A journal of IEEE and CAA , publishes high-quality papers in English on original theoretical/experimental research and development in all areas of automation
Volume 12 Issue 11
Nov.  2025

IEEE/CAA Journal of Automatica Sinica

  • JCR Impact Factor: 19.2, Top 1 (SCI Q1)
    CiteScore: 28.2, Top 1% (Q1)
    Google Scholar h5-index: 95, TOP 5
Turn off MathJax
Article Contents
J. Shi, J. Zhang, C. Peng, and M. Fei, “Digital implementation of grid-forming control for power converters using artificial delays,” IEEE/CAA J. Autom. Sinica, vol. 12, no. 11, pp. 2368–2370, Nov. 2025. doi: 10.1109/JAS.2025.125471
Citation: J. Shi, J. Zhang, C. Peng, and M. Fei, “Digital implementation of grid-forming control for power converters using artificial delays,” IEEE/CAA J. Autom. Sinica, vol. 12, no. 11, pp. 2368–2370, Nov. 2025. doi: 10.1109/JAS.2025.125471

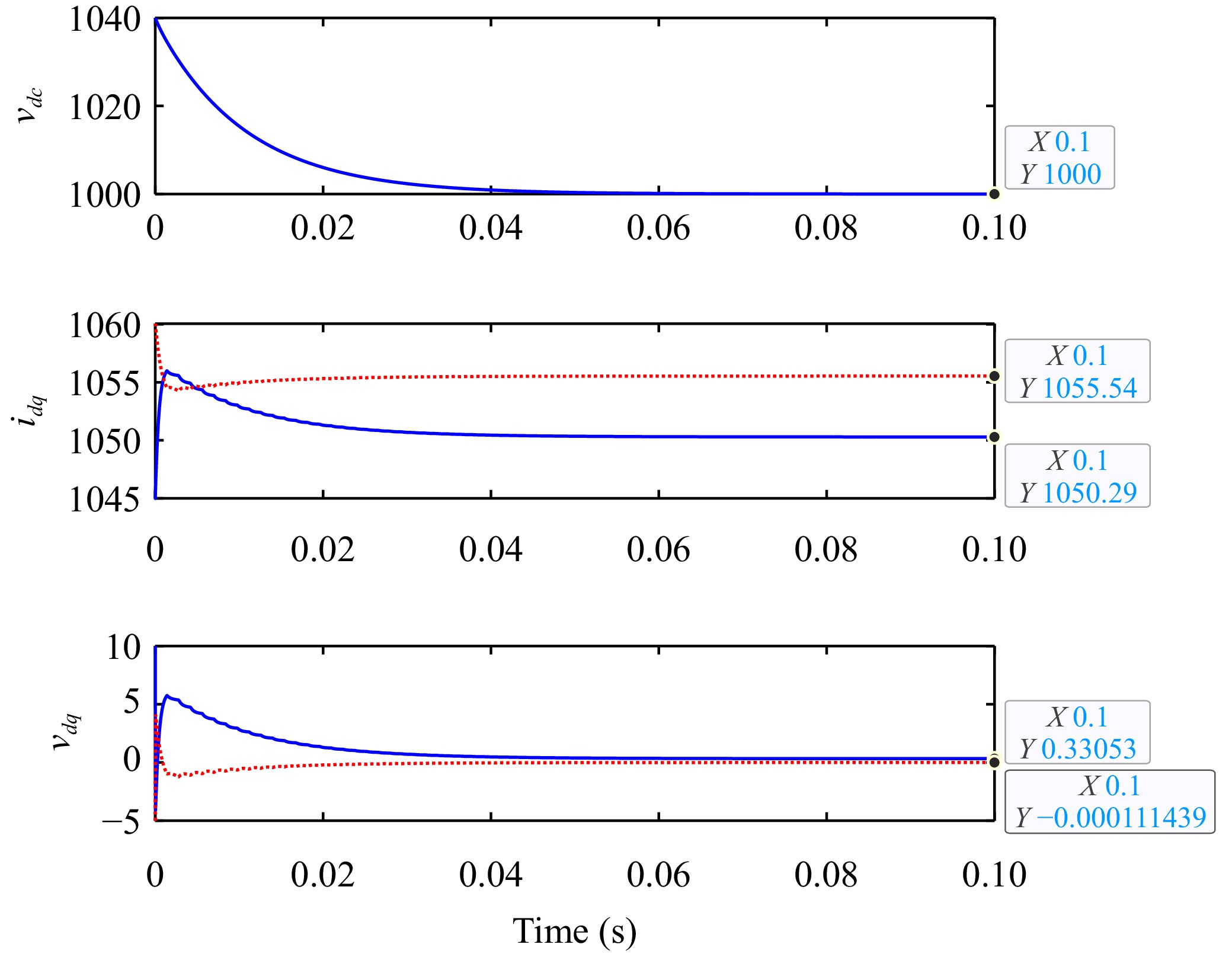
Digital Implementation of Grid-Forming Control for Power Converters Using Artificial Delays

doi: 10.1109/JAS.2025.125471
More Information
  • loading
  • [1]
    L. Wu, J. Liu, S. Vazquez, and S. K. Mazumder, “Sliding mode control in power converters and drives: A review,” IEEE/CAA J. Autom. Sinica, vol. 9, no. 3, pp. 392–406, 2021.
    [2]
    Y. Li, Y. Gu, and T. C. Green, “Revisiting grid-forming and grid-following inverters: A duality theory,” IEEE Trans. Power Syst., vol. 37, no. 6, pp. 4541–4554, 2022. doi: 10.1109/TPWRS.2022.3151851
    [3]
    B. Wen, D. Boroyevich, R. Burgos, P. Mattavelli, and Z. Shen, “Analysis of DQ small-signal impedance of grid-tied inverters,” IEEE Trans. Power Electron., vol. 31, no. 1, pp. 675–687, 2016. doi: 10.1109/TPEL.2015.2398192
    [4]
    V. Mariani, F. Vasca, J. C. Vasquez, and J. M. Guerrero, “Model order reductions for stability analysis of islanded microgrids with droop control,” IEEE Trans. Ind. Electron., vol. 62, no. 7, pp. 4344–4354, 2014.
    [5]
    J. Liu, Y. Miura, and T. Ise, “Comparison of dynamic characteristics between virtual synchronous generator and droop control in inverter-based distributed generators,” IEEE Trans. Power Electron., vol. 31, no. 5, pp. 3600–3611, 2015.
    [6]
    B. B. Johnson, S. V. Dhople, A. O. Hamadeh, and P. T. Krein, “Synchronization of parallel single-phase inverters with virtual oscillator control,” IEEE Trans. Power Electron., vol. 29, no. 11, pp. 6124–6138, 2014. doi: 10.1109/TPEL.2013.2296292
    [7]
    C. Arghir, T. Jouini, and F. Dörfler, “Grid-forming control for power converters based on matching of synchronous machines,” Automatica, vol. 95, pp. 273–282, 2018. doi: 10.1016/j.automatica.2018.05.037
    [8]
    T. Jouini and Z. Sun, “Frequency synchronization of a high-order multiconverter system,” IEEE Trans. Control Netw. Syst., vol. 9, no. 2, pp. 1006–1016, 2022. doi: 10.1109/TCNS.2021.3128493
    [9]
    A. Selivanov and E. Fridman, “Sampled-data implementation of derivative-dependent control using artificial delays,” IEEE Trans. Autom. Control, vol. 63, no. 10, pp. 3594–3600, 2018. doi: 10.1109/TAC.2018.2797186
    [10]
    X.-M. Zhang, Q.-L. Han, X. Ge, B. Ning, and B.-L. Zhang, “Sampled-data control systems with non-uniform sampling: A survey of methods and trends,” Annu. Rev. Control, vol. 55, pp. 70–91, 2023. doi: 10.1016/j.arcontrol.2023.03.004
    [11]
    Z. Deng and C. Xu, “Frequency regulation of power systems with a wind farm by sliding-mode-based design,” IEEE/CAA J. Autom. Sinica, vol. 9, no. 11, pp. 1980–1989, 2022. doi: 10.1109/JAS.2022.105407
    [12]
    L. Ding, Q.-L. Han, and X.-M. Zhang, “Distributed secondary control for active power sharing and frequency regulation in islanded microgrids using an event-triggered communication mechanism,” IEEE Trans. Ind. Inform., vol. 15, no. 7, pp. 3910–3922, 2019. doi: 10.1109/TII.2018.2884494

Catalog

    通讯作者: 陈斌, bchen63@163.com
    • 1. 

      沈阳化工大学材料科学与工程学院 沈阳 110142

    1. 本站搜索
    2. 百度学术搜索
    3. 万方数据库搜索
    4. CNKI搜索

    Figures(2)

    Article Metrics

    Article views (16) PDF downloads(3) Cited by()

    /

    DownLoad:  Full-Size Img  PowerPoint
    Return
    Return