A journal of IEEE and CAA , publishes high-quality papers in English on original theoretical/experimental research and development in all areas of automation
Volume 12 Issue 9
Sep.  2025

IEEE/CAA Journal of Automatica Sinica

  • JCR Impact Factor: 19.2, Top 1 (SCI Q1)
    CiteScore: 28.2, Top 1% (Q1)
    Google Scholar h5-index: 95, TOP 5
Turn off MathJax
Article Contents
J. Li, Q. Yu, G. Li, and Y. He, “The application of RVM in GNSS anti-spoofing field based on the hybrid kernel function,” IEEE/CAA J. Autom. Sinica, vol. 12, no. 9, pp. 1893–1907, Sept. 2025. doi: 10.1109/JAS.2025.125522
Citation: J. Li, Q. Yu, G. Li, and Y. He, “The application of RVM in GNSS anti-spoofing field based on the hybrid kernel function,” IEEE/CAA J. Autom. Sinica, vol. 12, no. 9, pp. 1893–1907, Sept. 2025. doi: 10.1109/JAS.2025.125522

The Application of RVM in GNSS Anti-Spoofing Field Based on the Hybrid Kernel Function

doi: 10.1109/JAS.2025.125522
Funds:  This work was supported in part by the Key Science and Technology Research of Henan Province (252102210239, 242102211029, 242102211105), the Henan Provincial Key Laboratory of Smart Lighting Open Fund (2023KF06), Zhumadian Science and Technology Youth Innovation Special Fund (QNZX202407), the Computer Basic Education Teaching Research Project of the National Research Society for Computer Basic Education in Higher Education Institutions (2024-AFCEC-393), and the Young Backbone Teacher Support Program of Huanghuai University
More Information
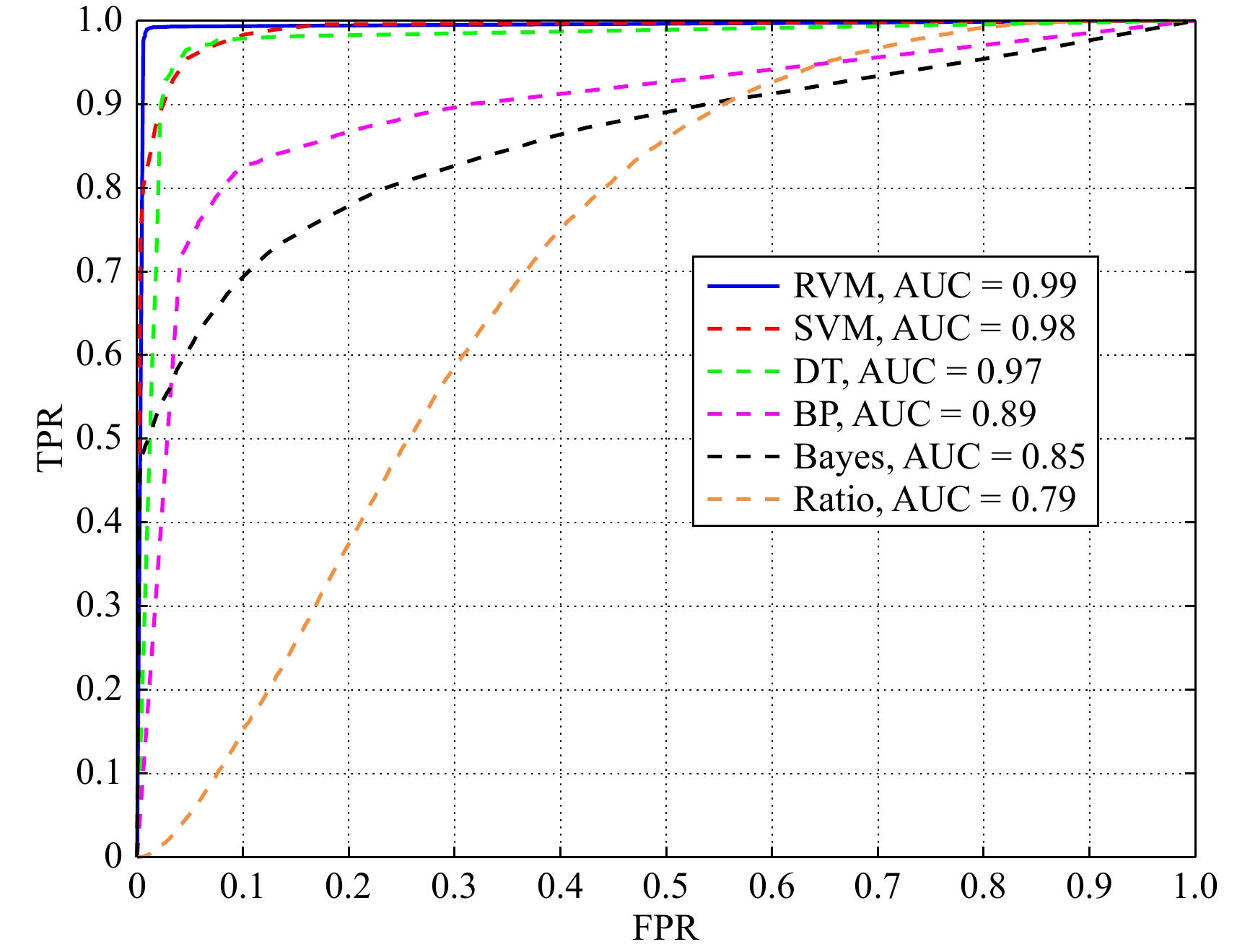
  • With the widespread application of global navigation satellite system (GNSS), spoofing attacks pose a threat to the security and reliability of GNSS. It is of great significance to design effective GNSS spoofing detection technology to ensure the security and reliability of GNSS system applications for receiver users. Traditional spoofing detection techniques generally only determine whether a spoofing attack has occurred by monitoring the feature changes of one or two data information in the receiver. However, some spoofing modes can cleverly make the monitored data very close to the real data, thus avoiding these detection methods and easily making them ineffective. In this study, a GNSS spoofing jamming detection method based on hybrid kernel relevance vector machine (RVM) is proposed. The improved signal quality monitoring (SQM) movement variance, carrier noise ratio movement variance, pseudo range Doppler consistency, pseudorange residual, Doppler frequency, clock offset and clock drift are used as detection characteristics. This technology can detect GNSS spoofing signals, effectively improving the safety and reliability of GNSS systems. The experimental results show that this technology has high detection accuracy and anti-interference ability and can effectively respond to various forms of spoofing attacks.

     

  • loading
  • [1]
    K. Kwon and D. Shim, “Performance analysis of direct gps spoofing detection method with ahrs/ accelerometer,” Sensors, vol. 20, no. 4, pp. 954–965, 2020. doi: 10.3390/s20040954
    [2]
    A. Broumandan, S. Kennedy, and J. Schleppe, “Demonstration of a multi-layer spoofing detection implemented in a high precision gnss receiver,” in Proc. IEEE/ION Position, Location and Navigation Symposium, 2020, pp. 538–547.
    [3]
    Y. Du, L. Wang, L. Xing, J. Yan, and M. Cai, “Data-driven heuristic assisted memetic algorithm for efficient inter-satellite link scheduling in the beidou navigation satellite system,” IEEE/CAA J. Autom. Sinica, vol. 8, no. 11, pp. 1800–1816, 2021. doi: 10.1109/JAS.2021.1004174
    [4]
    L. Bai, C. Sun, A. G. Dempster, W. Feng, and C. Zhuang, “Robust GNSS spoofing detection against UE maneuver in a GNSS-5G mmwave hybrid positioning system,” IEEE Sensors J., vol. 24, no. 13, pp. 21237–21253, 2024. doi: 10.1109/JSEN.2024.3404047
    [5]
    S. Seo, B. Lee, S. Lm, and G. Jee, “Efficient spoofing identification using baseline vector information of multiple receivers,” GPS Solutions, vol. 22, no. 10, pp. 115–129, 2018.
    [6]
    S. Ni, J. Cui, N. Cheng, and Y. Liao, “Detection and elimination method for spoofing jamming based on an antenna array,” Int. J. Distributed Sensor Networks, vol. 14, no. 5, pp. 1–9, 2018.
    [7]
    S. Jeong, M. Kim, and J. Lee, “Cusum-based GNSS spoofing detection method for users of GNSS augmentation system,” Int. J. Aeronautical and Space Sciences, vol. 21, pp. 513–523, 2020. doi: 10.1007/s42405-020-00272-9
    [8]
    Y. Sun and L. Fu, “A new threat for pseudorange-based RAIM: Adversarial attacks on GNSS positioning,” IEEE Access, vol. 7, pp. 126051–126058, 2019. doi: 10.1109/ACCESS.2019.2939141
    [9]
    S. Wang, J. Liu, B. Cai, J. Wang, and D. Lu, “Bosvdd-based GNSS spoofing detection for rail vehicle positioning,” IEEE Trans. Instrumentation and Measurement, vol. 74, pp. 1–18, 2025.
    [10]
    A. Iqbal, M. N. Aman, and B. Sikdar, “Machine and representation learning-based GNSS spoofing detectors utilizing feature set from generic GNSS receivers,” IEEE Trans. Consumer Electronics, vol. 70, no. 1, pp. 574–583, 2024. doi: 10.1109/TCE.2023.3346287
    [11]
    R. Calvop, A. Bhattacharya, G. Bovet, and D. Giustiniano, “Short: LSTM-based GNSS spoofing detection using low-cost spectrum sensors,” in Proc. IEEE 21st Int. Symposium on “A World of Wireless, Mobile and Multimedia Networks”, Cork, Ireland, 2020, pp. 273–276.
    [12]
    K. Radoš, M. Brkić, and D. Begušić, “Recent advances on jamming and spoofing detection in GNSS,” Sensors, vol. 24, no. 13, pp. 4210–4225, 2024. doi: 10.3390/s24134210
    [13]
    C. Sun, J. W. Cheong, A. Dempster, H. Zhao, and W. Feng, “GNSS spoofing detection by means of signal quality monitoring (SQM) metric combinations,” IEEE Access, vol. 6, pp. 66428–66441, 2018. doi: 10.1109/ACCESS.2018.2875948
    [14]
    D. Vahid, N. John, and L. Gerard, “GNSS spoofing detection based on receiver C/N0 estimates,” in Proc. 25th Int. Technical Meeting of the Satellite Division of the Institute of Navigation, 2012, pp. 2875–2884.
    [15]
    W. Wang, N. Li, R. Wu, and P. Closas, “Detection of induced GNSS spoofing using S-curve-bias,” Sensors, vol. 19, no. 4, pp. 922–939, 2019. doi: 10.3390/s19040922
    [16]
    J. Tu, X. Zhan, X. Zhang, Z. Zhang, and S. Jing, “Low-complexity GNSS anti-spoofing technique based on doppler frequency difference monitoring,” IET Radar, Sonar and Navigation, vol. 12, no. 9, pp. 1058–1065, 2018.
    [17]
    Z. Zhang and X. Zhan, “Statistical analysis of spoofing detection based on TDOA,” IEEE Trans. Electrical and Electronic Engineering, vol. 13, no. 6, pp. 840–850, 2018. doi: 10.1002/tee.22637
    [18]
    A. Melikhova and I. Tsikin, “Decision-making algorithms based on generalized likelihood ratio test for angle-of-arrival GNSS integrity monitoring,” in Proc. 25th Saint Petersburg Int. Conf. Integrated Navigation Systems, St. Petersburg, Russia, 2018, pp. 1–5.
    [19]
    S. Semanjski, I. Semanjski, and W. Wilde, “GNSS spoofing detection by supervised machine learning with validation on real-world meaconing and spoofing data——Part II,” Sensors, vol. 20, no. 7, pp. 1806–1822, 2020. doi: 10.3390/s20071806
    [20]
    I. Koji, “An examination of GPS spoofing defense with machine-learning,” IEICE Tech. Rep, vol. 118, no. 123, pp. 89–94, 2018.
    [21]
    J. Li, X. Zhu, M. Ouyang, W. Li, Z. Chen, and Q. Fu, “GNSS spoofing jamming detection based on generative adversarial network,” IEEE Sensors J., vol. 21, no. 20, pp. 22823–22832, 2021. doi: 10.1109/JSEN.2021.3105404
    [22]
    Z. Chen, J. Li, J. Li, X. Zhu, and C. Li, “GNSS multiparameter spoofing detection method based on support vector machine,” IEEE Sensors J., vol. 22, no. 18, pp. 17864–17874, 2022. doi: 10.1109/JSEN.2022.3193388
    [23]
    X. Zhu, H. Teng, Y. Fan, G. Tu, and X. Chen, “Global positioning system spoofing detection based on support vector machines,” IET Radar, Sonar and Navigation, vol. 16, no. 2, pp. 224–237, 2022.
    [24]
    M. Sun, Y. Qin, J. Bao, and X. Yu, “GPS spoofing detection based on decision fusion with a K-out-of-N rule,” Int. J. Network Security, vol. 19, no. 5, pp. 670–674, 2017.
    [25]
    W. Wang, Y. Sun, and K. Li, “Fully Bayesian analysis of the relevance vector machine classification for imbalanced data problem,” CAAI Trans. Intelligence Technology, vol. 8, no. 1, pp. 192–205, 2023. doi: 10.1049/cit2.12111
    [26]
    J. Chen, X. Li, J. Xu, and Y. Wang, “Deployment for NOMA-UAV base stations based on hybrid sparrow search algorithm,” IEEE Trans. Aerospace and Electronic Systems, vol. 59, no. 5, pp. 6138–6149, 2023.
    [27]
    M. Hou, Y. Yuan, A. Zhou, C. Liu, and J. Le, “Different slope units division-based geohazard susceptibility evaluation of support vector machine optimized by sparrow search algorithm,” Int. J. Environmental Science and Technology, vol. 21, pp. 3365–3380, 2024. doi: 10.1007/s13762-023-05223-x
    [28]
    C. Liu, B. Lin, and D. Miao, “A novel adaptive neighborhood rough sets based on sparrow search algorithm and feature selection,” Information Sciences, vol. 679, pp. 1–19, 2024.
    [29]
    K. Shui, L. Hou, W. Hou, J. Sun, and H. Sun, “Optimizing slope safety factor prediction via stacking using sparrow search algorithm for multi-layer machine learning regression models,” J. Mountain Science, vol. 20, no. 10, pp. 2852–2868, 2023. doi: 10.1007/s11629-023-8158-7
    [30]
    S. Zhang, W. Tan, Q. Wang, and N. Wang, “A new method of online extreme learning machine based on hybrid kernel function,” Neural Computing and Applications, vol. 31, no. 4, pp. 695–706, 2019.
    [31]
    M. Awadallah, M. Al-Betar, I. Doush, S. Makhadmeh, and G. Al-Naymat, “Recent versions and applications of sparrow search algorithm,” Archives of Computational Methods in Engineering, vol. 30, pp. 2831–2858, 2023. doi: 10.1007/s11831-023-09887-z
    [32]
    J. Xue and B. Shen, “A novel swarm intelligence optimization approach: Sparrow search algorithm,” Systems Science and Control Engineering, vol. 8, no. 1, pp. 22–34, 2020.
    [33]
    S. Semanjski, S. Ivana, D. Wim, and A. Muls, “Use of supervised machine learning for GNSS signal spoofing detection with validation on real-world meaconing and spoofing data——Part I,” Sensors, vol. 20, no. 4, pp. 1171–1185, 2020. doi: 10.3390/s20041171
    [34]
    A. Reda, T. Mekkawy, T. Tsiftsis, and A. Mahran, “Deep learning approach for GNSS jamming detection-based PCA and Bayesian optimization feature selection algorithm,” IEEE Trans. Aerospace and Electronic Systems, vol. 60, no. 6, pp. 8349–8363, 2024. doi: 10.1109/TAES.2024.3429049
    [35]
    Y. Zhang, Q. Chen, C. Pang, L. Zhang, M. Wang, and J. Gao, “GNSS spoofing detection method based on BP neural network,” in Proc. 7th Int. Conf. Information Communication and Signal Processing, Zhoushan, China, 2024, pp. 273–278.

Catalog

    通讯作者: 陈斌, bchen63@163.com
    • 1. 

      沈阳化工大学材料科学与工程学院 沈阳 110142

    1. 本站搜索
    2. 百度学术搜索
    3. 万方数据库搜索
    4. CNKI搜索

    Figures(15)  / Tables(9)

    Article Metrics

    Article views (680) PDF downloads(84) Cited by()

    /

    DownLoad:  Full-Size Img  PowerPoint
    Return
    Return