A journal of IEEE and CAA , publishes high-quality papers in English on original theoretical/experimental research and development in all areas of automation
Volume 12 Issue 9
Sep.  2025

IEEE/CAA Journal of Automatica Sinica

  • JCR Impact Factor: 19.2, Top 1 (SCI Q1)
    CiteScore: 28.2, Top 1% (Q1)
    Google Scholar h5-index: 95, TOP 5
Turn off MathJax
Article Contents
S. Yu, Y. Qiao, F. Yang, W. Zhao, and J. Bo, “Dynamic evolutionary game-based staking pool selection modeling and decentralization enhancement for blockchain system,” IEEE/CAA J. Autom. Sinica, vol. 12, no. 9, pp. 1850–1865, Sept. 2025. doi: 10.1109/JAS.2025.125447
Citation: S. Yu, Y. Qiao, F. Yang, W. Zhao, and J. Bo, “Dynamic evolutionary game-based staking pool selection modeling and decentralization enhancement for blockchain system,” IEEE/CAA J. Autom. Sinica, vol. 12, no. 9, pp. 1850–1865, Sept. 2025. doi: 10.1109/JAS.2025.125447

Dynamic Evolutionary Game-Based Staking Pool Selection Modeling and Decentralization Enhancement for Blockchain System

doi: 10.1109/JAS.2025.125447
More Information
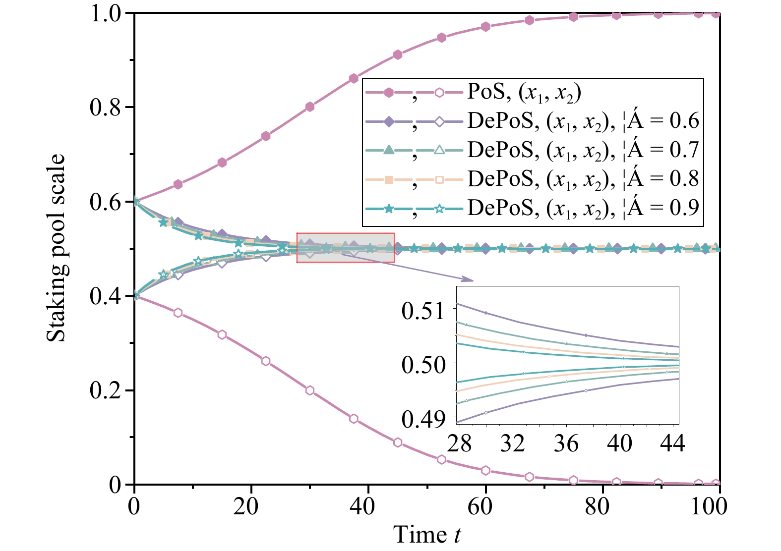
  • The proof-of-stake (PoS) mechanism is a consensus protocol within blockchain technology that determines the validation of transactions and the minting of new blocks based on the participant’s stake in the cryptocurrency network. In contrast to proof-of-work (PoW), which relies on computational power to validate transactions, PoS employs a deterministic and resource-efficient approach to elect validators. Whereas, an inherent risk of PoS is the potential for centralization among a small cohort of network participants possessing substantial stakes, jeopardizing system decentralization and posing security threats. To mitigate centralization issues within PoS, this study introduces an incentive-aligned mechanism named decentralized proof-of-stake (DePoS), wherein the second-largest stakeholder is chosen as the final validator with a higher probability. Integrated with the verifiable random function (VRF), DePoS rewards the largest stakeholder with uncertainty, thus disincentivizing stakeholders from accumulating the largest stake. Additionally, a dynamic evolutionary game model is innovatively developed to simulate the evolution of staking pools, thus facilitating the investigation of staking pool selection dynamics and equilibrium stability across PoS and DePoS systems. The findings demonstrate that DePoS generally fosters wealth decentralization by discouraging the accumulation of significant cryptocurrency holdings. Through theoretical analysis of stakeholder predilection in staking pool selection and the simulation of the evolutionary tendency in pool scale, this research demonstrates the comparative advantage in decentralization offered by DePoS over the conventional PoS.

     

  • loading
  • [1]
    S. Nakamoto, “Bitcoin: A peer-to-peer electronic cash system,” 2008. [Online]. Available: https://bitcoin.org/bitcoin.pdf.
    [2]
    D. Tang, P. He, Z. Fan, and Y. Wang, “Pool competition and centralization in pos blockchain network,” Applied Economics, vol. 56, pp. 1–20, 2023.
    [3]
    “Proof of stake,” https://en.bitcoin.it/wiki/Proof_of_Stake. Accessed on: Aug. 10, 2025.
    [4]
    S. King and S. Nadal, “PPCoin: Peer-to-peer crypto-currency with proofof-stake,” 2012. [Online], Available: https://www.peercoin.net/resources#whitepaper. Accessed on: Aug. 10, 2025.
    [5]
    X. Feng, J. Ma, Y. Miao, X. Liu, and K.-K. R. Choo, “Regulatable and hardware-based proof of stake to approach nothing at stake and long range attacks,” IEEE Trans. Services Computing, vol. 16, no. 3, pp. 2114–2125, 2023.
    [6]
    W. Zhao, “On Nxt proof of stake algorithm: A simulation study,” IEEE Trans. Dependable and Secure Computing, vol. 20, no. 4, pp. 3546–3557, 2023. doi: 10.1109/TDSC.2022.3193092
    [7]
    S. Andreina, J.-M. Bohli, G. O. Karame, W. Li, and G. A. Marson, “Pots: A secure proof of tee-stake for permissionless blockchains,” IEEE Trans. Services Computing, vol. 15, no. 4, pp. 2173–2187, 2022. doi: 10.1109/TSC.2020.3038950
    [8]
    “Nxt whitepaper,” https://nxtdocs.jelurida.com/Nxt_Whitepaper. Accessed on: Aug. 10, 2025.
    [9]
    “Blackcoin overview,” https://blackcoin.org/. Accessed on: Aug. 10, 2025.
    [10]
    J. Liu, W. Zheng, D. Lu, J. Wu, and Z. Zheng, “From decentralization to oligopoly: A data-driven analysis of decentralization evolution and voting behaviors on EOSIO,” IEEE Trans. Comput. Social Systems, vol. 10, no. 5, pp. 2752–2763, 2023. doi: 10.1109/TCSS.2022.3191350
    [11]
    “Ethereum staking,” https://dune.com/hildobby/eth2-staking. Accessed on: Aug. 10, 2025.
    [12]
    I. Bentov, C. Lee, A. Mizrahi, and M. Rosenfeld, “Proof of activity: Extending bitcoin’s proof of work via proof of stake,” SIGMETRICS Perform. Eval. Rev., vol. 42, no. 3, pp. 34–37, 2014. doi: 10.1145/2695533.2695545
    [13]
    J. Melena, V. B. Melena, and X. Chang, “Toward decentralization in dpos systems: Election, voting, and leader selection using virtual stake,” IEEE Trans. Network and Service Management, vol. 21, no. 2, pp. 1777–1790, 2024. doi: 10.1109/TNSM.2023.3322622
    [14]
    G. Sun, M. Dai, J. Sun, and H. Yu, “Voting-based decentralized consensus design for improving the efficiency and security of consortium blockchain,” IEEE Internet of Things J., vol. 8, no. 8, pp. 6257–6272, 2021. doi: 10.1109/JIOT.2020.3029781
    [15]
    K. Li, H. Li, H. Hou, K. Li, and Y. Chen, “Proof of vote: A highperformance consensus protocol based on vote mechanism & consortium blockchain,” in Proc. IEEE 19th Int. Conf. High Performance Computing and Communications; IEEE 15th Int. Conf. Smart City; IEEE 3rd Int. Conf. Data Science and Systems, 2017, pp. 466–473.
    [16]
    D. Deuber, N. Döttling, B. Magri, G. Malavolta, and S. A. K. Thyagarajan, “Minting mechanism for proof of stake blockchains,” in Proc. Applied Cryptography and Network Security: 18th Int. Conf., Proceedings, Part I, 2020, p. 315–334.
    [17]
    Y. Jiao, P. Wang, D. Niyato, and K. Suankaewmanee, “Auction mechanisms in cloud/fog computing resource allocation for public blockchain networks,” IEEE Trans. Parallel and Distributed Systems, vol. 30, no. 9, pp. 1975–1989, 2019. doi: 10.1109/TPDS.2019.2900238
    [18]
    M. Saad, Z. Qin, K. Ren, D. Nyang, and D. Mohaisen, “e-PoS: Making proof-of-stake decentralized and fair,” IEEE Trans. Parallel and Distributed Systems, vol. 32, no. 8, pp. 1961–1973, 2021. doi: 10.1109/TPDS.2020.3048853
    [19]
    “Vickrey auction,” https://en.wikipedia.org/wiki/Vickrey_auction. Accessed on: Aug. 10, 2025.
    [20]
    L. Luu, Y. Velner, J. Teutsch, and P. Saxena, “SmartPool: Practical decentralized pooled mining,” in Proc. 26th USENIX Security Symposium, 2017, pp. 1409–1426.
    [21]
    Z. Li, J. Li, and K. Zhou, “Bitcoin transaction fees and the decentralization of bitcoin mining pools,” Finance Research Letters, vol. 58, p. 104347, 2023. doi: 10.1016/j.frl.2023.104347
    [22]
    L. Shi, T. Wang, J. Li, S. Zhang, and S. Guo, “Pooling is not favorable: Decentralize mining power of pow blockchain using age-of-work,” IEEE Trans. Cloud Computing, vol. 11, no. 3, pp. 2756–2769, 2023. doi: 10.1109/TCC.2022.3226496
    [23]
    A. Miller, A. Kosba, J. Katz, and E. Shi, “Nonoutsourceable scratchoff puzzles to discourage bitcoin mining coalitions,” in Proc. 22nd ACM SIGSAC Conf. Computer and Communications Security, 2015, pp. 680–691.
    [24]
    R. Pass and E. Shi, “Fruitchains: A fair blockchain,” in Proc. ACM Symp. Principles of Distributed Computing, 2017, p. 315–324.
    [25]
    Z. Ai, Y. Liu, and X. Wang, “ABC: An auction-based blockchain consensus-incentive mechanism,” in Proc. IEEE 26th Int. Conf. Parallel and Distributed Systems, 2020, pp. 609–616.
    [26]
    Y. Jia, C. Xu, Z. Feng, Y. Chen, and S. Yang, “Measuring decentralization in emerging public blockchains,” in Proc. Int. Wireless Communications and Mobile Computing, 2022, pp. 137–141.
    [27]
    Q. Lin, C. Li, X. Zhao, and X. Chen, “Measuring decentralization in bitcoin and ethereum using multiple metrics and granularities,” in Proc. 37th IEEE Int. Conf. Data Engineering Workshops. 2021, pp. 80–87.
    [28]
    K. Wu, B. Peng, H. Xie, and Z. Huang, “An information entropy method to quantify the degrees of decentralization for blockchain systems,” in Proc. IEEE 9th Int. Conf. Electronics Information and Emergency Communication, 2019, pp. 1–6.
    [29]
    R. Chen, I.-P. Tu, K.-E. Chuang, Q.-X. Lin, S.-W. Liao, and W. Liao, “Endex: Degree of mining power decentralization for proof-of-work based blockchain systems,” IEEE Network, vol. 34, no. 6, pp. 266–271, 2020. doi: 10.1109/MNET.011.2000178
    [30]
    J. W. Weibull, Evolutionary Game Theory. Cambridge, USA: MIT Press, 1997.
    [31]
    R. Cressman, Evolutionary Dynamics and Extensive Form Games, Cambridge, USA: MIT Press, 2003.
    [32]
    P. Zhang, M. Zhou, C. Li, and A. Abusorrah, “Dynamic evolutionary game-based modeling, analysis and performance enhancement of blockchain channels,” IEEE/CAA J. Autom. Sinica, vol. 10, no. 1, pp. 188–202, 2023. doi: 10.1109/JAS.2022.105911
    [33]
    X. Liu, W. Wang, D. Niyato, N. Zhao, and P. Wang, “Evolutionary game for mining pool selection in blockchain networks,” IEEE Wireless Communi. Letters, vol. 7, no. 5, pp. 760–763, 2018. doi: 10.1109/LWC.2018.2820009
    [34]
    K. Fujita, Y. Zhang, M. Sasabe, and S. Kasahara, “Mining pool selection problem in the presence of block withholding attack,” in Proc. IEEE Int. Conf. Blockchain, 2020, pp. 321–326.
    [35]
    C. Chen, X. Chen, J. Yu, W. Wu, and D. Wu, “Impact of temporary fork on the evolution of mining pools in blockchain networks: An evolutionary game analysis,” IEEE Trans. Network Science and Engineering, vol. 8, no. 1, pp. 400–418, 2021. doi: 10.1109/TNSE.2020.3038943
    [36]
    T. Mai, H. Yao, N. Zhang, L. Xu, M. Guizani, and S. Guo, “Cloud mining pool aided blockchain-enabled internet of things: An evolutionary game approach,” IEEE Trans. Cloud Computing, vol. 11, no. 1, pp. 692–703, 2023. doi: 10.1109/TCC.2021.3110965
    [37]
    M. Kaleem and W. Shi, “Demystifying pythia: A survey of chainlink oracles usage on ethereum,” in Proc. Financial Cryptography and Data Security, 2021, pp. 115–123.
    [38]
    “Chainlink VRF announcement,” https://blog.chain.link/vrf-v2-mainnet-launch/. Accessed on: Aug. 10, 2025.
    [39]
    J. Hofbauer and W. Sandholm, “Stable games and their dynamics,” J. Economic Theory, vol. 144, pp. 1665–1693, 2009. doi: 10.1016/j.jet.2009.01.007
    [40]
    S. Li, J. E. Taplin, and Y. Zhang, “The equate-to-differentiate’s way of seeing the prisoner’s dilemma,” Information Sciences, vol. 177, no. 6, pp. 1395–1412, 2007. doi: 10.1016/j.ins.2006.07.018
    [41]
    P. Gazi, A. Kiayias, and A. Russell, “Stake-bleeding attacks on proofof-stake blockchains,” in Proc. Crypto Valley Conf. Blockchain Technology, 2018, pp. 85–92.
    [42]
    Y. Yuan, J. Li, and X. Luo, “A fuzzy pid-incorporated stochastic gradient descent algorithm for fast and accurate latent factor analysis,” IEEE Trans. Fuzzy Systems, vol. 32, no. 7, pp. 4049–4061, 2024. doi: 10.1109/TFUZZ.2024.3389733
    [43]
    Y. Yuan, X. Luo, and M. Zhou, “Adaptive divergence-based non-negative latent factor analysis of high-dimensional and incomplete matrices from industrial applications,” IEEE Trans. Emerging Topics in Computational Intelligence, vol. 8, no. 2, pp. 1209–1222, 2024.
    [44]
    Y. Yuan, Y. Wang, and X. Luo, “A node-collaboration-informed graph convolutional network for highly accurate representation to undirected weighted graph,” IEEE Trans. Neural Networks and Learning Systems, vol. 36, no. 6, pp. 11507–11519, 2025. doi: 10.1109/TNNLS.2024.3514652
    [45]
    L. Wang, K. Liu, and Y. Yuan, “GT-A2T: Graph tensor alliance attention network,” IEEE/CAA J. Automa. Sinica, 2024. DOI: 10.1109/JAS.2024.124863.

Catalog

    通讯作者: 陈斌, bchen63@163.com
    • 1. 

      沈阳化工大学材料科学与工程学院 沈阳 110142

    1. 本站搜索
    2. 百度学术搜索
    3. 万方数据库搜索
    4. CNKI搜索

    Figures(11)  / Tables(2)

    Article Metrics

    Article views (136) PDF downloads(12) Cited by()

    /

    DownLoad:  Full-Size Img  PowerPoint
    Return
    Return