A journal of IEEE and CAA , publishes high-quality papers in English on original theoretical/experimental research and development in all areas of automation
Volume 12 Issue 11
Nov.  2025

IEEE/CAA Journal of Automatica Sinica

  • JCR Impact Factor: 19.2, Top 1 (SCI Q1)
    CiteScore: 28.2, Top 1% (Q1)
    Google Scholar h5-index: 95, TOP 5
Turn off MathJax
Article Contents
J. Yang, Y. Song, J. Tang, W. Ding, Z. Lei, and S. Gao, “Advanced 3D wind farm layout optimization framework via power-law perturbation-based genetic algorithm,” IEEE/CAA J. Autom. Sinica, vol. 12, no. 11, pp. 2314–2328, Nov. 2025. doi: 10.1109/JAS.2025.125351
Citation: J. Yang, Y. Song, J. Tang, W. Ding, Z. Lei, and S. Gao, “Advanced 3D wind farm layout optimization framework via power-law perturbation-based genetic algorithm,” IEEE/CAA J. Autom. Sinica, vol. 12, no. 11, pp. 2314–2328, Nov. 2025. doi: 10.1109/JAS.2025.125351

Advanced 3D Wind Farm Layout Optimization Framework via Power-Law Perturbation-Based Genetic Algorithm

doi: 10.1109/JAS.2025.125351
Funds:  This work was partially supported by the Japan Society for the Promotion of Science (JSPS) KAKENHI (JP23K24899) and Japan Science and Technology Agency (JST) Support for Pioneering Research Initiated by the Next Generation (SPRING) (JPMJSP2145)
More Information
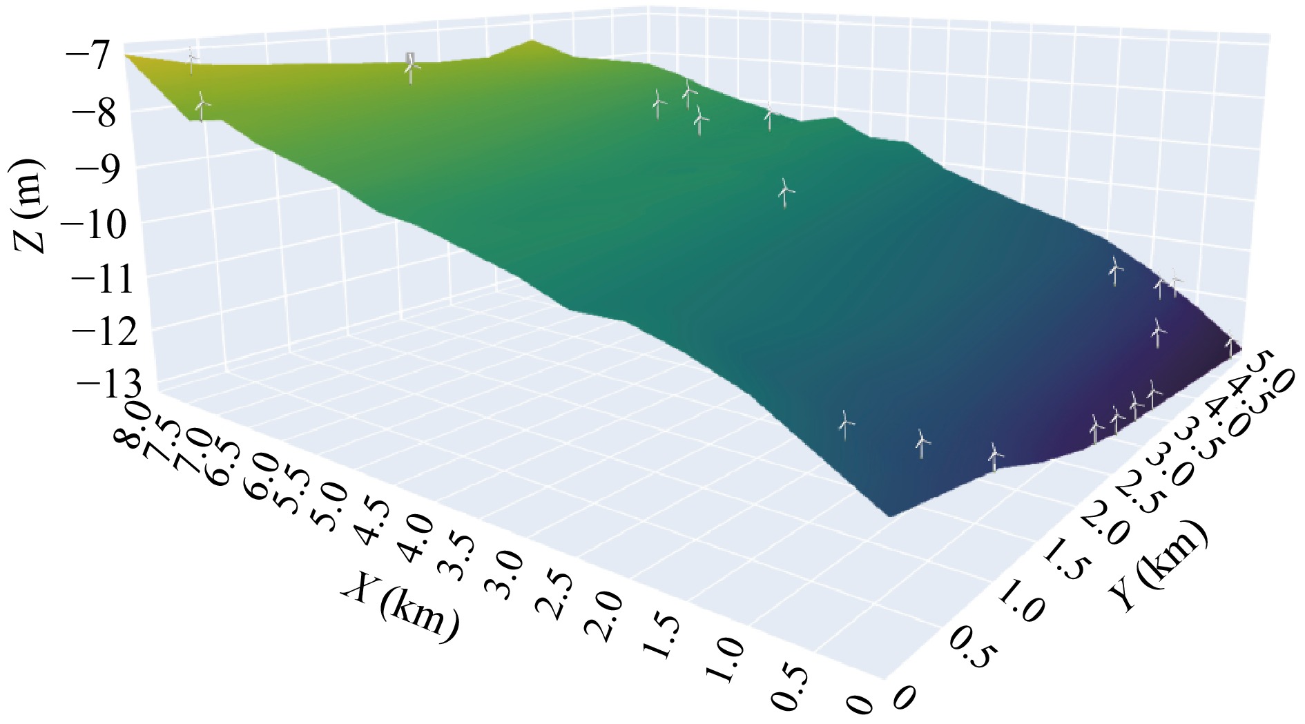
  • The modeling and optimization of wind farm layouts can effectively reduce the wake effect between turbine units, thereby enhancing the expected output power and avoiding negative influence. Traditional wind farm optimization often uses idealized wake models, neglecting the influence of wind shear at different elevations, which leads to a lack of precision in estimating wake effects and fails to meet the accuracy and reliability requirements of practical engineering. To address this, we have constructed a three-dimensional 3D wind farm optimization model that incorporates elevation, utilizing a 3D wake model to better reflect real-world conditions. We aim to assess the optimization state of the algorithm and provide strong incentives at the right moments to ensure continuous evolution of the population. To this end, we propose an evolutionary adaptation degree-guided genetic algorithm based on power-law perturbation (PPGA) to adapt multidimensional conditions. We select the offshore wind power project in Nantong, Jiangsu, China, as a study example and compare PPGA with other well-performing algorithms under this practical project. Based on the actual wind condition data, the experimental results demonstrate that PPGA can effectively tackle this complex problem and achieve the best power efficiency.

     

  • loading
  • Jiaru Yang and Jun Tang contributed equally to this work.
  • [1]
    L. Liu, G. He, M. Wu, G. Liu, H. Zhang, Y. Chen, J. Shen, and S. Li, “Climate change impacts on planned supply-demand match in global wind and solar energy systems,” Nature Energy, vol. 8, no. 8, pp. 870–880, 2023. doi: 10.1038/s41560-023-01304-w
    [2]
    R. Wiser, M. Bolinger, B. Hoen, D. Millstein, J. Rand, G. Barbose, N. Darghouth, W. Gorman, S. Jeong, E. O’Shaughnessy, and Paulos B, “Land-based wind market report: 2023 edition,” Lawrence Berkeley National Laboratory for the Wind Energy Technologies Office of the U.S. Department of Energy’s Office of Energy Efficiency and Renewable Energy, Berkeley, USA, Tech. Rep., 2023. [Online]. Available: https://www.energy.gov/eere/wind/articles/land-based-wind-market-report-2023-edition.
    [3]
    S. Xia, Y. Yang, and Y. Liu, “Potential of China’s offshore wind energy,” Science, vol. 379, no. 6635, pp. 888–888, 2023. doi: 10.1126/science.adh0511
    [4]
    P. Sherman, X. Chen, and M. McElroy, “Offshore wind: An opportunity for cost-competitive decarbonization of China’s energy economy,” Science Advances, vol. 6, no. 8, p. eaax9571, 2020. doi: 10.1126/sciadv.aax9571
    [5]
    M. F. Howland, “Operating wind farm turbines collectively increases total energy production,” Nature Energy, vol. 7, no. 9, pp. 792–793, 2022. doi: 10.1038/s41560-022-01094-7
    [6]
    M. F. Howland, J. B. Quesada, J. J. P. Martínez, F. P. Larrañaga, N. Yadav, J. S. Chawla, V. Sivaram, and J. O. Dabiri, “Collective wind farm operation based on a predictive model increases utility-scale energy production,” Nature Energy, vol. 7, no. 9, pp. 818–827, 2022. doi: 10.1038/s41560-022-01085-8
    [7]
    L. Kitzing, M. K. Jensen, T. Telsnig, and E. Lantz, “Multifaceted drivers for onshore wind energy repowering and their implications for energy transition,” Nature Energy, vol. 5, no. 12, pp. 1012–1021, 2020. doi: 10.1038/s41560-020-00717-1
    [8]
    S. Tao, Q. Xu, A. Feijóo, G. Zheng, and J. Zhou, “Nonuniform wind farm layout optimization: A state-of-the-art review,” Energy, vol. 209, p. 118339, 2020. doi: 10.1016/j.energy.2020.118339
    [9]
    R. Shakoor, M. Y. Hassan, A. Raheem, and Y.-K. Wu, “Wake effect modeling: A review of wind farm layout optimization using Jensen’s model,” Renewable and Sustainable Energy Reviews, vol. 58, pp. 1048–1059, 2016. doi: 10.1016/j.rser.2015.12.229
    [10]
    X. Yu and Y. Lu, “Reinforcement learning-based multi-objective differential evolution for wind farm layout optimization,” Energy, vol. 284, p. 129300, 2023. doi: 10.1016/j.energy.2023.129300
    [11]
    M. Bastankhah and F. Porté-Agel, “A new analytical model for wind-turbine wakes,” Renewable Energy, vol. 70, pp. 116–123, 2014. doi: 10.1016/j.renene.2014.01.002
    [12]
    J. Zhang and X. Zhao, “A novel dynamic wind farm wake model based on deep learning,” Applied Energy, vol. 277, p. 115552, 2020. doi: 10.1016/j.apenergy.2020.115552
    [13]
    Z. Ling, Z. Zhao, Y. Liu, H. Liu, Y. Liu, Y. Ma, T. Wang, and D. Wang, “A three-dimensional wake model for wind turbines based on a polynomial distribution of wake velocity,” Ocean Engineering, vol. 282, p. 115064, 2023. doi: 10.1016/j.oceaneng.2023.115064
    [14]
    R. Miikkulainen and S. Forrest, “A biological perspective on evolutionary computation,” Nature Machine Intelligence, vol. 3, no. 1, pp. 9–15, 2021. doi: 10.1038/s42256-020-00278-8
    [15]
    J. Tang, G. Liu, and Q. Pan, “A review on representative swarm intelligence algorithms for solving optimization problems: Applications and trends,” IEEE/CAA J. Autom. Sinica, vol. 8, no. 10, pp. 1627–1643, 2021. doi: 10.1109/JAS.2021.1004129
    [16]
    G. Mosetti, C. Poloni, and B. Diviacco, “Optimization of wind turbine positioning in large windfarms by means of a genetic algorithm,” J. Wind Engineering and Industrial Aerodynamics, vol. 51, no. 1, pp. 105–116, 1994. doi: 10.1016/0167-6105(94)90080-9
    [17]
    X. Gao, H. Yang, and L. Lu, “Optimization of wind turbine layout position in a wind farm using a newly-developed two-dimensional wake model,” Applied Energy, vol. 174, pp. 192–200, 2016. doi: 10.1016/j.apenergy.2016.04.098
    [18]
    A. M. Abdelsalam and M. El-Shorbagy, “Optimization of wind turbines siting in a wind farm using genetic algorithm based local search,” Renewable Energy, vol. 123, pp. 748–755, 2018. doi: 10.1016/j.renene.2018.02.083
    [19]
    Y. Wang, H. Liu, H. Long, Z. Zhang, and S. Yang, “Differential evolution with a new encoding mechanism for optimizing wind farm layout,” IEEE Trans. Industrial Informatics, vol. 14, no. 3, pp. 1040–1054, 2017.
    [20]
    Z. Lei, S. Gao, Z. Zhang, H. Yang, and H. Li, “A chaotic local search-based particle swarm optimizer for large-scale complex wind farm layout optimization,” IEEE/CAA J. Autom. Sinica, vol. 10, no. 5, pp. 1168–1180, 2023. doi: 10.1109/JAS.2023.123387
    [21]
    Y. Wang, S. Gao, M. Zhou, and Y. Yu, “A multi-layered gravitational search algorithm for function optimization and real-world problems,” IEEE/CAA J. Autom. Sinica, vol. 8, no. 1, pp. 94–109, 2020.
    [22]
    N. Kirchner-Bossi and F. Porté-Agel, “Wind farm power density optimization according to the area size using a novel self-adaptive genetic algorithm,” Renewable Energy, vol. 220, p. 119524, 2024. doi: 10.1016/j.renene.2023.119524
    [23]
    P. Holme, “Rare and everywhere: Perspectives on scale-free networks,” Nature Communications, vol. 10, no. 1, p. 1016, 2019. doi: 10.1038/s41467-019-09038-8
    [24]
    L. Huang, H. Tang, K. Zhang, Y. Fu, and Y. Liu, “3-D layout optimization of wind turbines considering fatigue distribution,” IEEE Trans. Sustainable Energy, vol. 11, no. 1, pp. 126–135, 2020. doi: 10.1109/TSTE.2018.2885946
    [25]
    S. Tao, Q. Xu, A. Feijóo, G. Zheng, and J. Zhou, “Wind farm layout optimization with a three-dimensional Gaussian wake model,” Renewable Energy, vol. 159, pp. 553–569, 2020. doi: 10.1016/j.renene.2020.06.003
    [26]
    W. Hu, Q. Yang, Z. Yuan, and F. Yang, “Wind farm layout optimization in complex terrain based on CFD and IGA-PSO,” Energy, vol. 288, p. 129745, 2024. doi: 10.1016/j.energy.2023.129745
    [27]
    S. Tao, S. Kuenzel, Q. Xu, and Z. Chen, “Optimal micro-siting of wind turbines in an offshore wind farm using Frandsen-Gaussian wake model,” IEEE Trans. Power Systems, vol. 34, no. 6, pp. 4944–4954, 2019. doi: 10.1109/TPWRS.2019.2916906
    [28]
    H. Sun and H. Yang, “Study on an innovative three-dimensional wind turbine wake model,” Applied Energy, vol. 226, pp. 483–493, 2018. doi: 10.1016/j.apenergy.2018.06.027
    [29]
    H. Kim, C. Singh, and A. Sprintson, “Simulation and estimation of reliability in a wind farm considering the wake effect,” IEEE Trans. Sustainable Energy, vol. 3, no. 2, pp. 274–282, 2012. doi: 10.1109/TSTE.2011.2174260
    [30]
    H. Sun and H. Yang, “Wind farm layout and hub height optimization with a novel wake model,” Applied Energy, vol. 348, p. 121554, 2023. doi: 10.1016/j.apenergy.2023.121554
    [31]
    S. Gupta, S. Singh, R. Su, S. Gao, and J. C. Bansal, “Multiple elite individual guided piecewise search-based differential evolution,” IEEE/CAA J. Autom. Sinica, vol. 10, no. 1, pp. 135–158, 2023. doi: 10.1109/JAS.2023.123018
    [32]
    B. Zhou, X. Meng, and H. E. Stanley, “Power-law distribution of degree-degree distance: A better representation of the scale-free property of complex networks,” Proc. the National Academy of Sciences, vol. 117, no. 26, pp. 14812–14818, 2020. doi: 10.1073/pnas.1918901117
    [33]
    S. Qi, R. Wang, T. Zhang, W. Huang, F. Yu, and L. Wang, “Enhancing evolutionary algorithms with pattern mining for sparse large-scale multi-objective optimization problems,” IEEE/CAA J. Autom. Sinica, vol. 11, no. 8, pp. 1786–1801, 2024. doi: 10.1109/JAS.2024.124548
    [34]
    Z. Ling, Z. Zhao, Y. Liu, H. Liu, K. Ali, Y. Liu, Y. Wen, D. Wang, S. Li, and C. Su, “Multi-objective layout optimization for wind farms based on non-uniformly distributed turbulence and a new three-dimensional multiple wake model,” Renewable Energy, vol. 227, p. 120558, 2024. doi: 10.1016/j.renene.2024.120558
    [35]
    X. Ju, F. Liu, L. Wang, and W.-J. Lee, “Wind farm layout optimization based on support vector regression guided genetic algorithm with consideration of participation among landowners,” Energy Conversion and Management, vol. 196, pp. 1267–1281, 2019. doi: 10.1016/j.enconman.2019.06.082
    [36]
    X. Ju and F. Liu, “Wind farm layout optimization using self-informed genetic algorithm with information guided exploitation,” Applied Energy, vol. 248, pp. 429–445, 2019. doi: 10.1016/j.apenergy.2019.04.084
    [37]
    R. Tanabe and A. Fukunaga, “Success-history based parameter adaptation for differential evolution,” in Proc. IEEE Congress Evolutionary Computation. IEEE, 2013, pp. 71–78.
    [38]
    I. Ahmadianfar, A. A. Heidari, S. Noshadian, H. Chen, and A. H. Gandomi, “INFO: An efficient optimization algorithm based on weighted mean of vectors,” Expert Systems With Applications, vol. 195, p. 116516, 2022. doi: 10.1016/j.eswa.2022.116516
    [39]
    J.-S. Chou and N.-M. Nguyen, “FBI inspired meta-optimization,” Applied Soft Computing, vol. 93, p. 106339, 2020. doi: 10.1016/j.asoc.2020.106339
    [40]
    F. A. Hashim, R. R. Mostafa, A. G. Hussien, S. Mirjalili, and K. M. Sallam, “Fick’s law algorithm: A physical law-based algorithm for numerical optimization,” Knowledge-Based Systems, vol. 260, p. 110146, 2023. doi: 10.1016/j.knosys.2022.110146
    [41]
    R. Storn and K. Price, “Differential evolution–a simple and efficient heuristic for global optimization over continuous spaces,” J. Global Optimization, vol. 11, pp. 341–359, 1997. doi: 10.1023/A:1008202821328
    [42]
    J. Kennedy and R. Eberhart, “Particle swarm optimization,” in Proc. ICNN’95—Int. Conf. Neural Networks, vol. 4, 1995, pp. 1942–1948.
    [43]
    P. Hou, W. Hu, M. Soltani, and Z. Chen, “Optimized placement of wind turbines in large-scale offshore wind farm using particle swarm optimization algorithm,” IEEE Trans. Sustainable Energy, vol. 6, no. 4, pp. 1272–1282, 2015. doi: 10.1109/TSTE.2015.2429912
    [44]
    J. Yang, K. Wang, Y. Wang, J. Wang, Z. Lei, and S. Gao, “Dynamic population structures-based differential evolution algorithm,” IEEE Trans. Emerging Topics in Computational Intelligence, vol. 8, no. 3, pp. 2493–2505, 2024.
    [45]
    E. Q. Wu, P.-Y. Deng, X.-Y. Qiu, Z. Tang, W.-M. Zhang, L.-M. Zhu, H. Ren, G.-R. Zhou, and R. S. F. Sheng, “Detecting fatigue status of pilots based on deep learning network using EEG signals,” IEEE Trans. Cognitive and Developmental Systems, vol. 13, no. 3, pp. 575–585, 2021. doi: 10.1109/TCDS.2019.2963476
    [46]
    E. Q. Wu, D. Hu, P.-Y. Deng, Z. Tang, Y. Cao, W.-M. Zhang, L.-M. Zhu, and H. Ren, “Nonparametric Bayesian prior inducing deep network for automatic detection of cognitive status,” IEEE Trans. Cybernetics, vol. 51, no. 11, pp. 5483–5496, 2021. doi: 10.1109/TCYB.2020.2977267
    [47]
    E. Q. Wu, C.-T. Lin, L.-M. Zhu, Z. R. Tang, Y.-W. Jie, and G.-R. Zhou, “Fatigue detection of pilots’ brain through brains cognitive map and multilayer latent incremental learning model,” IEEE Trans. Cybernetics, vol. 52, no. 11, pp. 12302–12314, 2022. doi: 10.1109/TCYB.2021.3068300
    [48]
    T. Zuo, Y. Zhang, X. Xie, K. Meng, Z. Tong, Z. Y. Dong, and Y. Jia, “A review of optimization technologies for large-scale wind farm planning with practical and prospective concerns,” IEEE Trans. Industrial Informatics, vol. 19, no. 7, pp. 7862–7875, 2023. doi: 10.1109/TII.2022.3217282

Catalog

    通讯作者: 陈斌, bchen63@163.com
    • 1. 

      沈阳化工大学材料科学与工程学院 沈阳 110142

    1. 本站搜索
    2. 百度学术搜索
    3. 万方数据库搜索
    4. CNKI搜索

    Figures(10)  / Tables(9)

    Article Metrics

    Article views (30) PDF downloads(3) Cited by()

    /

    DownLoad:  Full-Size Img  PowerPoint
    Return
    Return