A journal of IEEE and CAA , publishes high-quality papers in English on original theoretical/experimental research and development in all areas of automation
Volume 13 Issue 2
Feb.  2026

IEEE/CAA Journal of Automatica Sinica

  • JCR Impact Factor: 19.2, Top 1 (SCI Q1)
    CiteScore: 28.2, Top 1% (Q1)
    Google Scholar h5-index: 95, TOP 5
Turn off MathJax
Article Contents
C. Zhou, Z. Mao, B. Jiang, and X.-G. Yan, “Adaptive fault-tolerant consensus tracking control for nonlinear multi-agent systems with double semi-Markovian switching topologies and unknown control directions,” IEEE/CAA J. Autom. Sinica, vol. 13, no. 2, pp. 463–476, Feb. 2026. doi: 10.1109/JAS.2025.125285
Citation: C. Zhou, Z. Mao, B. Jiang, and X.-G. Yan, “Adaptive fault-tolerant consensus tracking control for nonlinear multi-agent systems with double semi-Markovian switching topologies and unknown control directions,” IEEE/CAA J. Autom. Sinica, vol. 13, no. 2, pp. 463–476, Feb. 2026. doi: 10.1109/JAS.2025.125285

Adaptive Fault-Tolerant Consensus Tracking Control for Nonlinear Multi-Agent Systems With Double Semi-Markovian Switching Topologies and Unknown Control Directions

doi: 10.1109/JAS.2025.125285
Funds:  This work was supported by the National Natural Science Foundation of China (62333011, 62020106003), the Natural Science Foundation of Jiangsu Province of China (BK20222012), the Fundamental Research Funds for the Central Universities (NE2024005), and the Postgraduate Research & Practice Innovation Program of Jiangsu Province (KYCX24_0594)
More Information
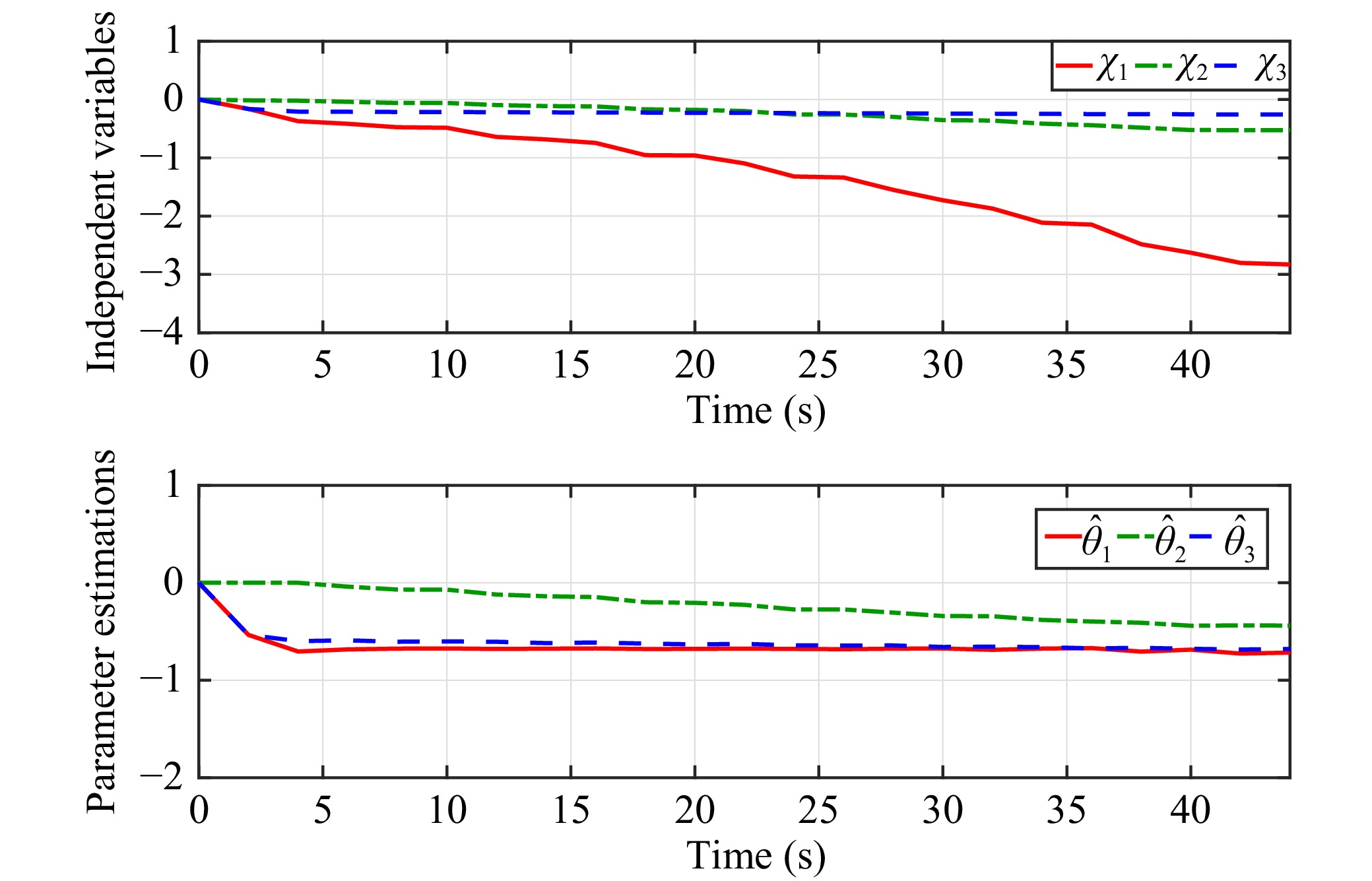
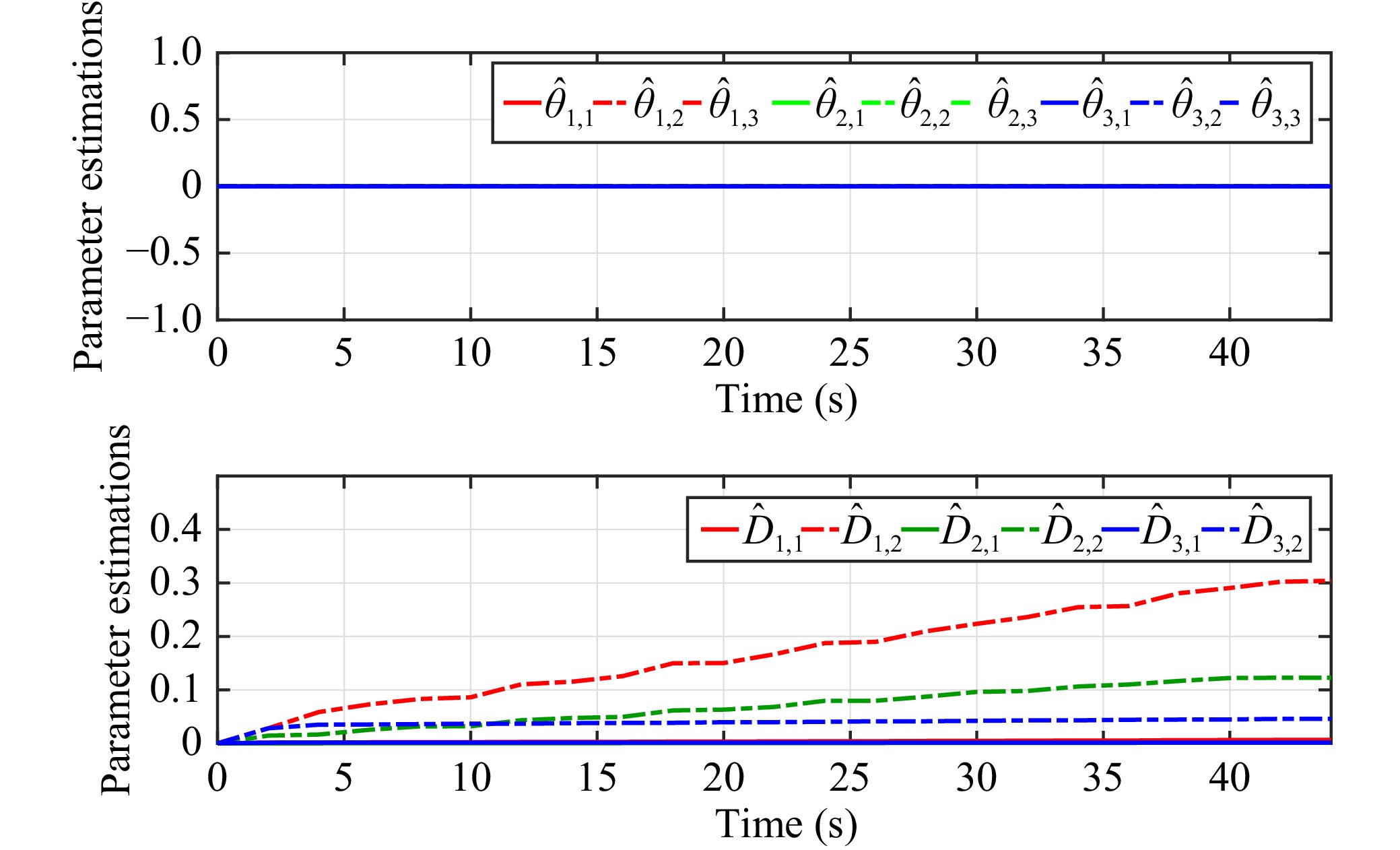
  • This paper is concerned with adaptive consensus tracking control of nonlinear multi-agent systems with actuator faults and unknown nonidentical control directions under double semi-Markovian switching topologies. Considering the complex working environment and the stability differences in communication links between leaders and followers, a double semi-Markov process is first introduced to describe the random switching of communication topologies in the leader-follower structure. In order to address challenges from the unknown nonidentical control directions and partial loss of effectiveness actuator faults, a completely independent parameter is introduced into the Nussbaum function to overcome the inherent obstacle of mutual cancellation and avoid the rapid growth rate. Considering only the state information of agents is transmitted among the agents, an adaptive distributed fault-tolerant consensus tracking control is proposed based on the double semi-Markovian switching topologies using the designed Nussbaum function. Furthermore, the stability of the closed-loop nonlinear multi-agent systems is analyzed using contradiction argument and Lyapunov theorem, from which the asymptotic consensus tracking in mean square sense can be obtained. A numerical simulation example is provided to verify the effectiveness of the proposed algorithm.

     

  • loading
  • 1 In this paper, the growth rate specifically refers to the exponent in the exponential function involved in the Nussbaum function, such as $ \chi_i^2 $ in $ e^{\chi_i^2} $ and $ \alpha|\chi_i| $ in $ e^{\alpha|\chi_i|} $.
  • [1]
    Y. Ju, D. Ding, X. He, Q.-L. Han, and G. Wei, “Consensus control of multi-agent systems using fault-estimation-in-the-loop: Dynamic event-triggered case,” IEEE/CAA J. Autom. Sinica, vol. 9, no. 8, pp. 1440–1451, Aug. 2022. doi: 10.1109/JAS.2021.1004386
    [2]
    M. Li, Y. Long, T. Li, H. Liang, and C. L. P. Chen, “Dynamic event-triggered consensus control for input constrained multi-agent systems with a designable minimum inter-event time,” IEEE/CAA J. Autom. Sinica, vol. 11, no. 3, pp. 649–660, Mar. 2024. doi: 10.1109/JAS.2023.123582
    [3]
    Z. Li and J. Chen, “Robust consensus of linear feedback protocols over uncertain network graphs,” IEEE Trans. Automat. Control, vol. 62, no. 8, pp. 4251–4258, Aug. 2017. doi: 10.1109/TAC.2017.2685082
    [4]
    Z. Yuan, Y. Xiong, G. Sun, J. Liu, and L. Wu, “Event-triggered quantized communication-based consensus in multiagent systems via sliding mode,” IEEE Trans. Cybern., vol. 52, no. 5, pp. 3925–3935, May 2022. doi: 10.1109/TCYB.2020.3017550
    [5]
    H. Du, G. Wen, G. Chen, J. Cao, and F. E. Alsaadi, “A distributed finite-time consensus algorithm for higher-order leaderless and leader-following multiagent systems,” IEEE Trans. Syst. Man Cybern. Syst., vol. 47, no. 7, pp. 1625–1634, Jul. 2017. doi: 10.1109/TSMC.2017.2651899
    [6]
    X. Wang, X. Wang, H. Su, and J. Lam, “Reduced-order interval observer based consensus for MASs with time-varying interval uncertainties,” Automatica, vol. 135, p. 109989, Jan. 2022. doi: 10.1016/j.automatica.2021.109989
    [7]
    L. Xu, Y. Mo, and L. Xie, “Distributed consensus over Markovian packet loss channels,” IEEE Trans. Automat. Control, vol. 65, no. 1, pp. 279–286, Jan. 2020. doi: 10.1109/TAC.2019.2915747
    [8]
    H. Ren, H. Ma, H. Li, and Z. Wang, “Adaptive fixed-time control of nonlinear MASs with actuator faults,” IEEE/CAA J. Autom. Sinica, vol. 10, no. 5, pp. 1252–1262, May 2023. doi: 10.1109/JAS.2023.123558
    [9]
    W. Wang, C. Wen, and J. Huang, “Distributed adaptive asymptotically consensus tracking control of nonlinear multi-agent systems with unknown parameters and uncertain disturbances,” Automatica, vol. 77, pp. 133–142, Mar. 2017. doi: 10.1016/j.automatica.2016.11.019
    [10]
    Y. Liu and L. Li, “Adaptive leader-follower consensus control of multiple flexible manipulators with actuator failures and parameter uncertainties,” IEEE/CAA J. Autom. Sinica, vol. 10, no. 4, pp. 1020–1031, Apr. 2023. doi: 10.1109/JAS.2023.123093
    [11]
    G. Lin, H. Li, H. Ma, D. Yao, and R. Lu, “Human-in-the-loop consensus control for nonlinear multi-agent systems with actuator faults,” IEEE/CAA J. Autom. Sinica, vol. 9, no. 1, pp. 111–122, Jan. 2022. doi: 10.1109/JAS.2020.1003596
    [12]
    J. Qin, Q. Ma, H. Gao, and W. X. Zheng, “Fault-tolerant cooperative tracking control via integral sliding mode control technique,” IEEE/ASME Trans. Mechatron., vol. 23, no. 1, pp. 342–351, Feb. 2018. doi: 10.1109/TMECH.2017.2775447
    [13]
    S. Su and Z. Lin, “Connectivity enhancing coordinated tracking control of multi-agent systems with a state-dependent jointly-connected dynamic interaction topology,” Automatica, vol. 101, pp. 431–438, Mar. 2019. doi: 10.1016/j.automatica.2018.12.030
    [14]
    J. Ni, P. Shi, Y. Zhao, and Z. Wu, “Fixed-time output consensus tracking for high-order multi-agent systems with directed network topology and packet dropout,” IEEE/CAA J. Autom. Sinica, vol. 8, no. 4, pp. 817–836, Apr. 2021. doi: 10.1109/JAS.2021.1003916
    [15]
    X.-G. Yan and C. Edwards, “Robust decentralized actuator fault detection and estimation for large-scale systems using a sliding mode observer,” Int. J. Control, vol. 81, no. 4, pp. 591–606, Apr. 2008. doi: 10.1080/00207170701536056
    [16]
    N. Meskin and K. Khorasani, “Actuator fault detection and isolation for a network of unmanned vehicles,” IEEE Trans. Automat. Control, vol. 54, no. 4, pp. 835–840, Apr. 2009. doi: 10.1109/TAC.2008.2009675
    [17]
    M. Khalili, X. Zhang, M. M. Polycarpou, T. Parisini, and Y. Cao, “Distributed adaptive fault-tolerant control of uncertain multi-agent systems,” Automatica, vol. 87, pp. 142–151, Jan. 2018. doi: 10.1016/j.automatica.2017.09.002
    [18]
    C. Liu, B. Jiang, X. Wang, H. Yang, and S. Xie, “Distributed fault-tolerant consensus tracking of multi-agent systems under cyber-attacks,” IEEE/CAA J. Autom. Sinica, vol. 9, no. 6, pp. 1037–1048, Jun. 2022. doi: 10.1109/JAS.2022.105419
    [19]
    S. Liu, B. Jiang, Z. Mao, and Y. Zhang, “Distributed event-triggered quantized fault-tolerant control of linear multiagent systems with external disturbances and parameter uncertainties,” IEEE Trans. Cybern., vol. 54, no. 4, pp. 2099–2112, Apr. 2024. doi: 10.1109/TCYB.2022.3222459
    [20]
    S. Xiao and J. Dong, “Distributed fault-tolerant containment control for nonlinear multi-agent systems under directed network topology via hierarchical approach,” IEEE/CAA J. Autom. Sinica, vol. 8, no. 4, pp. 806–816, Apr. 2021. doi: 10.1109/JAS.2021.1003928
    [21]
    X. Jin, “Fault-tolerant iterative learning control for mobile robots non-repetitive trajectory tracking with output constraints,” Automatica, vol. 94, pp. 63–71, Aug. 2018. doi: 10.1016/j.automatica.2018.04.011
    [22]
    X.-J. Li and G.-H. Yang, “Neural-network-based adaptive decentralized fault-tolerant control for a class of interconnected nonlinear systems,” IEEE Trans. Neural Netw. Learn. Syst., vol. 29, no. 1, pp. 144–155, Jan. 2018. doi: 10.1109/TNNLS.2016.2616906
    [23]
    J. Wang, H. Zhang, J. Fu, H. Liang, and Q. Meng, “Dissipativity-based consensus tracking control of nonlinear multiagent systems with generally uncertain Markovian switching topologies and event-triggered strategy,” IEEE Trans. Cybern., vol. 53, no. 8, pp. 4763–4778, Aug. 2023. doi: 10.1109/TCYB.2022.3141599
    [24]
    X. Jiang, G. Xia, Z. Feng, Z. Jiang, and Z.-G. Wu, “Dissipativity-based consensus tracking of singular multiagent systems with switching topologies and communication delays,” IEEE Trans. Cybern., vol. 52, no. 6, pp. 4547–4558, Jun. 2022. doi: 10.1109/TCYB.2020.3030037
    [25]
    K. You, Z. Li, and L. Xie, “Consensus condition for linear multi-agent systems over randomly switching topologies,” Automatica, vol. 49, no. 10, pp. 3125–3132, Oct. 2013. doi: 10.1016/j.automatica.2013.07.024
    [26]
    H. Guo, M. Meng, and G. Feng, “Lyapunov-based output containment control of heterogeneous multi-agent systems with Markovian switching topologies and distributed delays,” IEEE/CAA J. Autom. Sinica, vol. 10, no. 6, pp. 1421–1433, Jun. 2023. doi: 10.1109/JAS.2023.123198
    [27]
    J. Du, C. Guo, S. Yu, and Y. Zhao, “Adaptive autopilot design of time-varying uncertain ships with completely unknown control coefficient,” IEEE J. Oceanic Eng., vol. 32, no. 2, pp. 346–352, Apr. 2007. doi: 10.1109/JOE.2007.893684
    [28]
    M. Guo, D. Xu, and L. Liu, “Cooperative output regulation of heterogeneous nonlinear multi-agent systems with unknown control directions,” IEEE Trans. Automat. Control, vol. 62, no. 6, pp. 3039–3045, Jun. 2017. doi: 10.1109/TAC.2016.2609281
    [29]
    T. Liu and J. Huang, “Cooperative output regulation for a class of nonlinear multi-agent systems with unknown control directions subject to switching networks,” IEEE Trans. Automat. Control, vol. 63, no. 3, pp. 783–790, Mar. 2018. doi: 10.1109/TAC.2017.2735803
    [30]
    Y.-W. Wang, Y. Lei, T. Bian, and Z.-H. Guan, “Distributed control of nonlinear multiagent systems with unknown and nonidentical control directions via event-triggered communication,” IEEE Trans. Cybern., vol. 50, no. 5, pp. 1820–1832, May 2020. doi: 10.1109/TCYB.2019.2908874
    [31]
    C. Wang, C. Wen, and L. Guo, “Adaptive consensus control for nonlinear multiagent systems with unknown control directions and time-varying actuator faults,” IEEE Trans. Automat. Control, vol. 66, no. 9, pp. 4222–4229, Sep. 2021. doi: 10.1109/TAC.2020.3034209
    [32]
    J. Huang, Y. Song, W. Wang, C. Wen, and G. Li, “Fully distributed adaptive consensus control of a class of high-order nonlinear systems with a directed topology and unknown control directions,” IEEE Trans. Cybern., vol. 48, no. 8, pp. 2349–2356, Aug. 2018. doi: 10.1109/TCYB.2017.2737652
    [33]
    D. Luo, Y. Wang, Z. Li, Y. Song, and F. L. Lewis, “Asymptotic leader-following consensus of heterogeneous multi-agent systems with unknown and time-varying control gains,” IEEE Trans. Autom. Sci. Eng., vol. 22, pp. 2768-2779, 2025.
    [34]
    P.-M. Liu, X.-G. Guo, J.-L. Wang, X.-P. Xie, and F.-W. Yang, “Fully distributed hierarchical ET intrusion- and fault-tolerant group control for MASs with application to robotic manipulators,” IEEE Trans. Autom. Sci. Eng., vol. 21, no. 3, pp. 2868–2881, Jul. 2024. doi: 10.1109/TASE.2023.3270489
    [35]
    Y. Song, L. He, D. Zhang, J. Qian, and J. Fu, “Neuroadaptive fault-tolerant control of quadrotor UAVs: A more affordable solution,” IEEE Trans. Neural Netw. Learn. Syst., vol. 30, no. 7, pp. 1975–1983, Jul. 2019. doi: 10.1109/TNNLS.2018.2876130
    [36]
    A. Aghaeeyan, F. Abdollahi, and H. A. Talebi, “UAV-UGVs cooperation: With a moving center based trajectory,” Rob. Auton. Syst., vol. 63, pp. 1–9, Jan. 2015. doi: 10.1016/j.robot.2014.10.005
    [37]
    H. Zhang, F. L. Lewis, and Z. Qu, “Lyapunov, adaptive, and optimal design techniques for cooperative systems on directed communication graphs,” IEEE Trans. Ind. Electron., vol. 59, no. 7, pp. 3026–3041, Jul. 2012. doi: 10.1109/TIE.2011.2160140
    [38]
    Y. Hong, J. Hu, and L. Gao, “Tracking control for multi-agent consensus with an active leader and variable topology,” Automatica, vol. 42, no. 7, pp. 1177–1182, Jul. 2006. doi: 10.1016/j.automatica.2006.02.013
    [39]
    D. Swaroop, J. K. Hedrick, P. P. Yip, and J. C. Gerdes, “Dynamic surface control for a class of nonlinear systems,” IEEE Trans. Automat. Control, vol. 45, no. 10, pp. 1893–1899, Oct. 2000. doi: 10.1109/TAC.2000.880994
    [40]
    J. A. Farrell, M. Polycarpou, M. Sharma, and W. Dong, “Command filtered backstepping,” IEEE Trans. Automat. Control, vol. 54, no. 6, pp. 1391–1395, Jun. 2009. doi: 10.1109/TAC.2009.2015562

Catalog

    通讯作者: 陈斌, bchen63@163.com
    • 1. 

      沈阳化工大学材料科学与工程学院 沈阳 110142

    1. 本站搜索
    2. 百度学术搜索
    3. 万方数据库搜索
    4. CNKI搜索

    Figures(6)

    Article Metrics

    Article views (831) PDF downloads(78) Cited by()

    /

    DownLoad:  Full-Size Img  PowerPoint
    Return
    Return