A journal of IEEE and CAA , publishes high-quality papers in English on original theoretical/experimental research and development in all areas of automation
Volume 12 Issue 9
Sep.  2025

IEEE/CAA Journal of Automatica Sinica

  • JCR Impact Factor: 19.2, Top 1 (SCI Q1)
    CiteScore: 28.2, Top 1% (Q1)
    Google Scholar h5-index: 95, TOP 5
Turn off MathJax
Article Contents
R. Chen, D. Zhou, and L. Sheng, “Adaptive fault-tolerant control for unknown affine nonlinear systems based on self-organizing RBF neural network,” IEEE/CAA J. Autom. Sinica, vol. 12, no. 9, pp. 1788–1800, Sept. 2025. doi: 10.1109/JAS.2025.125441
Citation: R. Chen, D. Zhou, and L. Sheng, “Adaptive fault-tolerant control for unknown affine nonlinear systems based on self-organizing RBF neural network,” IEEE/CAA J. Autom. Sinica, vol. 12, no. 9, pp. 1788–1800, Sept. 2025. doi: 10.1109/JAS.2025.125441

Adaptive Fault-Tolerant Control for Unknown Affine Nonlinear Systems Based on Self-Organizing RBF Neural Network

doi: 10.1109/JAS.2025.125441
Funds:  This work was supported in part by the National Natural Science Foundation of China (62033008, 62188101, 62173343, 62073339), the Natural Science Foundation of Shandong Province of China (ZR2024MF072, ZR2022ZD34), and the Research Fund for the Taishan Scholar Project of Shandong Province of China
More Information
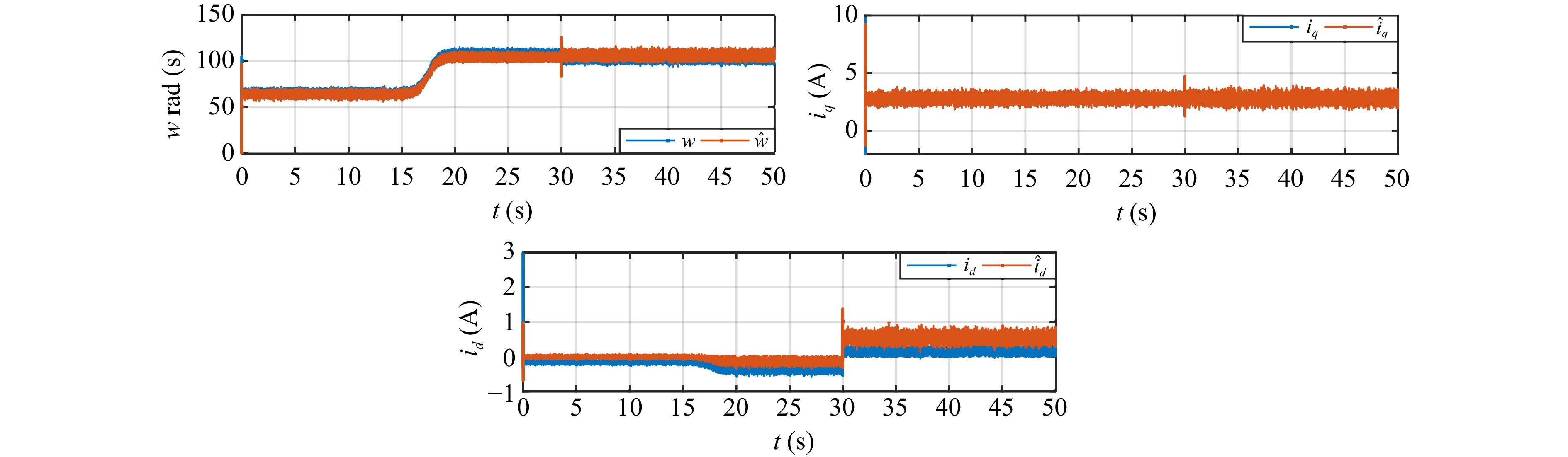
  • This article presents an adaptive fault-tolerant tracking control strategy for unknown affine nonlinear systems subject to actuator faults and external disturbances. To address the hyperparameter initialization challenges inherent in conventional neural network training, an improved self-organizing radial basis function neural network (SRBFNN) with an input-dependent variable structure is developed. Furthermore, a novel self-organizing RBFNN-based observer is introduced to estimate system states across all dimensions. Leveraging the reconstructed states, the proposed adaptive controller effectively compensates for all uncertainties, including estimation errors in the observer, ensuring accurate state tracking with reduced control effort. The uniform ultimate boundedness of all closed-loop signals and tracking errors is rigorously established via Lyapunov stability analysis. Finally, simulations on two different nonlinear systems comprehensively validate the effectiveness and superiority of the proposed control approach.

     

  • loading
  • [1]
    S. Yin, B. Xiao, S. X. Ding, and D. Zhou, “A review on recent development of spacecraft attitude fault tolerant control system,” IEEE Trans. Industrial Electronics, vol. 63, no. 5, pp. 3311–3320, 2016. doi: 10.1109/TIE.2016.2530789
    [2]
    Z. Hao, X. Yue, H. Wen, and C. Liu, “Full-state-constrained non-certainty-equivalent adaptive control for satellite swarm subject to input fault,” IEEE/CAA J. Autom. Sinica, vol. 9, no. 3, pp. 482–495, 2022. doi: 10.1109/JAS.2021.1004216
    [3]
    X. Shao, Q. Hu, Y. Shi, and Y. Zhang, “Fault-tolerant control for full-state error constrained attitude tracking of uncertain spacecraft,” Automatica, vol. 151, p. 110907, 2023. doi: 10.1016/j.automatica.2023.110907
    [4]
    M. Gao, W. Cheng, Y. Wei, L. Sheng, and D. Zhou, “Adaptive fixed-time fault-tolerant tracking control for rotary steerable drilling tool systems,” Control Engineering Practice, vol. 150, p. 106004, 2024. doi: 10.1016/j.conengprac.2024.106004
    [5]
    X. Liu, M. Chen, D. Zhou, and L. Sheng, “Fault-tolerant control of stochastic high-order fully actuated systems,” IEEE Trans. Cybernetics, vol. 54, no. 5, pp. 3225–3238, 2023.
    [6]
    Y. Liu and L. Li, “Adaptive leader-follower consensus control of multiple flexible manipulators with actuator failures and parameter uncertainties,” IEEE/CAA J. Autom. Sinica, vol. 10, no. 4, pp. 1020–1031, 2023. doi: 10.1109/JAS.2023.123093
    [7]
    J. Zhang, J. Ding, and T. Chai, “Fault-tolerant prescribed performance control of wheeled mobile robots: A mixed-gain adaption approach,” IEEE Trans. Autom. Control, vol. 69, no. 8, pp. 5500–5507, 2024. doi: 10.1109/TAC.2024.3365726
    [8]
    Y. Zhang and J. Jiang, “Bibliographical review on reconfigurable fault-tolerant control systems,” Annual Reviews in Control, vol. 32, no. 2, pp. 229–252, 2008. doi: 10.1016/j.arcontrol.2008.03.008
    [9]
    D. Zhou and S. X. Ding, “Theory and applications of fault-tolerant control,” Acta Autom. Sinica, vol. 26, no. 6, pp. 788–797, 2000.
    [10]
    P. Du, W. Zhong, X. Peng, L. Li, and Z. Li, “Data-driven fault compensation tracking control for coupled wastewater treatment process,” IEEE/CAA J. Autom. Sinica, vol. 10, no. 1, pp. 294–297, 2023. doi: 10.1109/JAS.2023.123054
    [11]
    D. Zhao and M. M. Polycarpou, “Fault accommodation for a class of nonlinear uncertain systems with event-triggered input,” IEEE/CAA J. Autom. Sinica, vol. 9, no. 2, pp. 235–245, 2022. doi: 10.1109/JAS.2021.1004314
    [12]
    F. Jia, F. Cao, and X. He, “Adaptive fault-tolerant tracking control for uncertain nonlinear systems with unknown control directions and limited resolution,” IEEE Trans. Systems, Man, and Cybernetics: Systems, vol. 53, no. 3, pp. 1813–1825, 2023. doi: 10.1109/TSMC.2022.3207903
    [13]
    H. Wang, W. Bai, and P. X. Liu, “Finite-time adaptive fault-tolerant control for nonlinear systems with multiple faults,” IEEE/CAA J. Autom. Sinica, vol. 6, no. 6, pp. 1417–1427, 2019. doi: 10.1109/JAS.2019.1911765
    [14]
    Y. Xu, Z. Zhao, and S. Yin, “Performance optimization and fault-tolerance of highly dynamic systems via Q-learning with an incrementally attached controller gain system,” IEEE Trans. Neural Networks and Learning Systems, vol. 34, no. 11, pp. 9128–9138, 2022.
    [15]
    G. Hu, J. Guo, J. Cieslak, Y. Ding, Z. Guo, and D. Henry, “Fault-tolerant control based on adaptive dynamic programming for reentry vehicles subjected to state-dependent actuator fault,” Engineering Applications of Artificial Intelligence, vol. 123, p. 106450, 2023. doi: 10.1016/j.engappai.2023.106450
    [16]
    S. Liang, B. Xu, and Y. Zhang, “Robust self-learning fault-tolerant control for hypersonic flight vehicle based on ADHDP,” IEEE Trans. Systems, Man, and Cybernetics: Systems, vol. 53, no. 9, pp. 5295–5306, 2023. doi: 10.1109/TSMC.2023.3264552
    [17]
    B. Chen, M. Lee, T. Lin, and W. Zhang, “Robust state/fault estimation and fault-tolerant control in discrete-time T-S fuzzy systems: An embedded smoothing signal model approach,” IEEE Trans. Cybernetics, vol. 52, no. 7, pp. 6886–6900, 2022. doi: 10.1109/TCYB.2020.3042984
    [18]
    L. Qin, X. He, R. Yan, and D. Zhou, “Active fault-tolerant control for a quadrotor with sensor faults,” J. Intelligent and Robotic Systems, vol. 88, no. 2, pp. 449–467, 2017.
    [19]
    X. Wang and C. P. Tan, “Output feedback active fault tolerant control for a 3-DOF laboratory helicopter with sensor fault,” IEEE Trans. Autom. Science and Engineering, vol. 21, no. 3, pp. 2689–2700, 2024. doi: 10.1109/TASE.2023.3267132
    [20]
    X. Wang, Q. Wang, Y. Su, Y. Ouyang, and C. Sun, “Adaptive sensor-fault tolerant control of unmanned underwater vehicles with input saturation,” IEEE/CAA J. Autom. Sinica, vol. 11, no. 4, pp. 907–918, 2024. doi: 10.1109/JAS.2023.123837
    [21]
    P. Bernard, Observer Design for Nonlinear Systems. Berlin, Germany: Springer, 2019.
    [22]
    S. Chen, S. Cai, T. Chen, C. Xu, and J. Chu, “Neural observer with Lyapunov stability guarantee for uncertain nonlinear systems,” IEEE Trans. Neural Networks and Learning Systems, vol. 35, no. 8, pp. 11527–11541, 2023.
    [23]
    F. Gismondi, C. Possieri, and A. Tornambe, “Linear-in-parameters neural adaptive observers for nonlinear systems in observability canonical form,” Automatica, vol. 151, p. 110947, 2023. doi: 10.1016/j.automatica.2023.110947
    [24]
    R. Rahimilarki, Z. Gao, A. Zhang, and R. Binns, “Robust neural network fault estimation approach for nonlinear dynamic systems with applications to wind turbine systems,” IEEE Trans. Industrial Informatics, vol. 15, no. 12, pp. 6302–6312, 2019. doi: 10.1109/TII.2019.2893845
    [25]
    N. E. Cotter, “The Stone-Weierstrass theorem and its application to neural networks,” IEEE Trans. Neural Networks, vol. 1, no. 4, pp. 290–295, 1990. doi: 10.1109/72.80265
    [26]
    J. Park and I. W. Sandberg, “Universal approximation using radial-basis-function networks,” Neural Computation, vol. 3, no. 2, pp. 246–257, 1991. doi: 10.1162/neco.1991.3.2.246
    [27]
    M. Cai, X. He, and D. Zhou, “Neural-network-based fault-tolerant control for unknown high-order fully actuated systems,” in Proc. 3rd Conf. Fully Actuated System Theory and Applications, Shenzhen, China, pp. 529−533, IEEE, 2024.
    [28]
    G. Lin, H. Li, H. Ma, D. Yao, and R. Lu, “Human-in-the-loop consensus control for nonlinear multi-agent systems with actuator faults,” IEEE/CAA J. Autom. Sinica, vol. 9, no. 1, pp. 111–122, 2022. doi: 10.1109/JAS.2020.1003596
    [29]
    S. Xiao and J. Dong, “Distributed fault-tolerant containment control for nonlinear multi-agent systems under directed network topology via hierarchical approach,” IEEE/CAA J. Autom. Sinica, vol. 8, no. 4, pp. 806–816, 2021. doi: 10.1109/JAS.2021.1003928
    [30]
    C. Liu, Z. Zhao, and G. Wen, “Adaptive neural network control with optimal number of hidden nodes for trajectory tracking of robot manipulators,” Neurocomputing, vol. 350, pp. 136–145, 2019. doi: 10.1016/j.neucom.2019.03.043
    [31]
    J. Qiao, F. Li, C. Yang, W. Li, and K. Gu, “A self-organizing RBF neural network based on distance concentration immune algorithm,” IEEE/CAA J. Autom. Sinica, vol. 7, no. 1, pp. 276–291, 2020. doi: 10.1109/JAS.2019.1911852
    [32]
    H. Han, X. Wu, L. Zhang, Y. Tian, and J. Qiao, “Self-organizing RBF neural network using an adaptive gradient multiobjective particle swarm optimization,” IEEE/CAA J. Autom. Sinica, vol. 49, no. 1, pp. 69–82, 2019.
    [33]
    H. Han, W. Lu, Y. Hou, and J. Qiao, “An adaptive-PSO-based self-organizing RBF neural network,” IEEE Trans. Neural Networks and Learning Systems, vol. 29, no. 1, pp. 104–117, 2018. doi: 10.1109/TNNLS.2016.2616413
    [34]
    X. Yang, D. Liu, and Q. Wei, “Online approximate optimal control for affine non-linear systems with unknown internal dynamics using adaptive dynamic programming,” IET Control Theory and Applications, vol. 8, no. 16, pp. 1676–1688, 2014.
    [35]
    H. Xu, D. Yu, and Y. Liu, “Observer-based fuzzy adaptive predefined time control for uncertain nonlinear systems with full-state error constraints,” IEEE Trans. Fuzzy Systems, vol. 32, no. 3, pp. 1370–1382, 2024. doi: 10.1109/TFUZZ.2023.3321669
    [36]
    S. Roshanravan and S. Shamaghdari, “Adaptive fault-tolerant tracking control for affine nonlinear systems with unknown dynamics via reinforcement learning,” IEEE Trans. Autom. Science and Engineering, vol. 21, no. 1, pp. 569–580, 2022.
    [37]
    H. Lin, B. Zhao, D. Liu, and C. Alippi, “Data-based fault tolerant control for affine nonlinear systems through particle swarm optimized neural networks,” IEEE/CAA J. Autom. Sinica, vol. 7, no. 4, pp. 954–964, 2020. doi: 10.1109/JAS.2020.1003225
    [38]
    D. Wang, D. Liu, C. Mu, and Y. Zhang, “Neural network learning and robust stabilization of nonlinear systems with dynamic uncertainties,” IEEE Trans. Neural Networks and Learning Systems, vol. 29, no. 4, pp. 1342–1351, 2018. doi: 10.1109/TNNLS.2017.2749641
    [39]
    Z. Fan, S. Li, and R. Liu, “ADP-based optimal control for systems with mismatched disturbances: A PMSM application,” IEEE Trans. Circuits and Systems II: Express Briefs, vol. 70, no. 6, pp. 2057–2061, 2023.
    [40]
    L. Tan, T. Cong, and D. Cong, “Neural network observers and sensorless robust optimal control for partially unknown PMSM with disturbances and saturating voltages,” IEEE Trans. Power Electronics, vol. 36, no. 10, pp. 12045–12056, 2021. doi: 10.1109/TPEL.2021.3071465

Catalog

    通讯作者: 陈斌, bchen63@163.com
    • 1. 

      沈阳化工大学材料科学与工程学院 沈阳 110142

    1. 本站搜索
    2. 百度学术搜索
    3. 万方数据库搜索
    4. CNKI搜索

    Figures(11)  / Tables(1)

    Article Metrics

    Article views (243) PDF downloads(66) Cited by()

    /

    DownLoad:  Full-Size Img  PowerPoint
    Return
    Return