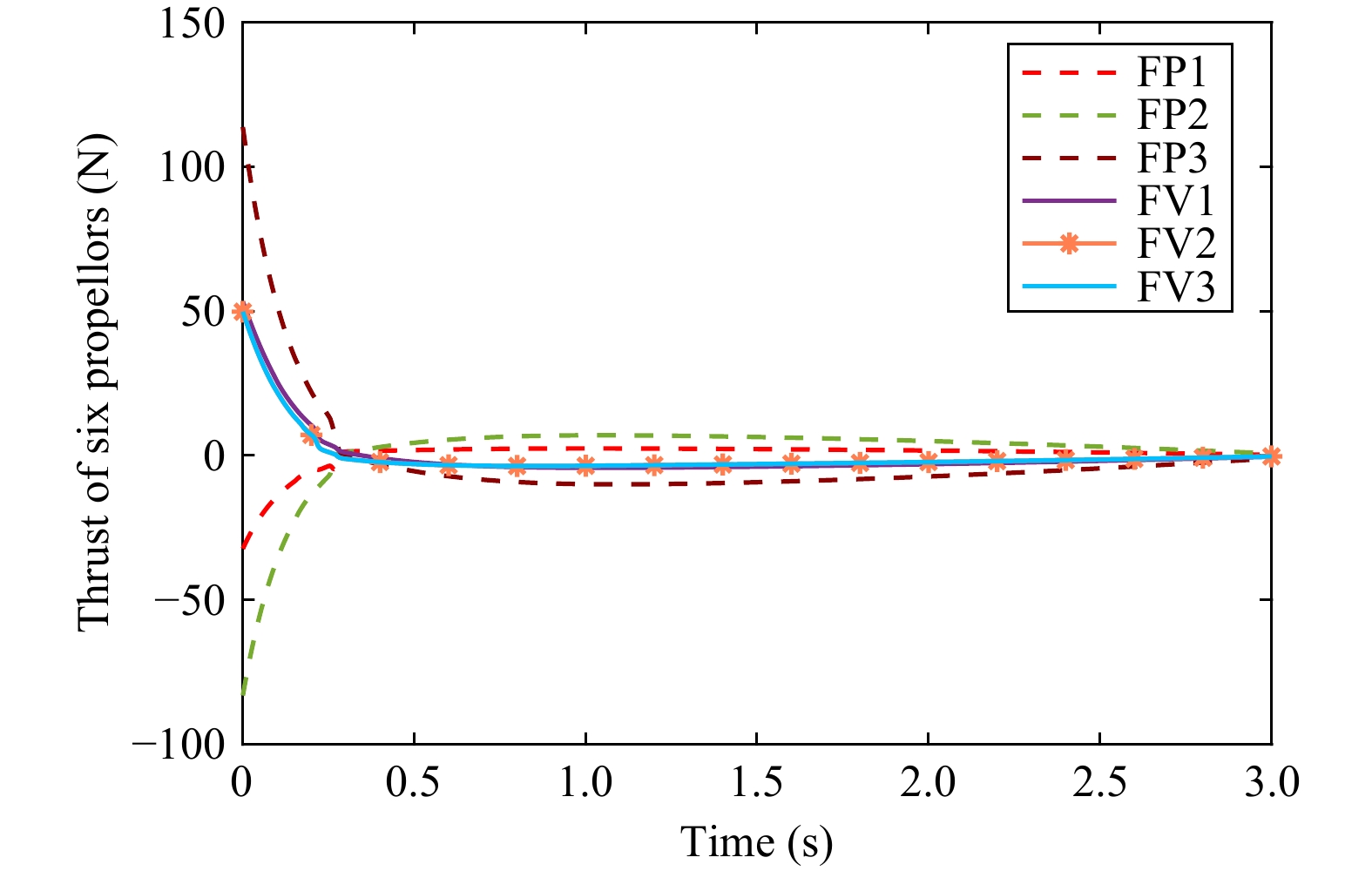
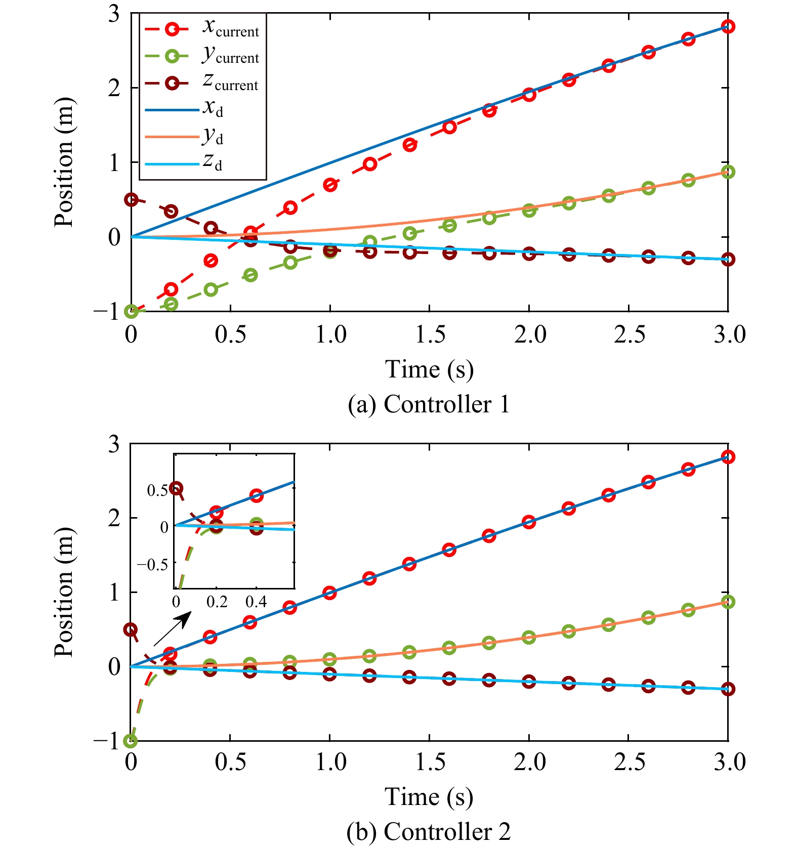
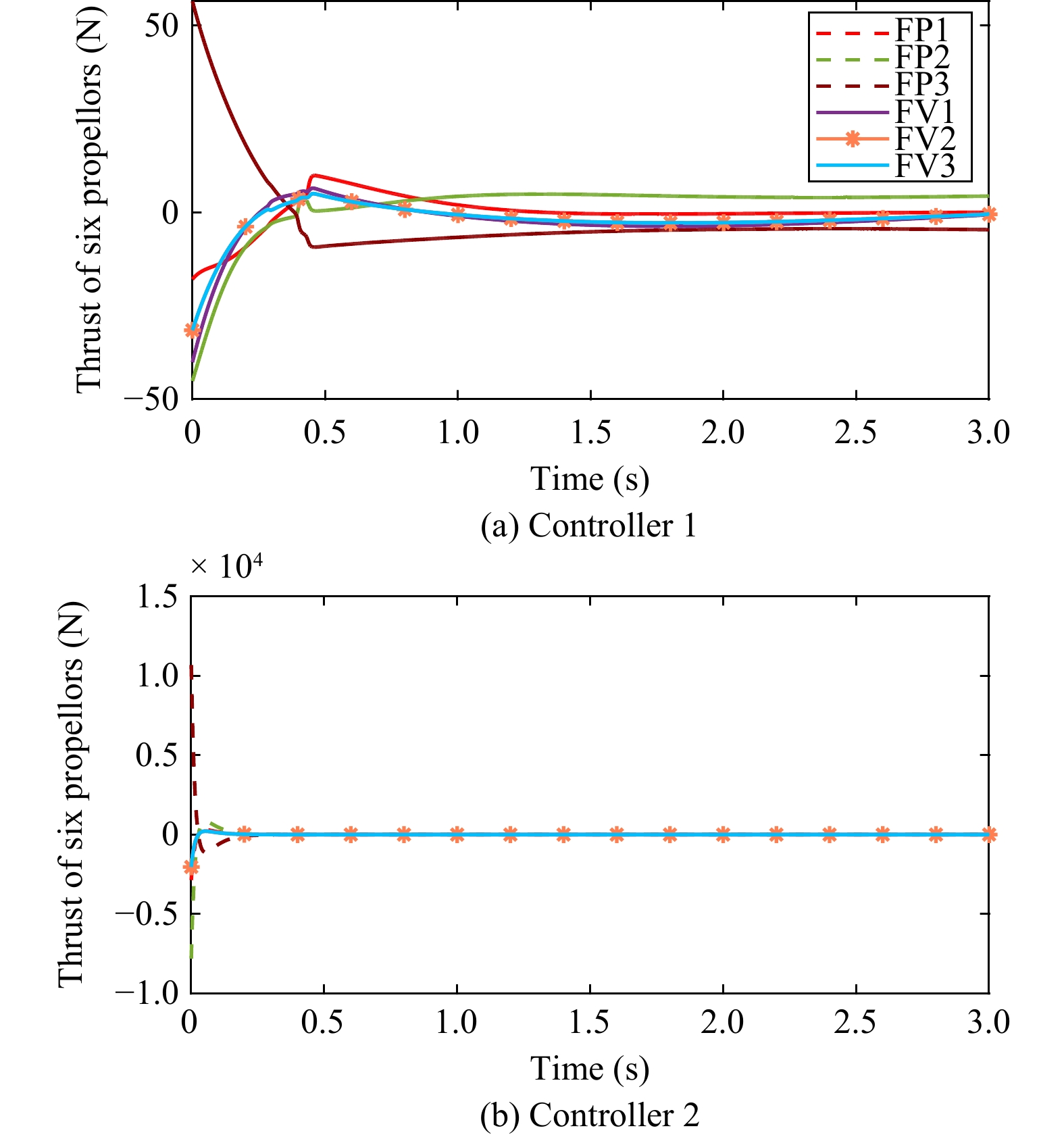
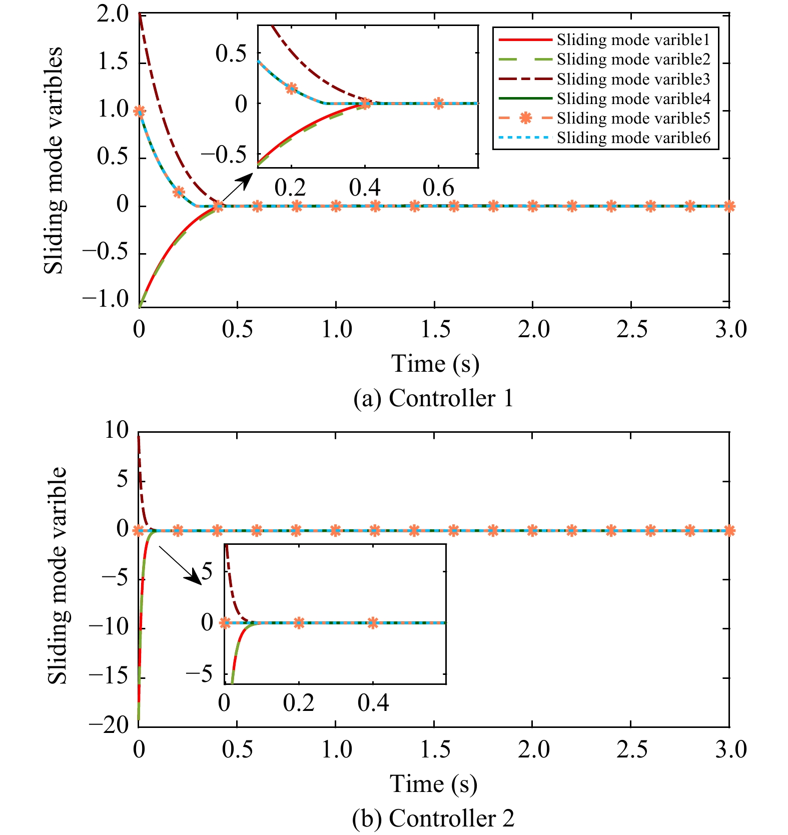
  • This paper investigates the modeling and the practical predefined-time (PdT) tracking control problems for a fully actuated disk-shaped autonomous underwater vehicle (AUV) with six degrees of freedom. To overcome the gimbal lock problem inherent in Euler angle representation, unit quaternions are adopted to model the AUV, accounting for internal uncertainties and external disturbances. Then, an improved time-varying function is introduced, which serves as the basis for designing a non-singular sliding surface and sliding mode controller with PdT stability. This approach ensures that the tracking errors converge within a predefined time, independent of initial conditions and design parameters. Compared with traditional PdT controllers, the proposed method eliminates singularities, enhances the precision of convergence time estimation, and typically yields smaller, smoother initial control inputs, thus improving its potential for engineering applications. Numerical simulations validate the effectiveness and performance of the proposed controller.

     

  • loading
  • [1]
    Y. R. Pétillot, G. Antonelli, G. Casalino, and F. Ferreira, “Underwater robots: From remotely operated vehicles to Intervention-Autonomous Underwater Vehicles,” IEEE Robotics and Autom. Magazine, vol. 26, no. 2, pp. 94–101, 2019.
    [2]
    C. Sun, C. Mu, W. Liu, and X. Wang, “Embodied cognitive intelligence framework of unmanned autonomous systems,” Science and Technology Review, vol. 42, no. 12, pp. 157–166, 2024.
    [3]
    J. Guo, Y. Lin, P. Lin, H. Li, H. Huang, and Y. Chen, “Study on hydrodynamic characteristics of the disk-shaped autonomous underwater helicopter over sea-beds,” Ocean Engineering, vol. 266, p. 113132, 2022. doi: 10.1016/j.oceaneng.2022.113132
    [4]
    S. Wang, L. Chen, D. Gu, and H. Hu, “Cooperative localization of AUVs using moving horizon estimation,” IEEE/CAA J. Autom. Sinica, vol. 1, no. 1, pp. 68–76, 2014. doi: 10.1109/JAS.2014.7004622
    [5]
    J. Guo, D. Li, and B. He, “Intelligent collaborative navigation and control for AUV tracking,” IEEE Trans. Industrial Informatics, vol. 17, no. 3, pp. 1732–1741, 2021. doi: 10.1109/TII.2020.2994586
    [6]
    L. Qiao and W. Zhang, “Trajectory tracking control of AUVs via adaptive fast nonsingular integral terminal sliding mode control,” IEEE Trans. Industrial Informatics, vol. 16, no. 2, pp. 1248–1258, 2020. doi: 10.1109/TII.2019.2949007
    [7]
    J. Zhang, X. Xiang, W. Li, and Q. Zhang, “Adaptive neural control of flight-style AUV for subsea cable tracking under electromagnetic localization guidance,” IEEE/ASME Trans. Mechatronics, vol. 28, no. 5, pp. 2976–2987, 2023. doi: 10.1109/TMECH.2023.3256707
    [8]
    J. Song and X. He, “Robust state estimation and fault detection for autonomous underwater vehicles considering hydrodynamic effects,” Control Engineering Practice, vol. 135, p. 105497, 2023. doi: 10.1016/j.conengprac.2023.105497
    [9]
    J. Guerrero, A. Chemori, J. Torres, and V. Creuze, “STA-based design of an adaptive disturbance observer for autonomous underwater vehicles: From concept to real-time validation,” Control Engineering Practice, vol. 144, p. 105831, 2024. doi: 10.1016/j.conengprac.2023.105831
    [10]
    Y. Yang, “Spacecraft attitude determination and control: Quaternion based method,” Annual Reviews in Control, vol. 36, no. 2, pp. 198–219, 2012. doi: 10.1016/j.arcontrol.2012.09.003
    [11]
    Z. Zhang, Y. Xu, L. Wan, G. Chen, and Y. Cao, “Rotation matrix-based finite-time trajectory tracking control of AUV with output constraints and input quantization,” Ocean Engineering, vol. 293, p. 116570, 2024. doi: 10.1016/j.oceaneng.2023.116570
    [12]
    C. Zhu, B. Huang, Y. Su, Y. Zheng, and S. Zheng, “Finite-time rotation-matrix-based tracking control for autonomous underwater vehicle with input saturation and actuator faults,” Int. J. Robust and Nonlinear Control, vol. 32, no. 5, pp. 2925–2949, 2022. doi: 10.1002/rnc.5915
    [13]
    O.-E. Fjellstad and T. Fossen, “Position and attitude tracking of AUV’s: A quaternion feedback approach,” IEEE J. Oceanic Engineering, vol. 19, no. 4, pp. 512–518, 1994. doi: 10.1109/48.338387
    [14]
    Y. Xu, J. Liu, and C. Sun, “Quaternion-based single-vector feedback control for fully-actuated dish-shaped AUV,” Chinese J. Intelligent Science and Technology, vol. 4, no. 4, p. 513, 2022.
    [15]
    I.-L. G. Borlaug, K. Y. Pettersen, and J. T. Gravdahl, “Comparison of two second-order sliding mode control algorithms for an articulated intervention AUV: Theory and experimental results,” Ocean Engineering, vol. 222, p. 108480, 2021. doi: 10.1016/j.oceaneng.2020.108480
    [16]
    I.-L. G. Borlaug, K. Y. Pettersen, and J. T. Gravdahl, “Tracking control of an articulated intervention autonomous underwater vehicle in 6DOF using generalized super-twisting: Theory and experiments,” IEEE Trans. Control Systems Technology, vol. 29, no. 1, pp. 353–369, 2021. doi: 10.1109/TCST.2020.2977302
    [17]
    M. H. Khodayari and S. Balochian, “Modeling and control of autonomous underwater vehicle (AUV) in heading and depth attitude via self-adaptive fuzzy PID controller,” J. Marine Science and Technology, vol. 20, no. 3, pp. 559–578, 2015. doi: 10.1007/s00773-015-0312-7
    [18]
    S. Mahapatra and B. Subudhi, “Design of a steering control law for an autonomous underwater vehicle using nonlinear H state feedback technique,” Nonlinear Dynamics, vol. 90, no. 2, pp. 837–854, 2017. doi: 10.1007/s11071-017-3697-5
    [19]
    B. Chen, J. Hu, Y. Zhao, and B. K. Ghosh, “Finite-time velocity-free rendezvous control of multiple AUV systems with intermittent communication,” IEEE Trans. Systems, Man, and Cybernetics: Systems, vol. 52, no. 10, pp. 6618–6629, 2022. doi: 10.1109/TSMC.2022.3148295
    [20]
    L. Qiao and W. Zhang, “Double-loop integral terminal sliding mode tracking control for UUVs with adaptive dynamic compensation of uncertainties and disturbances,” IEEE J. Oceanic Engineering, vol. 44, no. 1, pp. 29–53, 2019. doi: 10.1109/JOE.2017.2777638
    [21]
    F. Sedghi, M. M. Arefi, A. Abooee, and O. Kaynak, “Adaptive robust finite-time nonlinear control of a typical autonomous underwater vehicle with saturated inputs and uncertainties,” IEEE/ASME Trans. Mechatronics, vol. 26, no. 5, pp. 2517–2527, 2021. doi: 10.1109/TMECH.2020.3041613
    [22]
    B. Li, X. Gao, H. Huang, and H. Yang, “Improved adaptive twisting sliding mode control for trajectory tracking of an AUV subject to uncertainties,” Ocean Engineering, vol. 297, p. 116204, 2024. doi: 10.1016/j.oceaneng.2023.116204
    [23]
    J. Guerrero, A. Chemori, V. Creuze, J. Torres, and E. Campos, “Saturated STA-based sliding-mode tracking control of AUVs: Design, stability analysis, and experiments,” Ocean Engineering, vol. 301, p. 117560, 2024. doi: 10.1016/j.oceaneng.2024.117560
    [24]
    Y. Liu, H. Li, R. Lu, Z. Zuo, and X. Li, “An overview of finite/fixed-time control and its application in engineering systems,” IEEE/CAA J. Autom. Sinica, vol. 9, no. 12, pp. 2106–2120, 2022. doi: 10.1109/JAS.2022.105413
    [25]
    J. Liu, J. Liu, Y. Wu, C. Mu, and C. Sun, “Aperiodically intermittent event-based fixed-time consensus tracking and its applications,” IEEE Trans. Autom. Science and Engineering, vol. 21, no. 4, pp. 5790–5801, 2024. doi: 10.1109/TASE.2023.3318832
    [26]
    Z. Gao and G. Guo, “Fixed-time sliding mode formation control of AUVs based on a disturbance observer,” IEEE/CAA J. Autom. Sinica, vol. 7, no. 2, pp. 539–545, 2020. doi: 10.1109/JAS.2020.1003057
    [27]
    J. Zheng, L. Song, L. Liu, W. Yu, Y. Wang, and C. Chen, “Fixed-time sliding mode tracking control for autonomous underwater vehicles,” Applied Ocean Research, vol. 117, p. 102928, 2021. doi: 10.1016/j.apor.2021.102928
    [28]
    S. An, L. Wang, and Y. He, “Robust fixed-time tracking control for underactuated AUVs based on fixed-time disturbance observer,” Ocean Engineering, vol. 266, p. 112567, 2022. doi: 10.1016/j.oceaneng.2022.112567
    [29]
    G. Chen, Y. Liu, Z. Zhang, and Y. Xu, “Adaptive disturbance-observer-based continuous sliding mode control for small autonomous underwater vehicles in the trans-atlantic geotraverse hydrothermal field with trajectory modeling based on the path,” J. Marine Science and Technology, vol. 10, no. 6, p. 721, 2022.
    [30]
    H. Chen, G. Tang, S. Wang, W. Guo, and H. Huang, “Adaptive fixed-time backstepping control for three-dimensional trajectory tracking of underactuated autonomous underwater vehicles,” Ocean Engineering, vol. 275, p. 114109, 2023. doi: 10.1016/j.oceaneng.2023.114109
    [31]
    Y. Song, H. Ye, and F. L. Lewis, “Prescribed-time control and its latest developments,” IEEE Trans. Systems, Man, and Cybernetics: Systems, vol. 53, no. 7, pp. 4102–4116, 2023. doi: 10.1109/TSMC.2023.3240751
    [32]
    B. Ning, Q.-L. Han, and Z. Zuo, “Practical fixed-time consensus for integrator-type multi-agent systems: A time base generator approach,” Automatica, vol. 105, pp. 406–414, 2019. doi: 10.1016/j.automatica.2019.04.013
    [33]
    A. J. Muñoz-Vázquez, J. D. Sánchez-Torres, E. Jiménez-Rodríguez, and A. G. Loukianov, “Predefined-time robust stabilization of robotic manipulators,” IEEE/ASME Trans. Mechatronics, vol. 24, no. 3, pp. 1033–1040, 2019. doi: 10.1109/TMECH.2019.2906289
    [34]
    C. Wu, J. Yan, J. Shen, X. Wu, and B. Xiao, “Predefined-time attitude stabilization of receiver aircraft in aerial refueling,” IEEE Trans. Circuits and Systems II: Express Briefs, vol. 68, no. 10, pp. 3321–3325, 2021.
    [35]
    D. Ye, A.-M. Zou, and Z. Sun, “Predefined-time predefined-bounded attitude tracking control for rigid spacecraft,” IEEE Trans. Aerospace and Electronic Systems, vol. 58, no. 1, pp. 464–472, 2022. doi: 10.1109/TAES.2021.3103258
    [36]
    K. Li and Y. Li, “Adaptive predefined-time optimal tracking control for underactuated autonomous underwater vehicles,” IEEE/CAA J. Autom. Sinica, vol. 10, no. 4, pp. 1083–1085, 2023. doi: 10.1109/JAS.2023.123153
    [37]
    T. Jiang, Y. Yan, and S.-H. Yu, “Adaptive sliding mode control for unmanned surface vehicles with predefined-time tracking performances,” J. Marine Science and Engineering, vol. 11, p. 1244, 2023. doi: 10.3390/jmse11061244
    [38]
    C.-D. Liang, M.-F. Ge, Z.-W. Liu, L. Wang, and J. H. Park, “Model-free cluster formation control of NMSVs with bounded inputs: A predefined-time estimator-based approach,” IEEE Trans. Intelligent Vehicles, vol. 8, no. 2, pp. 1731–1741, 2023. doi: 10.1109/TIV.2022.3182992
    [39]
    J. Liu, J. Shi, Y. Wu, X. Wang, and C. Sun, “Self-triggered predefined-time consensus tracking control of nonlinear multiple ground vehicles,” IEEE Trans. Vehicular Technology, vol. 73, no. 12, pp. 18031–18042, 2024. doi: 10.1109/TVT.2024.3432392
    [40]
    T. Fossen, Handbook of Marine Craft Hydrodynamics and Motion Control. Hoboken, NJ, USA: John Wiley & Sons, Ltd, 2011.
    [41]
    Y. Xu, J. Liu, J. Wang, and C. Sun, “P-V plane based active fault-tolerant control trajectory tracking for dish-shaped AUV against complete failure of multiple propellers,” IEEE Trans. Intelligent Vehicles, vol. 9, no. 12, pp. 7635−7645, 2024.
    [42]
    N. Gu, D. Wang, Z. Peng, J. Wang, and Q.-L. Han, “Advances in line-of-sight guidance for path following of autonomous marine vehicles: An overview,” IEEE Trans. Systems, Man, and Cybernetics: Systems, vol. 53, no. 1, pp. 12–28, 2023. doi: 10.1109/TSMC.2022.3162862
    [43]
    B. Zhang, D. Ji, S. Liu, X. Zhu, and W. Xu, “Autonomous underwater vehicle navigation: A review,” Ocean Engineering, vol. 273, p. 113861, 2023. doi: 10.1016/j.oceaneng.2023.113861
    [44]
    J. Yan, Z. Guo, X. Yang, X. Luo, and X. Guan, “Finite-time tracking control of autonomous underwater vehicle without velocity measurements,” IEEE Trans. Systems, Man, and Cybernetics: Systems, vol. 52, no. 11, pp. 6759–6773, 2022. doi: 10.1109/TSMC.2021.3095975
    [45]
    X. Chen, Q. Sun, H. Yu, and F. Hao, “Predefined-time practical consensus for multi-agent systems via event-triggered control,” J. the Franklin Institute, vol. 360, no. 3, pp. 2116–2132, 2023. doi: 10.1016/j.jfranklin.2023.01.001
    [46]
    J. Liu, J. Shi, Y. Wu, X. Wang, J. Sun, and C. Sun, “Event-based predefined-time second-order practical consensus with application to connected automated vehicles,” IEEE Trans. Intelligent Vehicles, vol. 8, no. 11, pp. 4524–4535, 2023. doi: 10.1109/TIV.2023.3306802
    [47]
    R. R. Nair, L. Behera, and S. Kumar, “Event-triggered finite-time integral sliding mode controller for consensus-based formation of multirobot systems with disturbances,” IEEE Trans. Control Systems Technology, vol. 27, no. 1, pp. 39–47, 2019. doi: 10.1109/TCST.2017.2757448
    [48]
    S. Wu, G. Radice, Y. Gao, and Z. Sun, “Quaternion-based finite time control for spacecraft attitude tracking,” Acta Astronautica, vol. 69, no. 1, pp. 48–58, 2011.
    [49]
    F. Wang, Y. Miao, C. Li, and I. Hwang, “Attitude control of rigid spacecraft with predefined-time stability,” J. the Franklin Institute, vol. 357, no. 7, pp. 4212–4221, 2020. doi: 10.1016/j.jfranklin.2020.01.001
    [50]
    J. Chen, F. Sun, and C. Hua, “Finite/fixed/predefined/exact time control: A unified framework,” Int. J. Systems Science, vol. 54, no. 5, pp. 977–990, 2023. doi: 10.1080/00207721.2022.2156768

Catalog

    通讯作者: 陈斌, bchen63@163.com
    • 1. 

      沈阳化工大学材料科学与工程学院 沈阳 110142

    1. 本站搜索
    2. 百度学术搜索
    3. 万方数据库搜索
    4. CNKI搜索

    Figures(10)  / Tables(6)

    Article Metrics

    Article views (19) PDF downloads(3) Cited by()

    /

    DownLoad:  Full-Size Img  PowerPoint
    Return
    Return