A journal of IEEE and CAA , publishes high-quality papers in English on original theoretical/experimental research and development in all areas of automation
Volume 12 Issue 11
Nov.  2025

IEEE/CAA Journal of Automatica Sinica

  • JCR Impact Factor: 19.2, Top 1 (SCI Q1)
    CiteScore: 28.2, Top 1% (Q1)
    Google Scholar h5-index: 95, TOP 5
Turn off MathJax
Article Contents
L. Chu and Y. Liu, “Adaptive event-triggered control of time-varying nonlinear systems: A tight and powerful strategy,” IEEE/CAA J. Autom. Sinica, vol. 12, no. 11, pp. 2194–2206, Nov. 2025. doi: 10.1109/JAS.2025.125786
Citation: L. Chu and Y. Liu, “Adaptive event-triggered control of time-varying nonlinear systems: A tight and powerful strategy,” IEEE/CAA J. Autom. Sinica, vol. 12, no. 11, pp. 2194–2206, Nov. 2025. doi: 10.1109/JAS.2025.125786

Adaptive Event-Triggered Control of Time-Varying Nonlinear Systems: A Tight and Powerful Strategy

doi: 10.1109/JAS.2025.125786
Funds:  This work was supported in part by the National Natural Science Foundation of China (62033007) and the Fundamental Research Program of Shandong Province (ZR2023ZD37)
More Information
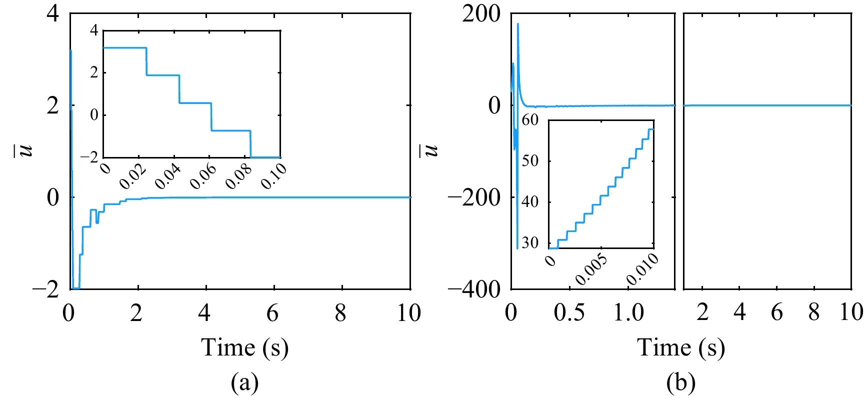
  • This paper considers adaptive event-triggered stabilization for a class of uncertain time-varying nonlinear systems. Remarkably, the systems contain intrinsic time-varying unknown parameters which are allowed to be non-differentiable and in turn can be fast-varying. Moreover, the systems admit unknown control directions. To counteract the different uncertainties, more than one compensation mechanism has to be incorporated. However, in the context of event-triggered control, ensuring the effectiveness of these compensation mechanisms under reduced execution necessitates delicate design and analysis. This paper proposes a tight and powerful strategy for adaptive event-triggered control (ETC) by integrating the state-of-the-art adaptive techniques. In particular, the strategy substantially mitigates the conservatism caused by repetitive inequality-based treatments of uncertainties. Specifically, by leveraging the congelation-of-variables method and tuning functions, the conservatism in the treatment of the fast-varying parameters is significantly reduced. With multiple Nussbaum functions employed to handle unknown control directions, a set of dynamic compensations is designed to counteract unknown amplitudes of control coefficients without relying on inequality-based treatments. Moreover, a dedicated dynamic compensation is introduced to deal with the control coefficient coupled with the execution error, based on which a relative-threshold event-triggering mechanism (ETM) is rigorously validated. It turns out that the adaptive event-triggered controller achieves the closed-loop convergence while guaranteeing a uniform lower bound for inter-execution times. Simulation results verify the effectiveness and superiority of the proposed strategy.

     

  • loading
  • 1 The “radius” $ \delta_{{\theta}} $ means $ \frac{1}{2}\|\bar{\theta}-\underline{{\theta}}\| $, where $ \bar{\theta} $ and $ \underline{{\theta}} $ are the unknown upper and lower bound of Θ, respectively.
    2 The “average” of time-varying parameter (vector) $ {\theta}(t) $ means $ \frac{1}{2}\|\bar {\theta}+\underline{{\theta}}\| $, where $ \bar {\theta} $ and $ \underline{{\theta}} $ are the unknown upper and lower bounds of $ {\theta}(t) $, respectively.
  • [1]
    K. J. Astrom and B. M. Bernhardsson, “Comparison of Riemann and Lebesgue sampling for first order stochastic systems,” in Proc. 41st IEEE Conf. Decision and Control, Las Vegas, USA, 2002, pp. 2011–2016.
    [2]
    P. Tabuada, “Event-triggered real-time scheduling of stabilizing control tasks,” IEEE Trans. Autom. Control, vol. 52, no. 9, pp. 1680–1685, Sep. 2007. doi: 10.1109/TAC.2007.904277
    [3]
    J. P. Hespanha, P. Naghshtabrizi, and Y. Xu, “A survey of recent results in networked control systems,” Proc. IEEE, vol. 95, no. 1, pp. 138–162, Jan. 2007. doi: 10.1109/JPROC.2006.887288
    [4]
    X.-M. Zhang, Q.-L. Han, X. Ge, and B.-L. Zhang, “Accumulative-error-based event-triggered control for discrete-time linear systems: A discrete-time looped functional method,” IEEE/CAA J. Autom. Sinica, vol. 12, no. 4, pp. 683–693, Apr. 2025. doi: 10.1109/JAS.2024.124476
    [5]
    W. Song, Z. Wang, Z. Li, J. Wang, and Q.-L. Han, “Nonlinear filtering with sample-based approximation under constrained communication: Progress, insights and trends,” IEEE/CAA J. Autom. Sinica, vol. 11, no. 7, pp. 1539–1556, Jul. 2024. doi: 10.1109/JAS.2023.123588
    [6]
    T. Liu and Z.-P. Jiang, “A small-gain approach to robust event-triggered control of nonlinear systems,” IEEE Trans. Autom. Control, vol. 60, no. 8, pp. 2072–2085, Aug. 2015. doi: 10.1109/TAC.2015.2396645
    [7]
    M. Abdelrahim, R. Postoyan, J. Daafouz, and D. Nešić, “Robust event-triggered output feedback controllers for nonlinear systems,” Automatica, vol. 75, pp. 96–108, Jan. 2017. doi: 10.1016/j.automatica.2016.09.044
    [8]
    D. Wang, M. Ha, and J. Qiao, “Self-learning optimal regulation for discrete-time nonlinear systems under event-driven formulation,” IEEE Trans. Autom. Control, vol. 65, no. 3, pp. 1272–1279, Mar. 2020. doi: 10.1109/TAC.2019.2926167
    [9]
    L. Xing, C. Wen, Z. Liu, H. Su, and J. Cai, “Event-triggered adaptive control for a class of uncertain nonlinear systems,” IEEE Trans. Autom. Control, vol. 62, no. 4, pp. 2071–2076, Apr. 2017. doi: 10.1109/TAC.2016.2594204
    [10]
    Y. Huang and Y. Liu, “Practical tracking via adaptive event-triggered feedback for uncertain nonlinear systems,” IEEE Trans. Autom. Control, vol. 64, no. 9, pp. 3920–3927, Sep. 2019. doi: 10.1109/TAC.2019.2891411
    [11]
    F. Li and Y. Liu, “A new adaptive event-triggered scheme enabling inter-execution time pre-evaluation and double-side communication reduction,” IEEE Control Syst. Lett., vol. 6, pp. 2329–2334, Jan. 2022. doi: 10.1109/LCSYS.2022.3150667
    [12]
    W. Li, H. Zhang, Y. Zhou, and Y. Wang, “Bipartite formation tracking for multi-agent systems using fully distributed dynamic edge-event-triggered protocol,” IEEE/CAA J. Autom. Sinica, vol. 9, no. 5, pp. 847–853, May 2022. doi: 10.1109/JAS.2021.1004377
    [13]
    D. Yao, H. Li, and Y. Shi, “Event-based average consensus of disturbed MASs via fully distributed sliding mode control,” IEEE Trans. Autom. Control, vol. 69, no. 3, pp. 2015–2022, Mar. 2024. doi: 10.1109/TAC.2023.3317505
    [14]
    R. Xi, H. Zhang, H. Huang, and Y. Li, “Adaptive command filtered control for a class of random nonlinear systems under model-based event-triggered control design,” IEEE Trans. Syst., Man, Cybern.: Syst., vol. 54, no. 8, pp. 5074–5084, Aug. 2024. doi: 10.1109/TSMC.2024.3389994
    [15]
    F. Zouari, A. Ibeas, A. Boulkroune, and J. Cao, “Finite-time adaptive event-triggered output feedback intelligent control for noninteger order nonstrict feedback systems with asymmetric time-varying pseudo-state constraints and nonsmooth input nonlinearities,” Commun. Nonlinear Sci. Numer. Simul., vol. 136, p. 108036, Sep. 2024. doi: 10.1016/j.cnsns.2024.108036
    [16]
    H. Yang, Y. Wang, and Z. Shao, “Event-triggered prescribed-time control for a class of uncertain nonlinear systems using finite time-varying gain,” ISA Trans., vol. 152, pp. 167–176, Sep. 2024. doi: 10.1016/j.isatra.2024.06.012
    [17]
    A. Bounemeur, M. Chemachema, A. Zahaf, and S. Bououden, “Adaptive fuzzy fault-tolerant control using Nussbaum gain for a class of SISO nonlinear systems with unknown directions,” in Proc. 4th Int. Conf. Electrical Engineering and Control Applications, Constantine, Algeria, 2019, pp. 493–510.
    [18]
    A. Bounemeur and M. Chemachema, “Adaptive fuzzy fault-tolerant control using Nussbaum-type function with state-dependent actuator failures,” Neural Comput. Appl., vol. 33, no. 1, pp. 191–208, Jan. 2021. doi: 10.1007/s00521-020-04977-6
    [19]
    H. Dong, C. Huang, J. Cao, and H. Liu, “Adaptive fuzzy quantized prescribed performance synchronization of uncertain non-strict feedback chaotic systems with time-varying actuator failure,” Inform. Sci., vol. 681, p. 121241, Oct. 2024. doi: 10.1016/j.ins.2024.121241
    [20]
    T. Li, C. Wen, J. Yang, S. Li, and L. Guo, “Event-triggered tracking control for nonlinear systems subject to time-varying external disturbances,” Automatica, vol. 119, p. 109070, Sep. 2020. doi: 10.1016/j.automatica.2020.109070
    [21]
    P.-J. Ning, C.-C. Hua, K. Li, and R. Meng, “Event-triggered adaptive prescribed-time control for nonlinear systems with uncertain time-varying parameters,” Automatica, vol. 157, p. 111229, Nov. 2023. doi: 10.1016/j.automatica.2023.111229
    [22]
    G. Lin, H. Li, H. Ma, and Q. Zhou, “Distributed containment control for human-in-the-loop MASs with unknown time-varying parameters,” IEEE Trans. Circuits Syst. I: Regul. Pap, vol. 69, no. 12, pp. 5300–5311, Dec. 2022. doi: 10.1109/TCSI.2022.3205335
    [23]
    K. Chen and A. Astolfi, “Adaptive control for systems with time-varying parameters,” IEEE Trans. Autom. Control, vol. 66, no. 5, pp. 1986–2001, May 2021. doi: 10.1109/TAC.2020.3046141
    [24]
    L. Chu and Y. Liu, “Adaptive event-triggered control for nonlinear systems with time-varying parameter uncertainties,” Int. J. Robust Nonlinear Control, vol. 34, no. 3, pp. 2094–2108, Feb. 2024. doi: 10.1002/rnc.7072
    [25]
    R. D. Nussbaum, “Some remarks on a conjecture in parameter adaptive control,” Syst. Control Lett., vol. 3, no. 5, pp. 243–246, Nov. 1983. doi: 10.1016/0167-6911(83)90021-X
    [26]
    X. Ye and J. Jiang, “Adaptive nonlinear design without a priori knowledge of control directions,” IEEE Trans. Autom. Control, vol. 43, no. 11, pp. 1617–1621, Nov. 1998. doi: 10.1109/9.728882
    [27]
    X. Ye, “Asymptotic regulation of time-varying uncertain nonlinear systems with unknown control directions,” Automatica, vol. 35, no. 5, pp. 929–935, May 1999. doi: 10.1016/S0005-1098(98)00228-3
    [28]
    C. P. Bechlioulis and G. A. Rovithakis, “Adaptive control with guaranteed transient and steady state tracking error bounds for strict feedback systems,” Automatica, vol. 45, no. 2, pp. 532–538, Feb. 2009. doi: 10.1016/j.automatica.2008.08.012
    [29]
    Z. Chen, “Nussbaum functions in adaptive control with time-varying unknown control coefficients,” Automatica, vol. 102, pp. 72–79, Apr. 2019. doi: 10.1016/j.automatica.2018.12.035
    [30]
    K. Zhao, C. Wen, Y. Song, and F. L. Lewis, “Adaptive uniform performance control of strict-feedback nonlinear systems with time-varying control gain,” IEEE/CAA J. Autom. Sinica, vol. 10, no. 2, pp. 451–461, Feb. 2023. doi: 10.1109/JAS.2022.106064
    [31]
    Z. Zhang, Y. Song, and C. Wen, “Adaptive decentralized output-feedback control dealing with static/dynamic interactions and different-unknown subsystem control directions,” IEEE Trans. Autom. Control, vol. 66, no. 8, pp. 3818–3824, Aug. 2021. doi: 10.1109/TAC.2020.3028563
    [32]
    C. Wang, C. Wen, and L. Guo, “Adaptive consensus control for nonlinear multiagent systems with unknown control directions and time-varying actuator faults,” IEEE Trans. Autom. Control, vol. 66, no. 9, pp. 4222–4229, Sep. 2021. doi: 10.1109/TAC.2020.3034209
    [33]
    C. Liu and Y. Liu, “Overcoming limitations in stability theorems based on multiple Nussbaum functions,” Math. Control, Signals, Syst., vol. 37, no. 1, pp. 205–246, Mar. 2025. doi: 10.1007/s00498-024-00400-w
    [34]
    J. Huang, W. Wang, C. Wen, and J. Zhou, “Adaptive control of a class of strict-feedback time-varying nonlinear systems with unknown control coefficients,” Automatica, vol. 93, pp. 98–105, Jul. 2018. doi: 10.1016/j.automatica.2018.03.061
    [35]
    H. Ye, K. Zhao, H. Wu, and Y. Song, “Adaptive control with global exponential stability for parameter-varying nonlinear systems under unknown control gains,” IEEE Trans. Cybern., vol. 53, no. 12, pp. 7858–7867, Dec. 2023. doi: 10.1109/TCYB.2022.3232115
    [36]
    G. Yuan and Z. Zhang, “Event-triggered adaptive prescribed performance tracking for nonlinear time-varying systems with unknown control directions,” Appl. Math. Computat., vol. 463, p. 128359, Feb. 2024. doi: 10.1016/j.amc.2023.128359
    [37]
    A. Bounemeur and M. Chemachema, “Finite-time output-feedback fault tolerant adaptive fuzzy control framework for a class of MIMO saturated nonlinear systems,” Int. J. Syst. Sci., vol. 56, no. 4, pp. 733–752, Apr. 2025. doi: 10.1080/00207721.2024.2409853
    [38]
    A. Bounemeur, M. Chemachema, and N. Essounbouli, “Indirect adaptive fuzzy fault-tolerant tracking control for MIMO nonlinear systems with actuator and sensor failures,” ISA Trans., vol. 79, pp. 45–61, Aug. 2018. doi: 10.1016/j.isatra.2018.04.014
    [39]
    X. Sun, W. Chen, and H. Dai, “Event-triggered adaptive control for a class of non-linear systems with multiple unknown control directions,” IET Control Theory Appl., vol. 12, no. 5, pp. 629–637, Mar. 2018. doi: 10.1049/iet-cta.2017.0662
    [40]
    N.-N. Zhao, X.-Y. Ouyang, L.-B. Wu, and F.-R. Shi, “Event-triggered adaptive prescribed performance control of uncertain nonlinear systems with unknown control directions,” ISA Trans., vol. 108, pp. 121–130, Feb. 2021. doi: 10.1016/j.isatra.2020.08.027
    [41]
    W. Lin and C. Qian, “Adaptive control of nonlinearly parameterized systems: The smooth feedback case,” IEEE Trans. Autom. Control, vol. 47, no. 8, pp. 1249–1266, Aug. 2002. doi: 10.1109/TAC.2002.800773
    [42]
    R. Marino and P. Tomei, “An adaptive output feedback control for a class of nonlinear systems with time-varying parameters,” IEEE Trans. Autom. Control, vol. 44, no. 11, pp. 2190–2194, Nov. 1999. doi: 10.1109/9.802943
    [43]
    J. Wu, J. Zhao, and D. Wu, “Indirect adaptive robust control of nonlinear systems with time-varying parameters in a strict feedback form,” Int. J. Robust Nonlinear Control, vol. 28, no. 13, pp. 3835–3851, Sep. 2018. doi: 10.1002/rnc.4107

Catalog

    通讯作者: 陈斌, bchen63@163.com
    • 1. 

      沈阳化工大学材料科学与工程学院 沈阳 110142

    1. 本站搜索
    2. 百度学术搜索
    3. 万方数据库搜索
    4. CNKI搜索

    Figures(10)  / Tables(1)

    Article Metrics

    Article views (26) PDF downloads(7) Cited by()

    /

    DownLoad:  Full-Size Img  PowerPoint
    Return
    Return