A journal of IEEE and CAA , publishes high-quality papers in English on original theoretical/experimental research and development in all areas of automation
Volume 13 Issue 2
Feb.  2026

IEEE/CAA Journal of Automatica Sinica

  • JCR Impact Factor: 19.2, Top 1 (SCI Q1)
    CiteScore: 28.2, Top 1% (Q1)
    Google Scholar h5-index: 95, TOP 5
Turn off MathJax
Article Contents
S. Dong, M. Xiao, Z. Wang, W. Yu, W. Zheng, and L. Rutkowski, “Pattern optimization of fractional diffusive schnakenberg system by PD control strategy,” IEEE/CAA J. Autom. Sinica, vol. 13, no. 2, pp. 451–462, Feb. 2026. doi: 10.1109/JAS.2025.125303
Citation: S. Dong, M. Xiao, Z. Wang, W. Yu, W. Zheng, and L. Rutkowski, “Pattern optimization of fractional diffusive schnakenberg system by PD control strategy,” IEEE/CAA J. Autom. Sinica, vol. 13, no. 2, pp. 451–462, Feb. 2026. doi: 10.1109/JAS.2025.125303

Pattern Optimization of Fractional Diffusive Schnakenberg System by PD Control Strategy

doi: 10.1109/JAS.2025.125303
Funds:  This work was supported by the National Natural Science Foundation of China (62073172) and the Natural Science Foundation of Jiangsu Province of China (BK20221329)
More Information
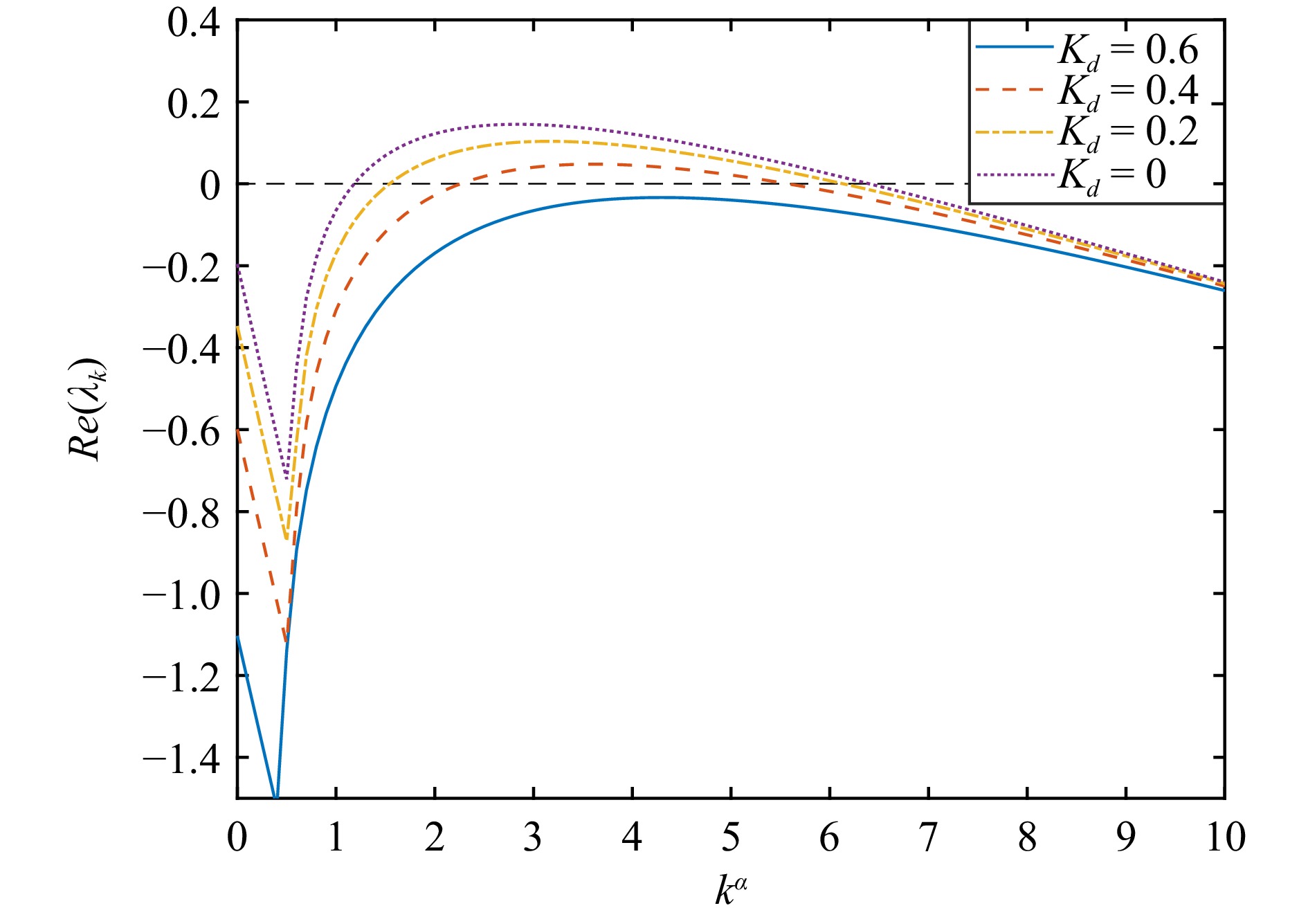
  • Reaction-diffusion systems are widely used to describe pattern formation, and various control strategies have been applied to reaction-diffusion systems to achieve control objectives such as boundary control, output feedback stabilization, and synchronization. However, controlling pattern dynamics in reaction-diffusion systems with fractional-order diffusion remains an unresolved problem. This paper presents a proportional-derivative (PD) control strategy for the Schnakenberg system with fractional-order diffusion and cross-diffusion. Theoretical analysis explores the amplitude equation near the Turing bifurcation threshold, determining the selection and stability of pattern formations. Numerical simulations demonstrate that the PD controller accomplishes the modification of pattern structures and suppression of Turing instability by adjusting only two control parameters. Additionally, it is found that for smaller fractional diffusion order, the region can accommodate more hexagonal and stripe patterns in space. This work contributes to the control of complex pattern dynamics and offers a new approach to enhancing stability in fractional reaction-diffusion systems.

     

  • loading
  • [1]
    A. M. Turing, “The chemical basis of morphogenesis,” Philos. Trans. R. Soc. Lond. B Biol. Sci., vol. 237, no. 641, pp. 37–72, Aug. 1952.
    [2]
    H. Lhachemi and C. Prieur, “Finite-dimensional observer-based PI regulation control of a reaction-diffusion equation,” IEEE Trans. Autom. Control, vol. 67, no. 11, pp. 6143–6150, Nov. 2022. doi: 10.1109/TAC.2021.3130874
    [3]
    H. Lhachemi, C. Prieur, and E. Trelat, “PI regulation of a reaction–diffusion equation with delayed boundary control,” IEEE Trans. Autom. Control, vol. 66, no. 4, pp. 1573–1587, Apr. 2021. doi: 10.1109/TAC.2020.2996598
    [4]
    X. Z. Liu, K. N. Wu, and Z. T. Li, “Exponential stabilization of reaction-diffusion systems via intermittent boundary control,” IEEE Trans. Autom. Control, vol. 67, no. 6, pp. 3036–3042, Jun. 2022. doi: 10.1109/TAC.2021.3100289
    [5]
    G. Fragnelli and D. Mugnai, “Turing patterns for a coupled two-cell generalized Schnakenberg model,” Complex Var. Elliptic Equ., vol. 65, no. 8, pp. 1343–1359, Jun. 2020. doi: 10.1080/17476933.2019.1631291
    [6]
    Y. Lu, M. Xiao, C. Huang, Z. Cheng, Z. Wang, and J. Cao, “Early warning of tipping in a chemical model with cross-diffusion via spatiotemporal pattern formation and transition,” Chaos, vol. 33, no. 7, p. 073120, Jul. 2023. doi: 10.1063/5.0152241
    [7]
    R. Yang and Y. Song, “Spatial resonance and Turing-Hopf bifurcations in the Gierer-Meinhardt model,” Nonlinear Anal.: Real World Appl., vol. 31, pp. 356–387, Oct. 2016.
    [8]
    J. Schnakenberg, “Simple chemical reaction systems with limit cycle behaviour,” J. Theor. Biol., vol. 81, no. 3, pp. 389–400, Dec. 1979. doi: 10.1016/0022-5193(79)90042-0
    [9]
    Y. Ishii, “Stability of multi-peak symmetric stationary solutions for the Schnakenberg model with periodic heterogeneity,” Commun. Pure Appl. Math., vol. 19, no. 6, pp. 2965–3031, Jun. 2020. doi: 10.3934/cpaa.2020130
    [10]
    D. Gomez, L. Mei, and J. Wei, “Stable and unstable periodic spiky solutions for the Gray-Scott system and the Schnakenberg system,” J. Dyn. Differ. Equ., vol. 32, no. 1, pp. 441–481, Feb. 2020. doi: 10.1007/s10884-019-09736-3
    [11]
    D. Iron, J. Wei, and M. Winter, “Stability analysis of Turing patterns generated by the Schnakenberg model,” J. Math. Biol., vol. 49, no. 4, pp. 358–390, Feb. 2004. doi: 10.1007/s00285-003-0258-y
    [12]
    Y. Ishii and K. Kurata, “Existence of multi-peak solutions to the Schnakenberg model with heterogeneity on metric graphs,” Commun. Pure Appl. Math., vol. 20, no. 4, pp. 1633–1679, Mar. 2021. doi: 10.3934/cpaa.2021035
    [13]
    Y. Ishii, “The effect of heterogeneity on one-peak stationary solutions to the Schnakenberg model,” J. Differ. Equ., vol. 285, pp. 321–382, Jun. 2021. doi: 10.1016/j.jde.2021.03.007
    [14]
    H. G. Kaper, S. Wang, and M. Yari, “Dynamical transitions of Turing patterns,” Nonlinearity, vol. 22, no. 3, p. 601, Mar. 2009. doi: 10.1088/0951-7715/22/3/006
    [15]
    C. Xu and J. Wei, “Hopf bifurcation analysis in a one-dimensional Schnakenberg reaction-diffusion model,” Nonlinear Anal.: Real World Appl., vol. 13, no. 4, pp. 1961–1977, Aug. 2012. doi: 10.1016/j.nonrwa.2012.01.001
    [16]
    W. Jiang, H. Wang, and X. Cao, “Turing instability and Turing-Hopf bifurcation in diffusive Schnakenberg systems with gene expression time delay,” J. Dyn. Differ. Equ., vol. 31, no. 4, pp. 2223–2247, Dec. 2019. doi: 10.1007/s10884-018-9702-y
    [17]
    H. K. Khudhair, Y. Zhang, and N. Fukawa, “Pattern selection in the Schnakenberg equations: From normal to anomalous diffusion,” Numer. Methods Partial. Differ. Equ., vol. 38, no. 6, pp. 1843–1860, Nov. 2022. doi: 10.1002/num.22842
    [18]
    G. Liu and Y. Wang, “Pattern formation of a coupled two-cell Schnakenberg model,” Discrete Cont. Dyn. Syst.-S, vol. 10, no. 5, pp. 1051–1062, Oct. 2017. doi: 10.3934/dcdss.2017056
    [19]
    T. Wong and M. J. Ward, “Spot patterns in the 2-D Schnakenberg model with localized heterogeneities,” Stud. Appl. Math., vol. 146, no. 4, pp. 779–833, May 2021. doi: 10.1111/sapm.12361
    [20]
    L. Ping, J. Shi, Y. Wang, and X. Feng, “Bifurcation analysis of reaction-diffusion Schnakenberg model,” J. Math. Chem., vol. 51, no. 8, pp. 2001–2019, Sep. 2013. doi: 10.1007/s10910-013-0196-x
    [21]
    M. R. Ricard and S. Mischler, “Turing instabilities at Hopf bifurcation,” J. Nonlinear Sci., vol. 19, no. 5, pp. 467–496, Oct. 2009. doi: 10.1007/s00332-009-9041-6
    [22]
    M. A. J. Chaplain, M. Ganesh, and I. G. Graham, “Spatio-temporal pattern formation on spherical surfaces: Numerical simulation and application to solid tumour growth,” J. Math. Biol., vol. 42, no. 5, pp. 387–423, May 2001. doi: 10.1007/s002850000067
    [23]
    E. H. Kerner, “A statistical mechanics of interacting biological species,” Bull. Math. Biol., vol. 19, no. 2, pp. 121–146, Jun. 1957. doi: 10.1007/bf02477883
    [24]
    P. Zhu, M. Xiao, X. Huang, F. Zhang, Z. Wang, and J. Cao, “Spatiotemporal dynamics optimization of a delayed reaction-diffusion mussel-algae model based on PD control strategy,” Chaos Solitons Fract., vol. 173, p. 113751, Aug. 2023. doi: 10.1016/j.chaos.2023.113751
    [25]
    A. Gerisch and M. A. J. Chaplain, “Robust numerical methods for taxis–diffusion-reaction systems: Applications to biomedical problems,” Math. Comput. Modell., vol. 43, no. 1−2, pp. 49–75, Jan. 2006. doi: 10.1016/j.mcm.2004.05.016
    [26]
    C. Currò and G. Valenti, “Subcritical Turing patterns in hyperbolic models with cross-diffusion,” Ric. Mat., vol. 71, no. 1, pp. 147–167, Jun. 2022. doi: 10.1007/s11587-021-00574-4
    [27]
    A. Madzvamuse, H. S. Ndakwo, and R. Barreira, “Cross-diffusion-driven instability for reaction-diffusion systems: Analysis and simulations,” J. Math. Biol., vol. 70, no. 4, pp. 709–743, Mar. 2015. doi: 10.1007/s00285-014-0779-6
    [28]
    R. Yang, “Cross-diffusion induced spatiotemporal patterns in Schnakenberg reaction-diffusion model,” Nonlinear Dyn., vol. 110, no. 2, pp. 1753–1766, Oct. 2022. doi: 10.1007/s11071-022-07691-1
    [29]
    R. Metzler and J. Klafter, “The random walk’s guide to anomalous diffusion: A fractional dynamics approach,” Phys. Rep., vol. 339, no. 1, pp. 1–77, Dec. 2000. doi: 10.1016/S0370-1573(00)00070-3
    [30]
    G. Gambino, M. C. Lombardo, M. Sammartino, and V. Sciacca, “Turing pattern formation in the Brusselator system with nonlinear diffusion,” Phys. Rev. E, vol. 88, no. 4, p. 042925, Oct. 2013. doi: 10.1103/PhysRevE.88.042925
    [31]
    Y. Luchko and R. Gorenflo, “Anomalous diffusion modeled by fractional diffusion equations,” J. Appl. Math. Phys., vol. 50, no. 5, pp. 699–712, Oct. 1999.
    [32]
    F. Ge, Y. Chen, and C. Kou, “Cyber-physical systems as general distributed parameter systems: Three types of fractional order models and emerging research opportunities,” IEEE/CAA J. Autom. Sinica, vol. 2, no. 4, pp. 353–357, Oct. 2015. doi: 10.1109/jas.2015.7296529
    [33]
    B. Li and J. Wang, “Anomalous heat conduction and anomalous diffusion in one-dimensional systems,” Phys. Rev. Lett., vol. 91, no. 4, p. 044301, Jul. 2003. doi: 10.1103/PhysRevLett.91.044301
    [34]
    Y. Nec, A. A. Nepomnyashchy, and A. A. Golovin, “Front-type solutions of fractional Allen-Cahn equation,” Phys. D: Nonlinear Phenom., vol. 237, no. 24, pp. 3237–3251, Dec. 2008. doi: 10.1016/j.physd.2008.08.002
    [35]
    F. Feng, J. Yan, F. C. Liu, and Y. F. He, “Pattern formation in superdiffusion Oregonator model,” Chinese Phys. B, vol. 25, no. 10, p. 104702, Oct. 2016. doi: 10.1088/1674-1056/25/10/104702
    [36]
    S. G. Samko, A. A. Kilbas, and O. I. Marichev, Fractional Integrals and Derivatives: Theory and Applications. Philadelphia, PA, USA: Gordon and Breach Science Publishers, 1993.
    [37]
    I. Podlubny, Fractional Differential Equations: An Introduction to Fractional Derivatives, Fractional Differential Equations, to Methods of Their Solution and Some of Their Applications. San Diego, CA, USA: Academic Press, 1999.
    [38]
    H. Min, S. Xu, B. Zhang, Q. Ma, and D. Yuan, “Fixed-time Lyapunov criteria and state-feedback controller design for stochastic nonlinear systems,” IEEE/CAA J. Autom. Sinica, vol. 9, no. 6, pp. 1005–1014, Jun. 2022. doi: 10.1109/JAS.2022.105539
    [39]
    T. Wang, Q. Chen, X. Lang, L. Xie, P. Li, and H. Su, “Detection of oscillations in process control loops from visual image space using deep convolutional networks,” IEEE/CAA J. Autom. Sinica, vol. 11, no. 4, pp. 982–995, Apr. 2024. doi: 10.1109/JAS.2023.124170
    [40]
    K. Zhao, C. Wen, Y. Song, and F. L. Lewis, “Adaptive uniform performance control of strict-feedback nonlinear systems with time-varying control gain,” IEEE/CAA J. Autom. Sinica, vol. 10, no. 2, pp. 451–461, Feb. 2023. doi: 10.1109/JAS.2022.106064
    [41]
    L. Lin, J. Cao, J. Lu, and L. Rutkowski, “Set stabilization of large-scale stochastic Boolean networks: A distributed control strategy,” IEEE/CAA J. Autom. Sinica, vol. 11, no. 3, pp. 806–808, Mar. 2024. doi: 10.1109/JAS.2023.123903
    [42]
    Y. Cui, P. Cheng, and X. Ge, “Exponential synchronization of delayed stochastic complex dynamical networks via hybrid impulsive control,” IEEE/CAA J. Autom. Sinica, vol. 11, no. 3, pp. 785–787, Mar. 2024. doi: 10.1109/JAS.2023.123867
    [43]
    S. B. Chen, S. Soradi-Zeid, H. Jahanshahi, R. Alcaraz, J. F. Gómez-Aguilar, S. Bekiros, and Y. M. Chu, “Optimal control of time-delay fractional equations via a joint application of radial basis functions and collocation method,” Entropy, vol. 22, no. 11, p. 1213, Oct. 2020. doi: 10.3390/e22111213
    [44]
    S. B. Chen, S. Soradi-Zeid, M. Alipour, Y. M. Chu, J. F. Gómez-Aguilar, and H. Jahanshahi, “Optimal control of nonlinear time-delay fractional differential equations with Dickson polynomials,” Fractals, vol. 29, no. 4, p. 2150079, Jun. 2021. doi: 10.1142/S0218348X21500791
    [45]
    R. Dhayal, J. F. Gómez-Aguilar, and G. Fernández-Anaya, “Optimal controls for fractional stochastic differential systems driven by Rosenblatt process with impulses,” Optim. Control Appl. Meth., vol. 43, no. 2, pp. 386–401, Mar.−Apr. 2022. doi: 10.1002/oca.2805
    [46]
    T. Hussain, A. U. Awan, K. A. Abro, M. Ozair, M. Manzoor, J. F. Gómez-Aguilar, and A. M. Galal, “A passive verses active exposure of mathematical smoking model: A role for optimal and dynamical control,” Nonlinear Eng., vol. 11, no. 1, pp. 507–521, Sep. 2022. doi: 10.1515/nleng-2022-0214
    [47]
    F. Koudohode, N. Espitia, and M. Krstic, “Event-triggered boundary control of an unstable reaction diffusion PDE with input delay,” Syst. Control Lett., vol. 186, p. 105775, Apr. 2024. doi: 10.1016/j.sysconle.2024.105775
    [48]
    H. Lhachemi and C. Prieur, “Local output feedback stabilization of a reaction-diffusion equation with saturated actuation,” IEEE Trans. Autom. Control, vol. 68, no. 1, pp. 564–571, Jan. 2023. doi: 10.1109/TAC.2022.3144609
    [49]
    Y. Kao, S. Ma, H. Xia, C. Wang, and Y. Liu, “Integral sliding mode control for a kind of impulsive uncertain reaction-diffusion systems,” IEEE Trans. Autom. Control, vol. 68, no. 2, pp. 1154–1160, Feb. 2023. doi: 10.1109/TAC.2022.3149865
    [50]
    R. Rao and Q. Zhu, “Synchronization for reaction-diffusion switched delayed feedback epidemic systems via impulsive control,” Mathematics, vol. 12, no. 3, p. 447, Jan. 2024. doi: 10.3390/math12030447
    [51]
    Q. Lu, M. Xiao, B. Tao, C. Huang, S. Shi, Z. Wang, and G. Jiang, “Complex dynamic behaviors of a congestion control system under a novel control law: Stability, bifurcation and periodic oscillations,” Chaos Solitons Fract., vol. 126, pp. 242–252, Sep. 2019. doi: 10.1016/j.chaos.2018.09.048
    [52]
    P. Ghosh, “Control of the Hopf-Turing transition by time-delayed global feedback in a reaction-diffusion system,” Phys. Rev. E, vol. 84, no. 1, p. 016222, Jul. 2011. doi: 10.1103/PhysRevE.84.016222
    [53]
    Y. Lu, M. Xiao, J. Liang, J. Ding, Y. Zhou, Y. Wan, and C. Fan, “Hybrid control synthesis for Turing instability and Hopf bifurcation of marine planktonic ecosystems with diffusion,” IEEE Access, vol. 9, pp. 111326–111335, Aug. 2021. doi: 10.1109/ACCESS.2021.3103446
    [54]
    Y. Luan, M. Xiao, Z. Wang, and J. Zhao, “Hybrid control of Turing instability and Hopf bifurcation in CDK1-APC feedback systems with diffusion,” J. Franklin Inst., vol. 360, no. 16, pp. 12170–12197, Nov. 2023. doi: 10.1016/j.jfranklin.2023.09.036
    [55]
    C. Wang, X. Du, M. Xiao, H. Li, and Y. Lu, “Optimization of pattern dynamics of FitzHugh-Nagumo system based on PD control strategy,” in Proc. 36th Chinese Control and Decision Conf., Xi’an, China, 2024, pp. 2775−2780.
    [56]
    V. E. Tarasov, “Review of some promising fractional physical models,” Int. J. Mod. Phys. B, vol. 27, no. 9, p. 1330005, Apr. 2013. doi: 10.1142/S0217979213300053
    [57]
    D. G. Miller, “Some comments on multicomponent diffusion: Negative main term diffusion coefficients, second law constraints, solvent choices, reference frame transformations,” J. Phys. Chem., vol. 90, no. 8, pp. 1509–1519, Apr. 1986. doi: 10.1021/j100399a010

Catalog

    通讯作者: 陈斌, bchen63@163.com
    • 1. 

      沈阳化工大学材料科学与工程学院 沈阳 110142

    1. 本站搜索
    2. 百度学术搜索
    3. 万方数据库搜索
    4. CNKI搜索

    Figures(10)

    Article Metrics

    Article views (1070) PDF downloads(104) Cited by()

    /

    DownLoad:  Full-Size Img  PowerPoint
    Return
    Return