A journal of IEEE and CAA , publishes high-quality papers in English on original theoretical/experimental research and development in all areas of automation
Volume 12 Issue 9
Sep.  2025

IEEE/CAA Journal of Automatica Sinica

  • JCR Impact Factor: 19.2, Top 1 (SCI Q1)
    CiteScore: 28.2, Top 1% (Q1)
    Google Scholar h5-index: 95, TOP 5
Turn off MathJax
Article Contents
G. Cheng, B. Qiu, J. Guo, and Y. Han, “A robust direct-discretized RNN for time-dependent optimization constrained by nonlinear equalities and its applications,” IEEE/CAA J. Autom. Sinica, vol. 12, no. 9, pp. 1866–1877, Sept. 2025. doi: 10.1109/JAS.2025.125627
Citation: G. Cheng, B. Qiu, J. Guo, and Y. Han, “A robust direct-discretized RNN for time-dependent optimization constrained by nonlinear equalities and its applications,” IEEE/CAA J. Autom. Sinica, vol. 12, no. 9, pp. 1866–1877, Sept. 2025. doi: 10.1109/JAS.2025.125627

A Robust Direct-Discretized RNN for Time-Dependent Optimization Constrained by Nonlinear Equalities and Its Applications

doi: 10.1109/JAS.2025.125627
Funds:  This work was supported in part by the National Key Research and Development Program of China (2023YFC3011100), the National Natural Science Foundation of China (62476294), the Science and Technology Planning Project of Guangdong Province, China (2021B1212040017), and the Guangdong Basic and Applied Basic Research Foundation (2025A1515010377, 2023A1515110697)
More Information
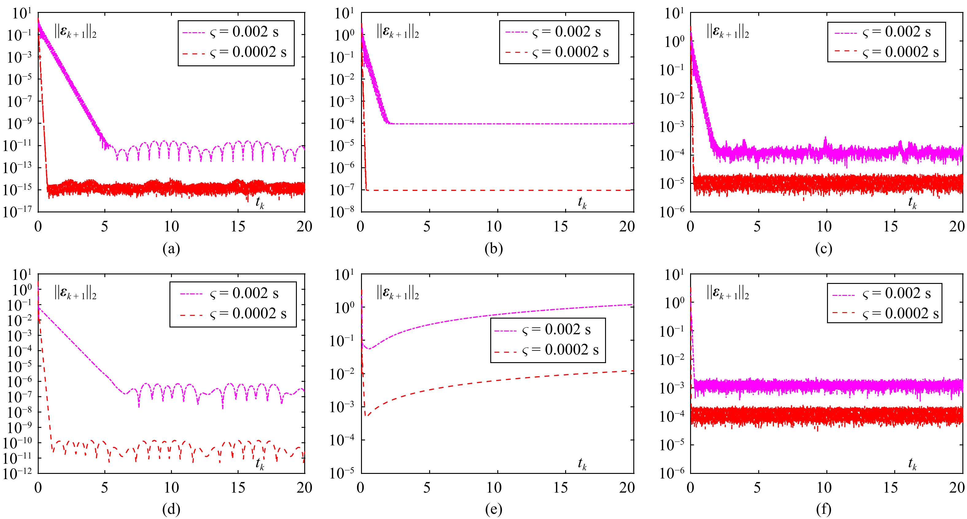
  • In recent years, numerous recurrent neural network (RNN) models have been reported for solving time-dependent nonlinear optimization problems. However, few existing RNN models simultaneously involve nonlinear equality constraints, direct discretization, and noise suppression. This limitation presents challenges when existing models are applied to practical engineering problems. Additionally, most current discrete-time RNN models are derived from continuous-time models, which may not perform well for solving essentially discrete problems. To handle these issues, a robust direct-discretized RNN (RDD-RNN) model is proposed to efficiently realize time-dependent optimization constrained by nonlinear equalities (TDOCNE) in the presence of various time-dependent noises. Theoretical analyses are provided to reveal that the proposed RDD-RNN model possesses excellent convergence and noise-suppressing capability. Furthermore, numerical experiments and manipulator control instances are conducted and analyzed to validate the superior robustness of the proposed RDD-RNN model under various time-dependent noises, particularly quadratic polynomial noise. Eventually, small target detection experiments further demonstrate the practicality of the RDD-RNN model in image processing applications.

     

  • loading
  • [1]
    C.-G. Huang, H. Li, W. Peng, L. C. Tang, and Z.-S. Ye, “Personalized federated transfer learning for cycle-life prediction of lithium-ion batteries in heterogeneous clients with data privacy protection,” IEEE Internet Things J., vol. 11, no. 22, pp. 36895–36906, Nov. 2024. doi: 10.1109/JIOT.2024.3433460
    [2]
    Y. Han, J. Li, and B. Wang, “Event-triggered active disturbance rejection control for hybrid energy storage system in electric vehicle,” IEEE Trans. Transp. Electrif., vol. 9, no. 1, pp. 75–86, Mar. 2023. doi: 10.1109/TTE.2022.3177213
    [3]
    L. Jin, X. Zheng, and X. Luo, “Neural dynamics for distributed collaborative control of manipulators with time delays,” IEEE/CAA J. Autom. Sinica, vol. 9, no. 5, pp. 854–863, May 2022. doi: 10.1109/JAS.2022.105446
    [4]
    B. Qiu, J. Guo, S. Yang, P. Yu, and N. Tan, “A novel discretized ZNN model for velocity layer weighted multicriteria optimization of robotic manipulators with multiple constraints,” IEEE Trans. Ind. Inform., vol. 19, no. 5, pp. 6717–6728, May 2023. doi: 10.1109/TII.2022.3197270
    [5]
    B. Qiu, J. Guo, M. Mao, and N. Tan, “A fuzzy-enhanced robust DZNN model for future multiconstrained nonlinear optimization with robotic manipulator control,” IEEE Trans. Fuzzy Syst., vol. 32, no. 1, pp. 160–173, Jan. 2024. doi: 10.1109/TFUZZ.2023.3293834
    [6]
    F. Leibfritz and E. M. E. Mostafa, “An interior point constrained trust region method for a special class of nonlinear semidefinite programming problems,” SIAM J. Optim., vol. 12, no. 4, pp. 1048–1074, Apr. 2002. doi: 10.1137/S1052623400375865
    [7]
    D.-H. Li and M. Fukushima, “A modified BFGS method and its global convergence in nonconvex minimization,” J. Comput. Appl. Math., vol. 129, no. 1–2, pp. 15–35, Apr. 2001.
    [8]
    K. E. Browne and R. J. Burkholder, “Nonlinear optimization of radar images from a through-wall sensing system via the Lagrange multiplier method,” IEEE Geosci. Remote Sens. Lett., vol. 9, no. 5, pp. 803–807, Sep. 2012. doi: 10.1109/LGRS.2012.2188093
    [9]
    J. Li, M. Mao, F. Uhlig, and Y. Zhang, “Z-type neural-dynamics for time-varying nonlinear optimization under a linear equality constraint with robot application,” J. Comput. Appl. Math., vol. 327, pp. 155–166, Jan. 2018. doi: 10.1016/j.cam.2017.06.017
    [10]
    Z. Zhang, X. Sun, X. Li, and Y. Liu, “An adaptive variable-parameter dynamic learning network for solving constrained time-varying QP problem,” Neural Netw., vol. 184, p. 106968, Apr. 2025. doi: 10.1016/j.neunet.2024.106968
    [11]
    Y. Lou, R. Wu, J. Li, L. Wang, X. Li, and G. Chen, “A learning convolutional neural network approach for network robustness prediction,” IEEE Trans. Cybern., vol. 53, no. 7, pp. 4531–4544, Jul. 2023. doi: 10.1109/TCYB.2022.3207878
    [12]
    L. Dai, Y. Zhang, and G. Geng, “Norm-based finite-time convergent recurrent neural network for dynamic linear inequality,” IEEE Trans. Ind. Inform., vol. 20, no. 3, pp. 4874–4883, Mar. 2024. doi: 10.1109/TII.2023.3329640
    [13]
    N. Tan, P. Yu, Z. Zhong, and F. Ni, “A new noise-tolerant dual-neural-network scheme for robust kinematic control of robotic arms with unknown models,” IEEE/CAA J. Autom. Sinica, vol. 9, no. 10, pp. 1778–1791, Oct. 2022. doi: 10.1109/JAS.2022.105869
    [14]
    D. Chen, X. Cao, and S. Li, “A multi-constrained zeroing neural network for time-dependent nonlinear optimization with application to mobile robot tracking control,” Neurocomputing, vol. 460, pp. 331–344, Oct. 2021. doi: 10.1016/j.neucom.2021.06.089
    [15]
    Z. Sun, S. Tang, J. Zhang, and J. Yu, “Nonconvex noise-tolerant neural model for repetitive motion of omnidirectional mobile manipulators,” IEEE/CAA J. Autom. Sinica, vol. 10, no. 8, pp. 1766–1768, Aug. 2023. doi: 10.1109/JAS.2023.123273
    [16]
    L. Xiao, K. Li, and M. Duan, “Computing time-varying quadratic optimization with finite-time convergence and noise tolerance: A unified framework for zeroing neural network,” IEEE Trans. Neural Netw. Learn. Syst., vol. 30, no. 11, pp. 3360–3369, Nov. 2019. doi: 10.1109/TNNLS.2019.2891252
    [17]
    B. Liao, L. Han, X. Cao, S. Li, and J. Li, “Double integral-enhanced zeroing neural network with linear noise rejection for time-varying matrix inverse,” CAAI Trans. Intell. Technol., vol. 9, no. 1, pp. 197–210, Feb. 2024. doi: 10.1049/cit2.12161
    [18]
    C. Jiang and X. Xiao, “Norm-based adaptive coefficient ZNN for solving the time-dependent algebraic Riccati equation,” IEEE/CAA J. Autom. Sinica, vol. 10, no. 1, pp. 298–300, Jan. 2023. doi: 10.1109/JAS.2023.123057
    [19]
    T. E. Simos, V. N. Katsikis, S. D. Mourtas, P. S. Stanimirovic, and D. Gerontitis, “A higher-order zeroing neural network for pseudoinversion of an arbitrary time-varying matrix with applications to mobile object localization,” Inf. Sci., vol. 600, pp. 226–238, Jul. 2022. doi: 10.1016/j.ins.2022.03.094
    [20]
    Y. Hu, C. Zhang, B. Wang, J. Zhao, X. Gong, J. Gao, and H. Chen, “Noise-tolerant ZNN-based data-driven iterative learning control for discrete nonaffine nonlinear MIMO repetitive systems,” IEEE/CAA J. Autom. Sinica, vol. 11, no. 2, pp. 344–361, Feb. 2024. doi: 10.1109/JAS.2023.123603
    [21]
    J. Chen, Y. Pan, Y. Zhang, S. Li, and N. Tan, “Inverse-free zeroing neural network for time-variant nonlinear optimization with manipulator applications,” Neural Netw., vol. 178, p. 106462, Oct. 2024. doi: 10.1016/j.neunet.2024.106462
    [22]
    Z. Hu, K. Li, L. Xiao, Y. Wang, M. Duan, and K. Li, “Adams-Bashforth-type discrete-time zeroing neural networks solving time-varying complex Sylvester equation with enhanced robustness,” IEEE Trans. Syst., Man, Cybern., Syst., vol. 52, no. 5, pp. 3287–3298, May 2022. doi: 10.1109/TSMC.2021.3065091
    [23]
    J. Li, Y. Zhang, and M. Mao, “Continuous and discrete zeroing neural network for different-level dynamic linear system with robot manipulator control,” IEEE Trans. Syst., Man, Cybern., Syst., vol. 50, no. 11, pp. 4633–4642, Nov. 2020. doi: 10.1109/TSMC.2018.2856266
    [24]
    D. Guo, L. Yan, and Z. Nie, “Design, analysis, and representation of novel five-step DTZD algorithm for time-varying nonlinear optimization,” IEEE Trans. Neural Netw. Learn. Syst., vol. 29, no. 9, pp. 4248–4260, Sep. 2018. doi: 10.1109/TNNLS.2017.2761443
    [25]
    W. Li, L. Xiao, and B. Liao, “A finite-time convergent and noise-rejection recurrent neural network and its discretization for dynamic nonlinear equations solving,” IEEE Trans. Cybern., vol. 50, no. 7, pp. 3195–3207, Jul. 2020. doi: 10.1109/TCYB.2019.2906263
    [26]
    B. Qiu, J. Guo, X. Li, Z. Zhang, and Y. Zhang, “Discrete-time advanced zeroing neurodynamic algorithm applied to future equality-constrained nonlinear optimization with various noises,” IEEE Trans. Cybern., vol. 52, no. 5, pp. 3539–3552, May 2022. doi: 10.1109/TCYB.2020.3009110
    [27]
    M. Yang, “New second-level-discrete zeroing neural network for solving dynamic linear system,” IEEE/CAA J. Autom. Sinica, vol. 11, no. 6, pp. 1521–1523, Jun. 2024. doi: 10.1109/JAS.2023.123384
    [28]
    Y. Shi, W. Zhao, S. Li, B. Li, and X. Sun, “Novel discrete-time recurrent neural network for robot manipulator: A direct discretization technical route,” IEEE Trans. Neural Netw. Learn. Syst., vol. 34, no. 6, pp. 2781–2790, Jun. 2023. doi: 10.1109/TNNLS.2021.3108050
    [29]
    Y. Shi, J. Wang, S. Li, B. Li, and X. Sun, “Tracking control of cable-driven planar robot based on discrete-time recurrent neural network with immediate discretization method,” IEEE Trans. Ind. Inform., vol. 19, no. 6, pp. 7414–7423, Jun. 2023. doi: 10.1109/TII.2022.3210255
    [30]
    M. Liu, H. Wu, Y. Shi, and L. Jin, “High-order robust discrete-time neural dynamics for time-varying multilinear tensor equation with ${\mathcal{M}}$-tensor,” IEEE Trans. Ind. Inform., vol. 19, no. 9, pp. 9457–9467, Sep. 2023. doi: 10.1109/TII.2022.3228394
    [31]
    Y. Shi, W. Sheng, S. Li, B. Li, and X. Sun, “A direct discretization recurrent neurodynamics method for time-variant nonlinear optimization with redundant robot manipulators,” Neural Netw., vol. 164, pp. 428–438, Jul. 2023. doi: 10.1016/j.neunet.2023.04.040
    [32]
    J. Chen, Y. Pan, and Y. Zhang, “ZNN continuous model and discrete algorithm for temporally variant optimization with nonlinear equation constraints via novel TD formula,” IEEE Trans. Syst., Man, Cybern., Syst., vol. 54, no. 7, pp. 3994–4004, Jul. 2024. doi: 10.1109/TSMC.2024.3374754
    [33]
    J. Guo, Z. Xiao, J. Guo, X. Hu, and B. Qiu, “Different-layer control of robotic manipulators based on a novel direct-discretization RNN algorithm,” Neurocomputing, vol. 620, p. 129252, Mar. 2025. doi: 10.1016/j.neucom.2024.129252
    [34]
    J. H. Mathews and K. D. Fink, Numerical Methods Using MATLAB. Englewood Cliffs, USA: Prentice-Hall, 2004.
    [35]
    Y. Zhang, L. He, C. Hu, J. Guo, J. Li, and Y. Shi, “General four-step discrete-time zeroing and derivative dynamics applied to time-varying nonlinear optimization,” J. Comput. Appl. Math., vol. 347, pp. 314–329, Feb. 2019. doi: 10.1016/j.cam.2018.08.017
    [36]
    M. Freese, S. Singh, F. Ozaki, and N. Matsuhira, “Virtual robot experimentation platform V-REP: A versatile 3D robot simulator,” in Proc. Int. Conf. Simul., Model., Program. Auton. Robots, Nov. 2010, pp. 51–62.
    [37]
    J. Harsanyi and C.-I. Chang, “Hyperspectral image classification and dimensionality reduction: An orthogonal subspace projection approach,” IEEE Trans. Geosci. Remote Sens., vol. 32, no. 4, pp. 779–785, Jul. 1994. doi: 10.1109/36.298007

Catalog

    通讯作者: 陈斌, bchen63@163.com
    • 1. 

      沈阳化工大学材料科学与工程学院 沈阳 110142

    1. 本站搜索
    2. 百度学术搜索
    3. 万方数据库搜索
    4. CNKI搜索

    Figures(7)  / Tables(3)

    Article Metrics

    Article views (84) PDF downloads(18) Cited by()

    /

    DownLoad:  Full-Size Img  PowerPoint
    Return
    Return