A journal of IEEE and CAA , publishes high-quality papers in English on original theoretical/experimental research and development in all areas of automation
Volume 12 Issue 11
Nov.  2025

IEEE/CAA Journal of Automatica Sinica

  • JCR Impact Factor: 19.2, Top 1 (SCI Q1)
    CiteScore: 28.2, Top 1% (Q1)
    Google Scholar h5-index: 95, TOP 5
Turn off MathJax
Article Contents
J. Wu, L. Xing, and Z. Wu, “A novel adaptive dynamic average consensus algorithm with application to DC microgrids,” IEEE/CAA J. Autom. Sinica, vol. 12, no. 11, pp. 2342–2352, Nov. 2025. doi: 10.1109/JAS.2025.125387
Citation: J. Wu, L. Xing, and Z. Wu, “A novel adaptive dynamic average consensus algorithm with application to DC microgrids,” IEEE/CAA J. Autom. Sinica, vol. 12, no. 11, pp. 2342–2352, Nov. 2025. doi: 10.1109/JAS.2025.125387

A Novel Adaptive Dynamic Average Consensus Algorithm With Application to DC Microgrids

doi: 10.1109/JAS.2025.125387
Funds:  This work was supported in part by the National Natural Science Foundation of China (20221017-10, 62573258, 62188101) and the National Natural Science Foundation of Shandong Province (ZR2024JQ018, ZR2022MF227)
More Information
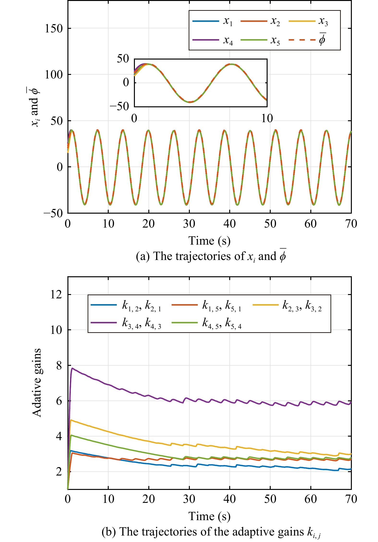
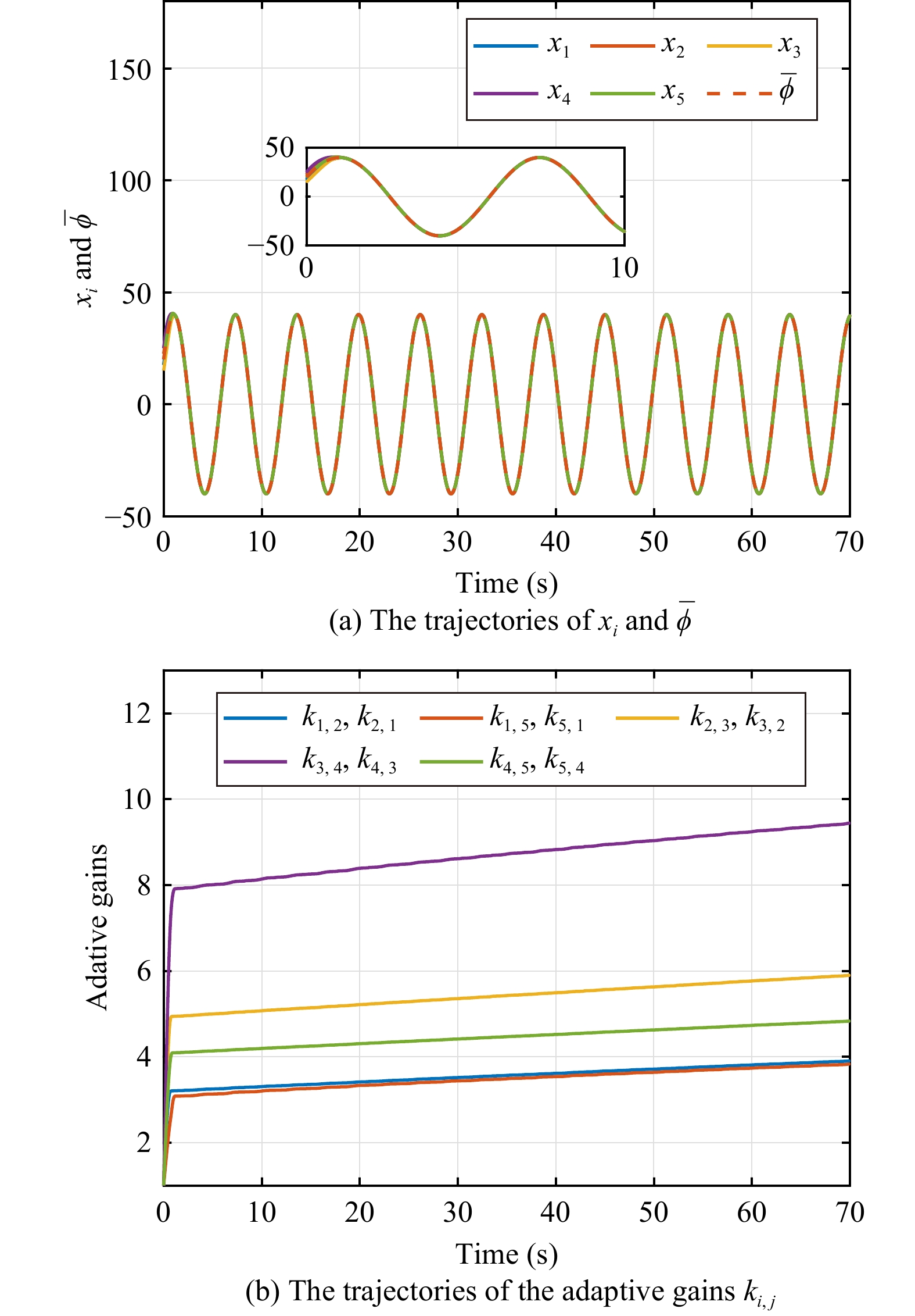
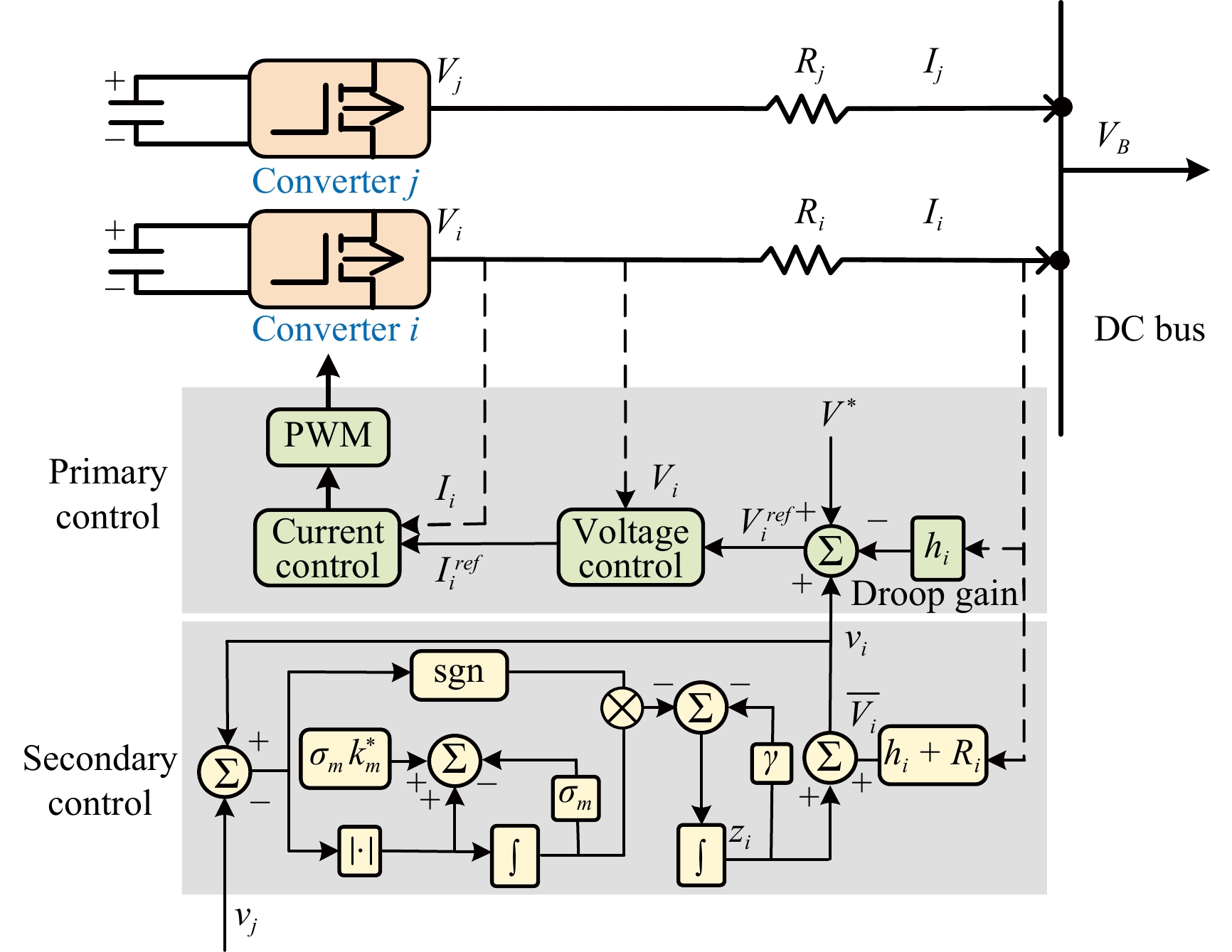
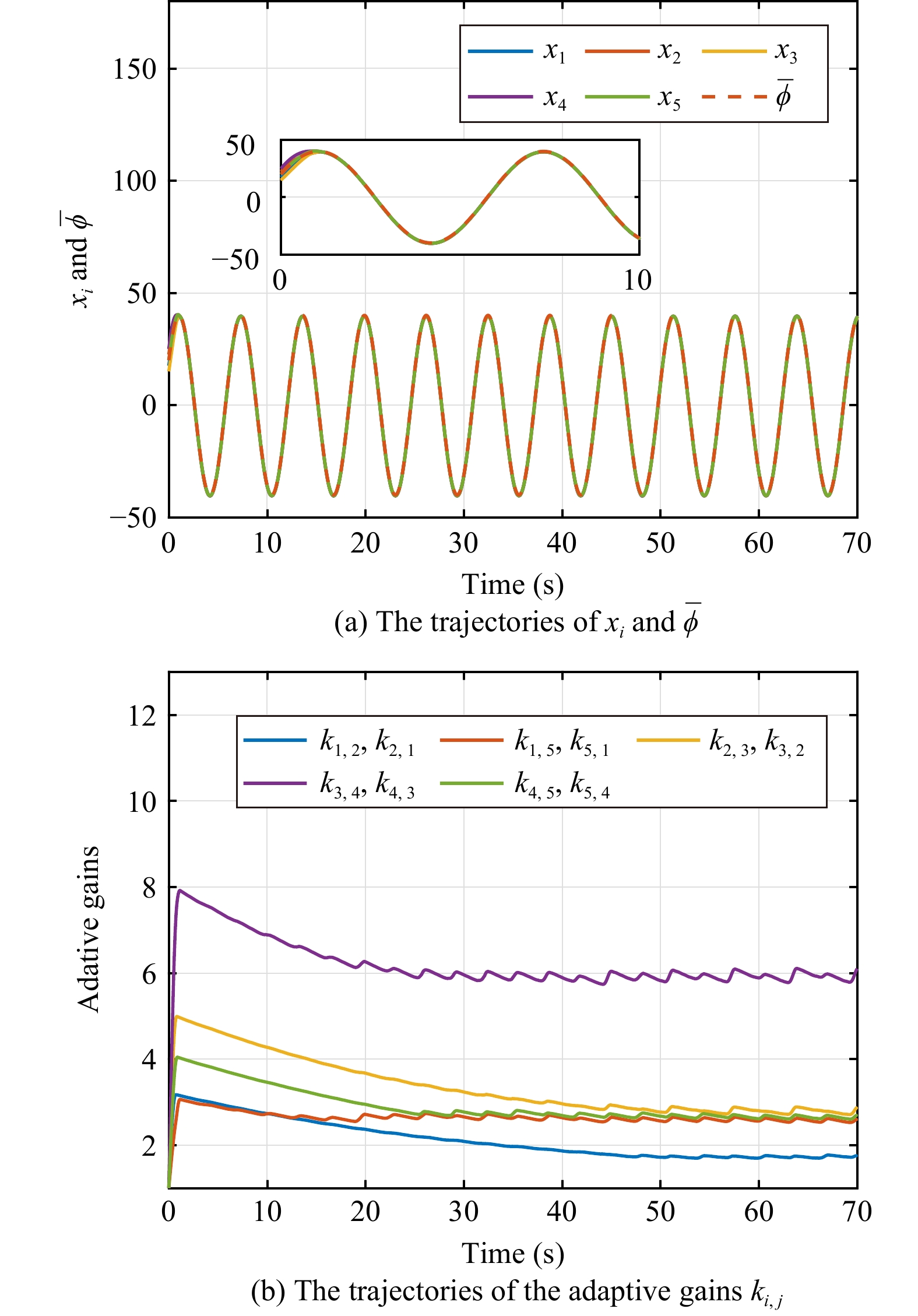
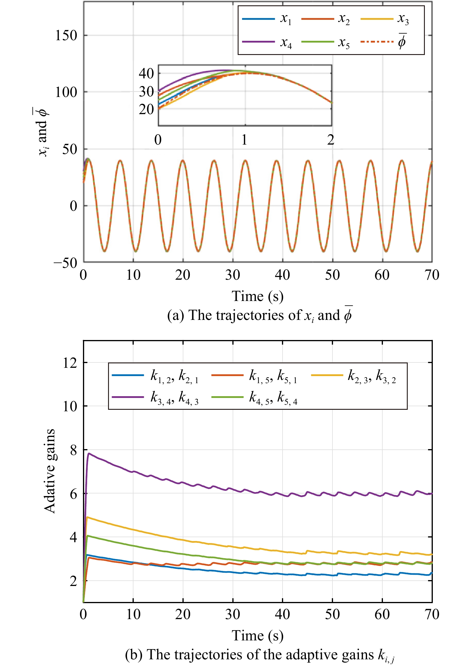
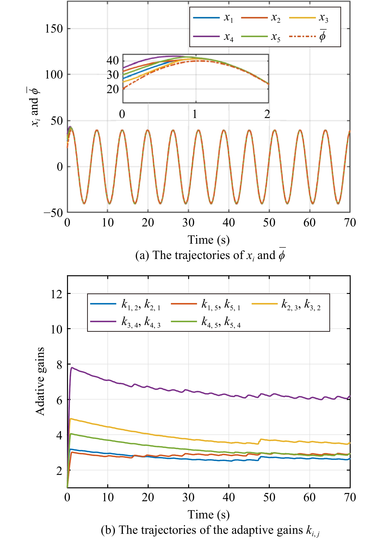
  • The dynamic average consensus (DAC) algorithm is to enable a group of networked agents to track the average of their time-varying reference signals. For most existing DAC algorithms, a necessary assumption is that the upper bounds of the reference signals and their derivatives are known in advance, thereby posing significant challenges in practical scenarios. Introducing adaptive gains in DAC algorithms provides a remedy by relaxing this assumption. However, the current adaptive gains used in this type of DAC algorithms are non-decreasing and may increase to infinity if persist disturbance exists. In order to overcome this defect, this paper presents a novel DAC algorithm with modified adaptive gains. This approach obviates the necessity for prior knowledge concerning the upper bounds of the reference signals and their derivatives. Moreover, the adaptive gains are able to remain bounded even in the presence of external disturbances. Furthermore, the proposed adaptive DAC algorithm is employed to address the distributed secondary control problem of DC microgrids. Comparative case studies are provided to verify the superiority of the proposed DAC algorithm.

     

  • loading
  • [1]
    J. K. Verma and V. Ranga, “Multi-robot coordination analysis, taxonomy, challenges and future scope,” J. Intell. Robot. Syst., vol. 102, pp. 1–36, Mar. 2021. doi: 10.1007/s10846-021-01346-w
    [2]
    D. Yue, S. Baldi, J. Cao, Q. Li, and B. De Schutter, “Distributed adaptive resource allocation: An uncertain saddle-point dynamics viewpoint,” IEEE/CAA J. Autom. Sinica, vol. 10, no. 12, pp. 2209–2221, Dec. 2023. doi: 10.1109/JAS.2023.123402
    [3]
    J. Cortés, “Distributed kriged Kalman filter for spatial estimation,” IEEE Trans. Autom. Control, vol. 54, no. 12, pp. 2816–2827, Nov. 2009. doi: 10.1109/TAC.2009.2034192
    [4]
    W. Liu, F. Deng, J. Liang, and H. Liu, “Distributed average consensus in multi-agent networks with limited bandwidth and time-delays,” IEEE/CAA J. Autom. Sinica, vol. 1, no. 2, pp. 193–203, Apr. 2014. doi: 10.1109/JAS.2014.7004550
    [5]
    J. Yan, X. Li, Y. Mo, and C. Wen, “Resilient multi-dimensional consensus in adversarial environment,” Automatica, vol. 145, p. 110530, Nov. 2022. doi: 10.1016/j.automatica.2022.110530
    [6]
    J. A. Gallegos, C. Schlotterbeck, and F. Núñez, “Robust adaptive average consensus over a time-varying and non-balanced environment,” IEEE Trans. Autom. Control, vol. 69, p. 8, Aug. 2024.
    [7]
    S. S. Kia, B. Van Scoy, J. Cortes, R. A. Freeman, K. M. Lynch, and S. Martinez, “Tutorial on dynamic average consensus: The problem, its applications, and the algorithms,” IEEE Control Systs. Mag., vol. 39, no. 3, pp. 40–72, May 2019. doi: 10.1109/MCS.2019.2900783
    [8]
    K.-K. Oh, M.-C. Park, and H.-S. Ahn, “A survey of multi-agent formation control,” Automatica, vol. 53, pp. 424–440, Mar. 2015. doi: 10.1016/j.automatica.2014.10.022
    [9]
    M. M. Rana, L. Li, S. W. Su, and W. Xiang, “Consensus-based smart grid state estimation algorithm,” IEEE Trans. Ind. Inform., vol. 14, no. 8, pp. 3368–3375, Dec. 2017.
    [10]
    W. Chen and G.-P. Liu, “Privacy-preserving consensus-based distributed economic dispatch of smart grids via state decomposition,” IEEE/CAA J. Autom. Sinica, vol. 11, no. 5, pp. 1250–1261, May 2024. doi: 10.1109/JAS.2023.124122
    [11]
    D. P. Spanos, R. Olfati-Saber, and R. M. Murray, “Dynamic consensus on mobile networks,” in Proc. IFAC World Congress, 2005, pp. 1–6.
    [12]
    S. S. Kia, J. Cortés, and S. Martínez, “Distributed event-triggered communication for dynamic average consensus in networked systems,” Automatica, vol. 59, pp. 112–119, Sep. 2015. doi: 10.1016/j.automatica.2015.06.011
    [13]
    Y. Zhao, Y. Liu, Z. Li, and Z. Duan, “Distributed average tracking for multiple signals generated by linear dynamical systems: An edge-based framework,” Automatica, vol. 75, pp. 158–166, Jan. 2017. doi: 10.1016/j.automatica.2016.09.005
    [14]
    Y.-F. Chung and S. S. Kia, “Dynamic active average consensus,” IEEE Control Syst. Lett., vol. 5, no. 4, pp. 1177–1182, Aug. 2020.
    [15]
    K. Zhang, Z. Li, Y. Wang, A. Louati, and J. Chen, “Privacy-preserving dynamic average consensus via state decomposition: Case study on multi-robot formation control,” Automatica, vol. 139, p. 110182, May 2022. doi: 10.1016/j.automatica.2022.110182
    [16]
    R. A. Freeman, P. Yang, and K. M. Lynch, “Stability and convergence properties of dynamic average consensus estimators,” in Proc. 45th IEEE Conf. Decis. Control, Dec. 2006, pp. 338–343.
    [17]
    E. Montijano, J. I. Montijano, C. Sagüés, and S. Martínez, “Robust discrete time dynamic average consensus,” Automatica, vol. 50, no. 12, pp. 3131–3138, Dec. 2014. doi: 10.1016/j.automatica.2014.10.005
    [18]
    C. J. Stamouli, C. P. Bechlioulis, and K. J. Kyriakopoulos, “Robust dynamic average consensus with prescribed transient and steady state performance,” Automatica, vol. 144, p. 110503, Oct. 2022. doi: 10.1016/j.automatica.2022.110503
    [19]
    K. Xu, L. Gao, F. Chen, C. Li, and Q. Xuan, “Robust finite-time dynamic average consensus with exponential convergence rates,” IEEE Trans. Circuits Syst. II Express Briefs, vol. 68, no. 7, pp. 2578–2582, Jan. 2021.
    [20]
    J. George and R. A. Freeman, “Robust dynamic average consensus algorithms,” IEEE Trans. Autom. Control, vol. 64, no. 11, pp. 4615–4622, Feb. 2019. doi: 10.1109/TAC.2019.2901819
    [21]
    C. Rohrs, L. Valavani, M. Athans, and G. Stein, “Robustness of continuous-time adaptive control algorithms in the presence of unmodeled dynamics,” IEEE Trans. Autom. Control, vol. 30, no. 9, pp. 881–889, Jan. 1985.
    [22]
    X. Yi and T. Xu, “Distributed event-triggered estimation for dynamic average consensus: A perturbation-injected privacy-preservation scheme,” Inf. Fusion, vol. 108, p. 102396, Aug. 2024. doi: 10.1016/j.inffus.2024.102396
    [23]
    Q.-F. Yuan, Y.-W. Wang, X.-K. Liu, and Y. Lei, “Distributed fixed-time secondary control for DC microgrid via dynamic average consensus,” IEEE Trans. Sustain. Energy, vol. 12, no. 4, pp. 2008–2018, Apr. 2021. doi: 10.1109/TSTE.2021.3076483
    [24]
    W. Xu, W. He, D. W. Ho, and J. Kurths, “Fully distributed observer-based consensus protocol: Adaptive dynamic event-triggered schemes,” Automatica, vol. 139, p. 110188, May 2022. doi: 10.1016/j.automatica.2022.110188
    [25]
    W. He, B. Xu, Q.-L. Han, and F. Qian, “Adaptive consensus control of linear multiagent systems with dynamic event-triggered strategies,” IEEE Trans. Cybern., vol. 50, no. 7, pp. 2996–3008, Jul. 2020. doi: 10.1109/TCYB.2019.2920093
    [26]
    L. Xing, Y. Mishra, F. Guo, P. Lin, Y. Yang, G. Ledwich, and Y.-C. Tian, “Distributed secondary control for current sharing and voltage restoration in DC microgrid,” IEEE Trans. Smart Grid, vol. 11, no. 3, pp. 2487–2497, May 2020. doi: 10.1109/TSG.2019.2956515
    [27]
    L. Xing, Y. Qi, X.-K. Liu, C. Wen, M. Liu, and Y.-C. Tian, “Discrete-time distributed secondary control for dc microgrids via virtual voltage drop averaging,” IEEE Trans. Sustain. Energy, vol. 14, no. 1, pp. 272–282, Jan. 2023. doi: 10.1109/TSTE.2022.3210223
    [28]
    L. Xing, J. Cai, X. Liu, J. Fang, and Y.-C. Tian, “Distributed secondary control of dc microgrid via the averaging of virtual current derivatives,” IEEE Trans. Ind. Inform., vol. 71, no. 3, pp. 2914–2923, Mar. 2024.
    [29]
    P. A. Ioannou and P. V. Kokotovic, Adaptive Systems With Reduced Models. Berlin, Germany: Springer, 1983.
    [30]
    I. Gutman and W. Xiao, “Generalized inverse of the laplacian matrix and some applications,” Bulletin (Académie serbe des sciences et des arts. Classe des sciences mathématiques et naturelles. Sciences mathématiques), vol. 129, no. 30, pp. 15–23, Mar. 2004. doi: 10.2298/BM200415G
    [31]
    L. Gao, H. Lu, J. Wang, X. Yu, P. Jiang, F. Chen, and H. Li, “Robust distributed average tracking with disturbance observer control,” IEEE Trans. Autom. Sci. Eng., vol. 22, pp. 970–983, Feb. 2024.
    [32]
    J. Mei, “Distributed consensus for multiple lagrangian systems with parametric uncertainties and external disturbances under directed graphs,” IEEE Trans. Control Netw. Syst., vol. 7, no. 2, pp. 648–659, Aug. 2020. doi: 10.1109/TCNS.2019.2937202
    [33]
    F. Chen, Y. Cao, and W. Ren, “Distributed average tracking of multiple time-varying reference signals with bounded derivatives,” IEEE Trans. Autom. Control, vol. 57, no. 12, pp. 3169–3174, Dec. 2012. doi: 10.1109/TAC.2012.2199176

Catalog

    通讯作者: 陈斌, bchen63@163.com
    • 1. 

      沈阳化工大学材料科学与工程学院 沈阳 110142

    1. 本站搜索
    2. 百度学术搜索
    3. 万方数据库搜索
    4. CNKI搜索

    Figures(9)  / Tables(1)

    Article Metrics

    Article views (15) PDF downloads(1) Cited by()

    /

    DownLoad:  Full-Size Img  PowerPoint
    Return
    Return