A journal of IEEE and CAA , publishes high-quality papers in English on original theoretical/experimental research and development in all areas of automation
Volume 12 Issue 11
Nov.  2025

IEEE/CAA Journal of Automatica Sinica

  • JCR Impact Factor: 19.2, Top 1 (SCI Q1)
    CiteScore: 28.2, Top 1% (Q1)
    Google Scholar h5-index: 95, TOP 5
Turn off MathJax
Article Contents
L. Liu, R. Song, and L. Xia, “Adaptive self-triggered impulsive fault-tolerant control for multi-player constrained systems,” IEEE/CAA J. Autom. Sinica, vol. 12, no. 11, pp. 2228–2238, Nov. 2025. doi: 10.1109/JAS.2025.125288
Citation: L. Liu, R. Song, and L. Xia, “Adaptive self-triggered impulsive fault-tolerant control for multi-player constrained systems,” IEEE/CAA J. Autom. Sinica, vol. 12, no. 11, pp. 2228–2238, Nov. 2025. doi: 10.1109/JAS.2025.125288

Adaptive Self-Triggered Impulsive Fault-Tolerant Control for Multi-Player Constrained Systems

doi: 10.1109/JAS.2025.125288
Funds:  This work was supported in part by the National Natural Science Foundation of China (62273036, 62403045), the Open Research Fund of the State Key Laboratory of Multimodal Artificial Intelligence Systems (MAIS2025020), and Interdisciplinary Research Project for Young Teachers of USTB (Fundamental Research Funds for the Central Universities) (FRF-IDRY-23-036)
More Information
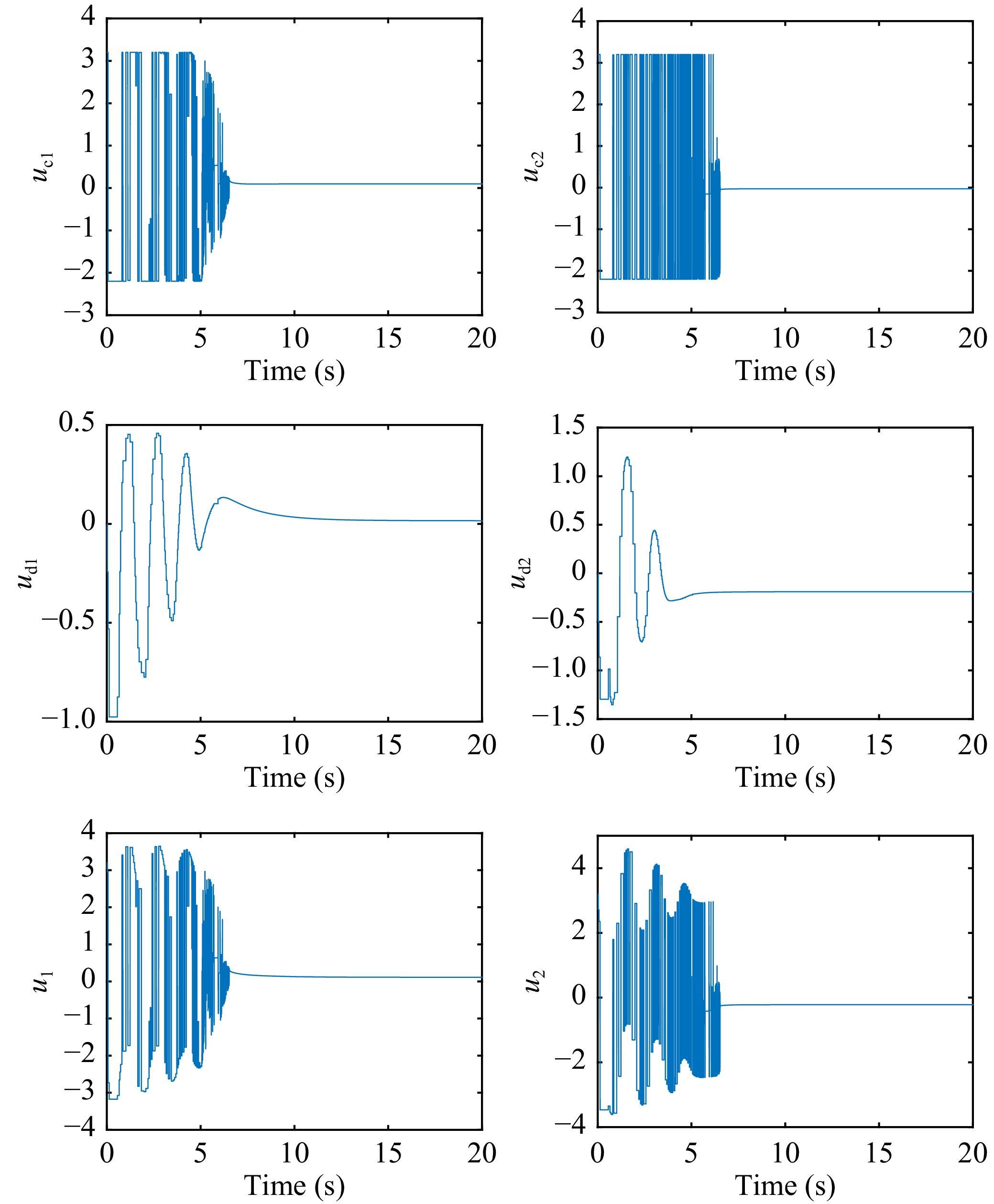
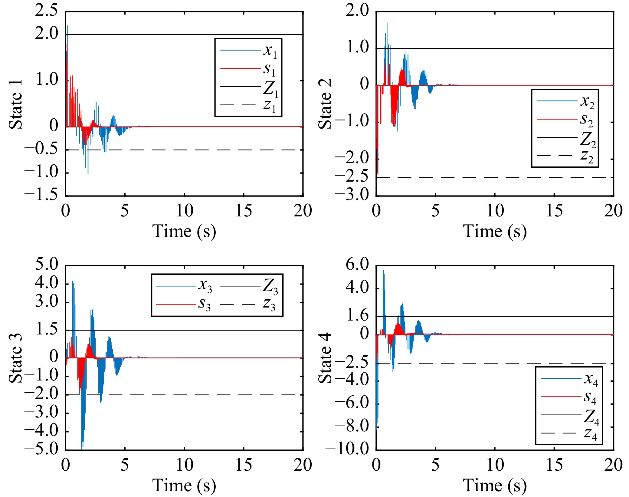
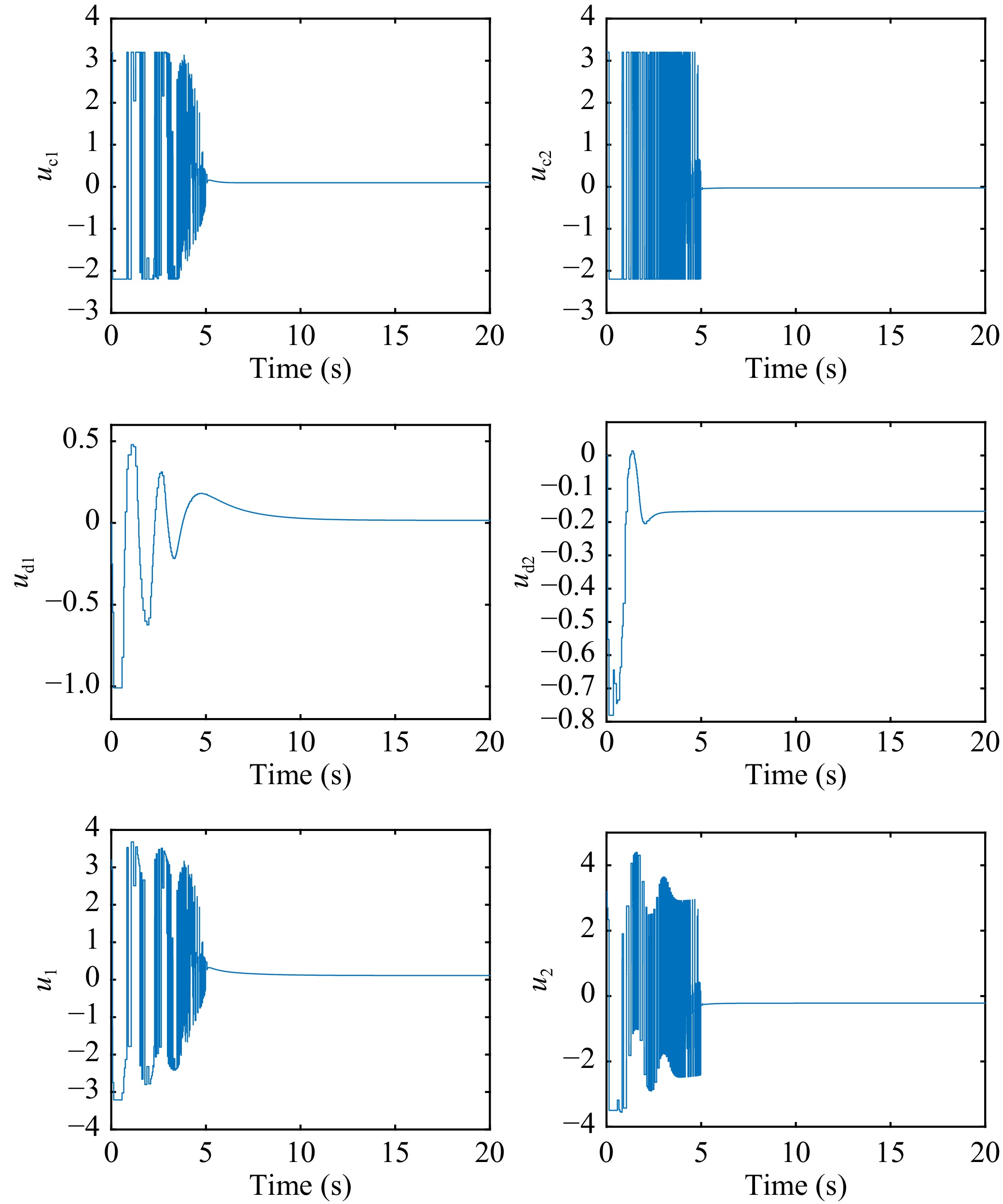
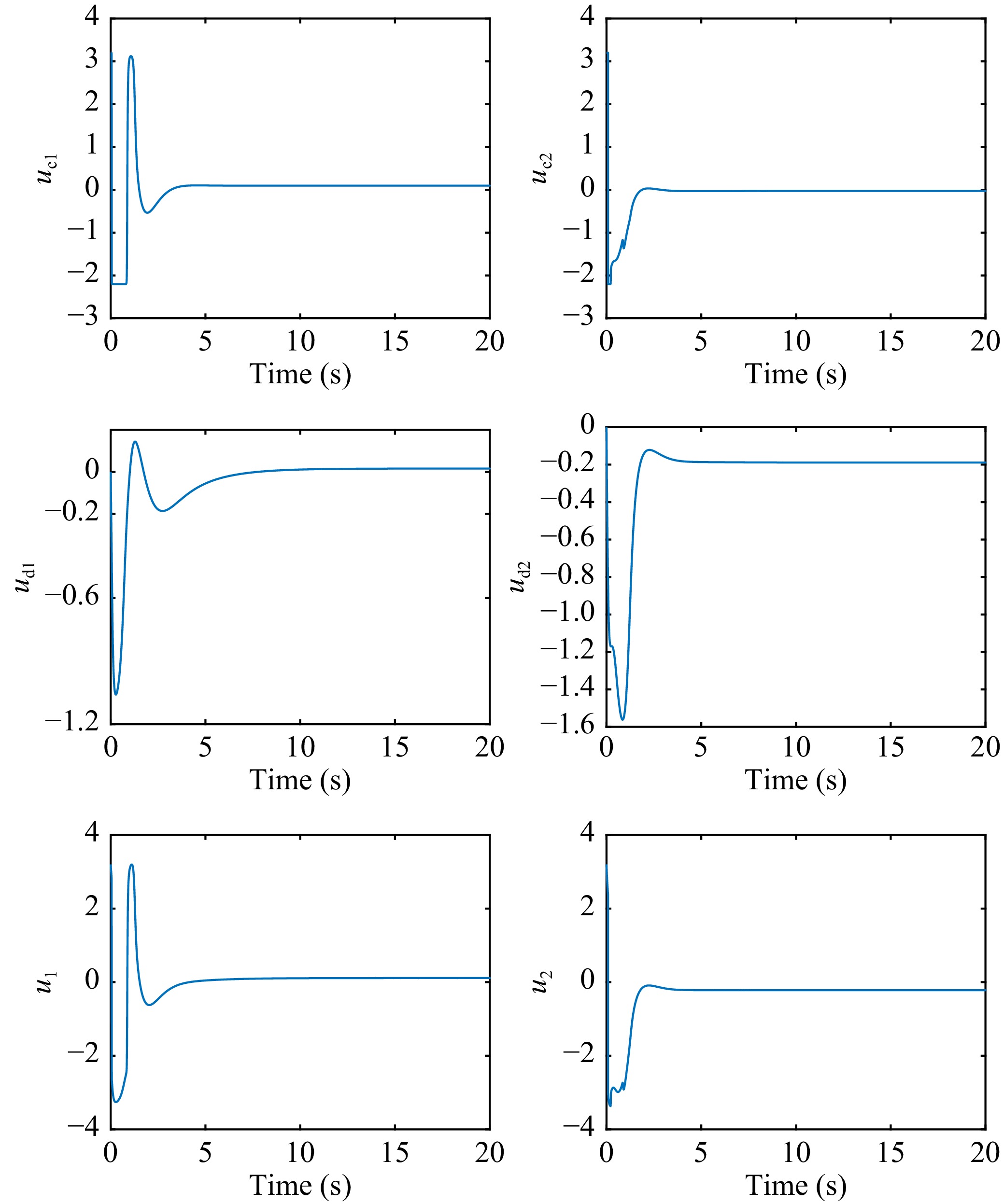
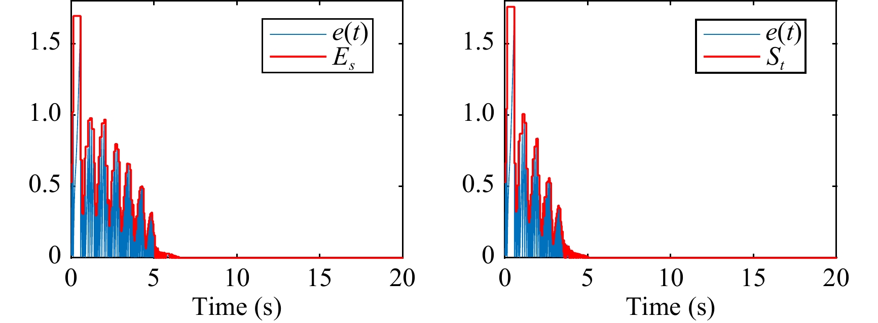
  • Considering that actual systems are often constrained by multiple factors such as state limitation, actuator saturation and actuator failure at the same time, this paper provides an effective solution for non-affine multi-player systems, which can guarantee the required performance while saving communication cost. Initially, an auxiliary system is established to accommodate state limitations, following which the controller design is partitioned into two distinct segments, addressing different types of faults. Specifically, the discontinuous and continuous aspects of the controller are achieved by sliding-mode control (SMC) and adaptive critic design (ACD), respectively. During the implementation of ACD to solve the guaranteed value function incorporating the utility function designed for the asymmetric saturation of the control input, two adaptive schemes including adaptive event-triggered impulsive control (AETIC) and adaptive self-triggered impulsive control (ASTIC) are introduced successively. It is proved that the system maintains exponential stability rather than asymptotic stability and the state signals keep ultimately uniformly bounded (UUB). Finally, the effectiveness of the proposed control sequence is verified by simulation comparisons.

     

  • loading
  • [1]
    Q. Wan, Y. Pan, Q. Lu, and Y. Jing, “Adaptive robust control of nonaffine nonlinear systems via an improved event-triggered mechanism,” Asian J. Control, vol. 26, no. 4, pp. 2026–2036, Jul. 2024. doi: 10.1002/asjc.3318
    [2]
    H. Jiang and Y. Luo, “Data-driven approximate optimal tracking control schemes for unknown non-affine non-linear multi-player systems via adaptive dynamic programming,” Electron. Lett., vol. 53, no. 7, pp. 465–467, Mar. 2017. doi: 10.1049/el.2016.4756
    [3]
    L. Chen, H. Liang, Y. Pan, and T. Li, “Human-in-the-loop consensus tracking control for UAV systems via an improved prescribed performance approach,” IEEE Trans. Aerosp. Electron. Syst., vol. 59, no. 6, pp. 8380–8391, Dec. 2023. doi: 10.1109/TAES.2023.3304283
    [4]
    Z. Yu, J. Li, Y. Xu, Y. Zhang, B. Jiang, and C. Y. Su, “Reinforcement learning-based fractional-order adaptive fault-tolerant formation control of networked fixed-wing UAVs with prescribed performance,” IEEE Trans. Neural Netw. Learn. Syst., vol. 35, no. 3, pp. 3365–3379, Mar. 2024. doi: 10.1109/TNNLS.2023.3281403
    [5]
    W. Ji, Y. Pan, and M. Zhao, “Zero-sum game for nonlinear multiagent systems with full-state constraints,” Asian J. Control, vol. 26, no. 5, pp. 2624–2636, Sep. 2024. doi: 10.1002/asjc.3357
    [6]
    H. Ren, H. Ma, H. Li, and Z. Wang, “Adaptive fixed-time control of nonlinear MASs with actuator faults,” IEEE/CAA J. Autom. Sinica, vol. 10, no. 5, pp. 1252–1262, May 2023. doi: 10.1109/JAS.2023.123558
    [7]
    R. Song, L. Liu, and Z. Xu, “Adaptive dynamic event-triggered control for constrained modular reconfigurable robot,” Knowl.-Based Syst., vol. 254, no. 27, p. 109624, Oct. 2022.
    [8]
    Q. Wan, L. Cao, Y. Pan, and W. Lin, “Improved prescribed performance fuzzy control for nonlinear multiagent systems with actuator faults and dual input saturations,” Eur. J. Control, vol. 75, p. 100937, Jan. 2024. doi: 10.1016/j.ejcon.2023.100937
    [9]
    C. Liu, B. Jiang, R. J. Patton, and K. Zhang, “Decentralized output sliding-mode fault-tolerant control for heterogeneous multiagent systems,” IEEE Trans. Cybern., vol. 50, no. 12, pp. 4934–4945, Dec. 2020. doi: 10.1109/TCYB.2019.2912636
    [10]
    W. Chen and Q. Hu, “Sliding-mode-based attitude tracking control of spacecraft under reaction wheel uncertainties,” IEEE/CAA J. Autom. Sinica, vol. 10, no. 6, pp. 1475–1487, Jun. 2023. doi: 10.1109/JAS.2022.105665
    [11]
    M. Ha, D. Wang, and D. Liu, “Discounted iterative adaptive critic designs with novel stability analysis for tracking control,” IEEE/CAA J. Autom. Sinica, vol. 9, no. 7, pp. 1262–1272, Jul. 2022. doi: 10.1109/JAS.2022.105692
    [12]
    M. Wang, K. Wang, L. Huang, and H. Shi, “Observer-based event-triggered tracking control for discrete-time nonlinear systems using adaptive critic design,” IEEE Trans. Syst., Man, Cybern.: Syst., vol. 53, no. 9, pp. 5393–5403, Sep. 2023. doi: 10.1109/TSMC.2023.3269108
    [13]
    T. Wang, Y. Wang, X. Yang, and J. Yang, “Further results on optimal tracking control for nonlinear systems with nonzero equilibrium via adaptive dynamic programming,” IEEE Trans. Neural Netw. Learn. Syst., vol. 34, no. 4, pp. 1900–1910, Apr. 2023. doi: 10.1109/TNNLS.2021.3105646
    [14]
    H. Lin, B. Zhao, D. Liu, and C. Alippi, “Data-based fault tolerant control for affine nonlinear systems through particle swarm optimized neural networks,” IEEE/CAA J. Autom. Sinica, vol. 7, no. 4, pp. 954–964, Jul. 2020. doi: 10.1109/JAS.2020.1003225
    [15]
    W. Chen, H. Li, and X. Zhang, “L2-gain analysis and fault-tolerant control for uncertain nonlinear switched system with actuator saturation and time-varying delay,” Asian J. Control, vol. 26, no. 4, pp. 1749–1770, Jul. 2024. doi: 10.1002/asjc.3289
    [16]
    H. Zhao, H. Wang, B. Niu, X. Zhao, and K. Alharbi, “Event-triggered fault-tolerant control for input-constrained nonlinear systems with mismatched disturbances via adaptive dynamic programming,” Neural Netw., vol. 164, pp. 508–520, Jul. 2023. doi: 10.1016/j.neunet.2023.05.001
    [17]
    H. Zhang, Y. Yan, Y. Mu, and Z. Ming, “Neural network-based adaptive sliding-mode control for fractional order fuzzy system with unmatched disturbances and time-varying delays,” IEEE Trans. Syst., Man, Cybern.: Syst., vol. 53, no. 8, pp. 5174–5184, Aug. 2023. doi: 10.1109/TSMC.2023.3257415
    [18]
    L. Xia, Q. Li, R. Song, and H. Modares, “Optimal synchronization control of heterogeneous asymmetric input-constrained unknown nonlinear MASs via reinforcement learning,” IEEE/CAA J. Autom. Sinica, vol. 9, no. 3, pp. 520–532, Mar. 2022. doi: 10.1109/JAS.2021.1004359
    [19]
    Z. Li, M. Huang, J. Zhu, W. Gui, Z. Jiang, and W. Du, “Learning-based adaptive optimal control for flotation processes subject to input constraints,” IEEE Trans. Control Syst. Technol., vol. 31, no. 1, pp. 252–264, Jan. 2023. doi: 10.1109/TCST.2022.3171110
    [20]
    C. Gao, Z. Wang, X. He, and Q.-L. Han, “Consensus control of linear multiagent systems under actuator imperfection: When saturation meets fault,” IEEE Trans. Syst., Man, Cybern.: Syst., vol. 52, no. 4, pp. 2651–2663, Apr. 2022. doi: 10.1109/TSMC.2021.3050370
    [21]
    C. Pan, Y. Chen, Y. Liu, I. Ali, and W. He, “Distributed finite-time fault-tolerant control for heterogeneous vehicular platoon with saturation,” IEEE Trans. Intell. Transport. Syst., vol. 23, no. 11, pp. 21259–21273, Nov. 2022. doi: 10.1109/TITS.2022.3181460
    [22]
    Y. Ren, Y. Sun, and L. Liu, “Fuzzy disturbance observers-based adaptive fault-tolerant control for an uncertain constrained automatic flexible robotic manipulator,” IEEE Trans. Fuzzy Syst., vol. 32, no. 3, pp. 1144–1158, Mar. 2024. doi: 10.1109/TFUZZ.2023.3319392
    [23]
    Y. Pan, W. Ji, H.-K. Lam, and L. Cao, “An improved predefined-time adaptive neural control approach for nonlinear multiagent systems,” IEEE Trans. Autom. Sci. Eng., vol. 21, no. 4, pp. 6311–6320, Oct. 2024. doi: 10.1109/TASE.2023.3324397
    [24]
    P. Zhang, Y. Yuan, and L. Guo, “Fault-tolerant optimal control for discrete-time nonlinear system subjected to input saturation: A dynamic event-triggered approach,” IEEE Trans. Cybern., vol. 51, no. 6, pp. 2956–2968, Jun. 2021. doi: 10.1109/TCYB.2019.2923011
    [25]
    S. Zhang, B. Zhao, D. Liu, and Y. Zhang, “Event-triggered decentralized integral sliding mode control for input-constrained nonlinear large-scale systems with actuator failures,” IEEE Trans. Syst., Man, Cybern.: Syst., vol. 54, no. 3, pp. 1914–1925, Mar. 2024. doi: 10.1109/TSMC.2023.3331150
    [26]
    Z. Ming, H. Zhang, Y. Yan, and J. Sun, “Self-triggered adaptive dynamic programming for model-free nonlinear systems via generalized fuzzy hyperbolic model,” IEEE Trans. Syst., Man, Cybern.: Syst., vol. 53, no. 5, pp. 2792–2801, May 2023. doi: 10.1109/TSMC.2022.3220026
    [27]
    R. Song and L. Liu, “Event-triggered constrained robust control for partly-unknown nonlinear systems via ADP,” Neurocomputing, vol. 404, pp. 294–303, Sep. 2020. doi: 10.1016/j.neucom.2020.05.012
    [28]
    J. Chai, Q. Lu, X. Tao, D. Peng, and B. Zhang, “Dynamic event-triggered fixed-time consensus control and its applications to magnetic map construction,” IEEE/CAA J. Autom. Sinica, vol. 10, no. 10, pp. 2000–2013, Oct. 2023. doi: 10.1109/JAS.2023.123444
    [29]
    S. Huang, G. Zong, H. Wang, X. Zhao, and H. Alharbi, “Command filter-based adaptive fuzzy self-triggered control for MIMO nonlinear systems with time-varying full-state constraints,” Int. J. Fuzzy Syst., vol. 25, pp. 3144–3161, Jul. 2023. doi: 10.1007/s40815-023-01560-8
    [30]
    X. Li, D. Peng, and J. Cao, “Lyapunov stability for impulsive systems via event-triggered impulsive control,” IEEE Trans. Autom. Control, vol. 65, no. 11, pp. 4908–4913, Nov. 2020. doi: 10.1109/TAC.2020.2964558
    [31]
    K. Zhang and E. Braverman, “Event-triggered impulsive control for nonlinear systems with actuation delays,” IEEE Trans. Autom. Control, vol. 68, no. 1, pp. 540–547, Jan. 2023. doi: 10.1109/TAC.2022.3142127
    [32]
    X. Li, X. Yang, and J. Cao, “Event-triggered impulsive control for nonlinear delay systems,” Automatica, vol. 117, p. 108981, Jul. 2020. doi: 10.1016/j.automatica.2020.108981
    [33]
    V. Rezaei and M. Stefanovic, “Event-triggered cooperative stabilization of multiagent systems with partially unknown interconnected dynamics,” Automatica, vol. 130, p. 109657, Aug. 2021. doi: 10.1016/j.automatica.2021.109657
    [34]
    H. Modares and F. L. Lewis, “Optimal tracking control of nonlinear partially-unknown constrained-input systems using integral reinforcement learning,” Automatica, vol. 50, no. 7, pp. 1780–1792, Jul. 2014. doi: 10.1016/j.automatica.2014.05.011
    [35]
    H. Modares, F. L. Lewis, and M.-B. Naghibi-Sistani, “Integral reinforcement learning and experience replay for adaptive optimal control of partially-unknown constrained-input continuous-time systems,” Automatica, vol. 50, no. 1, pp. 193–202, Jan. 2014. doi: 10.1016/j.automatica.2013.09.043
    [36]
    X. Yang, D. Liu, Q. Wei, and D. Wang, “Guaranteed cost neural tracking control for a class of uncertain nonlinear systems using adaptive dynamic programming,” Neurocomputing, vol. 198, pp. 80–90, Jul. 2016. doi: 10.1016/j.neucom.2015.08.119
    [37]
    Y. Wang, Y. Song, and F. L. Lewis, “Robust adaptive fault-tolerant control of multiagent systems with uncertain nonidentical dynamics and undetectable actuation failures,” IEEE Trans. Ind. Electron., vol. 62, no. 6, pp. 3978–3988, Jun. 2015.
    [38]
    Y. Yang, D. Ding, H. Xiong, Y. Yin, and D. C. Wunsch, “Online barrier-actor-critic learning for H control with full-state constraints and input saturation,” J. Franklin Inst., vol. 357, no. 6, pp. 3316–3344, Apr. 2020. doi: 10.1016/j.jfranklin.2019.12.017
    [39]
    A. Sahoo, H. Xu, and S. Jagannathan, “Approximate optimal control of affine nonlinear continuous-time systems using event-sampled neurodynamic programming,” IEEE Trans. Neural Netw. Learn. Syst., vol. 28, no. 3, pp. 639–652, Mar. 2017. doi: 10.1109/TNNLS.2016.2539366

Catalog

    通讯作者: 陈斌, bchen63@163.com
    • 1. 

      沈阳化工大学材料科学与工程学院 沈阳 110142

    1. 本站搜索
    2. 百度学术搜索
    3. 万方数据库搜索
    4. CNKI搜索

    Figures(8)

    Article Metrics

    Article views (12) PDF downloads(1) Cited by()

    /

    DownLoad:  Full-Size Img  PowerPoint
    Return
    Return