A journal of IEEE and CAA , publishes high-quality papers in English on original theoretical/experimental research and development in all areas of automation
Volume 13 Issue 2
Feb.  2026

IEEE/CAA Journal of Automatica Sinica

  • JCR Impact Factor: 19.2, Top 1 (SCI Q1)
    CiteScore: 28.2, Top 1% (Q1)
    Google Scholar h5-index: 95, TOP 5
Turn off MathJax
Article Contents
S. Zhan, X. Li, Y. Zou, and S. Li, “Dynamic event-triggered mechanisms with positive minimum inter-event times for linear multiagent consensus on directed graphs,” IEEE/CAA J. Autom. Sinica, vol. 13, no. 2, pp. 436–450, Feb. 2026. doi: 10.1109/JAS.2025.125822
Citation: S. Zhan, X. Li, Y. Zou, and S. Li, “Dynamic event-triggered mechanisms with positive minimum inter-event times for linear multiagent consensus on directed graphs,” IEEE/CAA J. Autom. Sinica, vol. 13, no. 2, pp. 436–450, Feb. 2026. doi: 10.1109/JAS.2025.125822

Dynamic Event-Triggered Mechanisms With Positive Minimum Inter-Event Times for Linear Multiagent Consensus on Directed Graphs

doi: 10.1109/JAS.2025.125822
Funds:  This work was supported in part by the Natural Science Foundation of China (62273227, 92367203) and the Open Research Project of the State Key Laboratory of Industrial Control Technology, China (ICT2024B68)
More Information
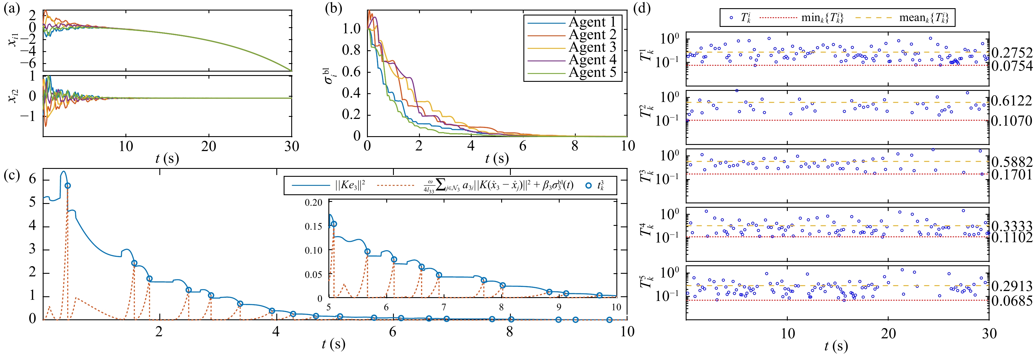
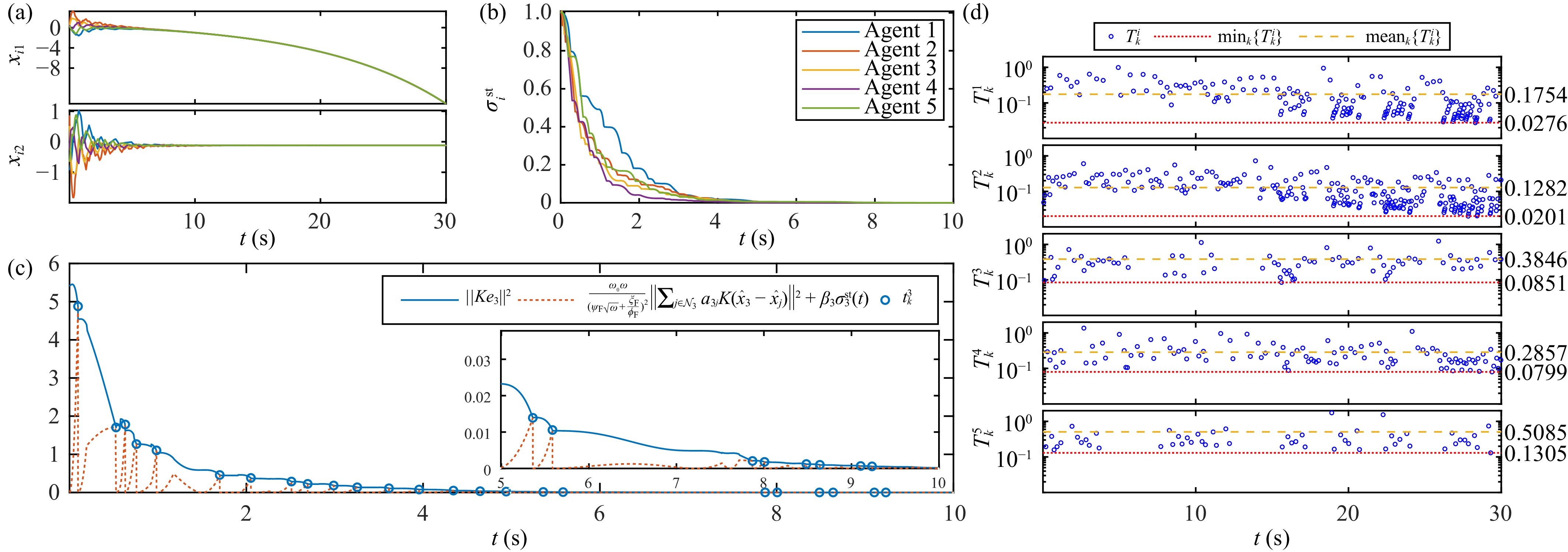
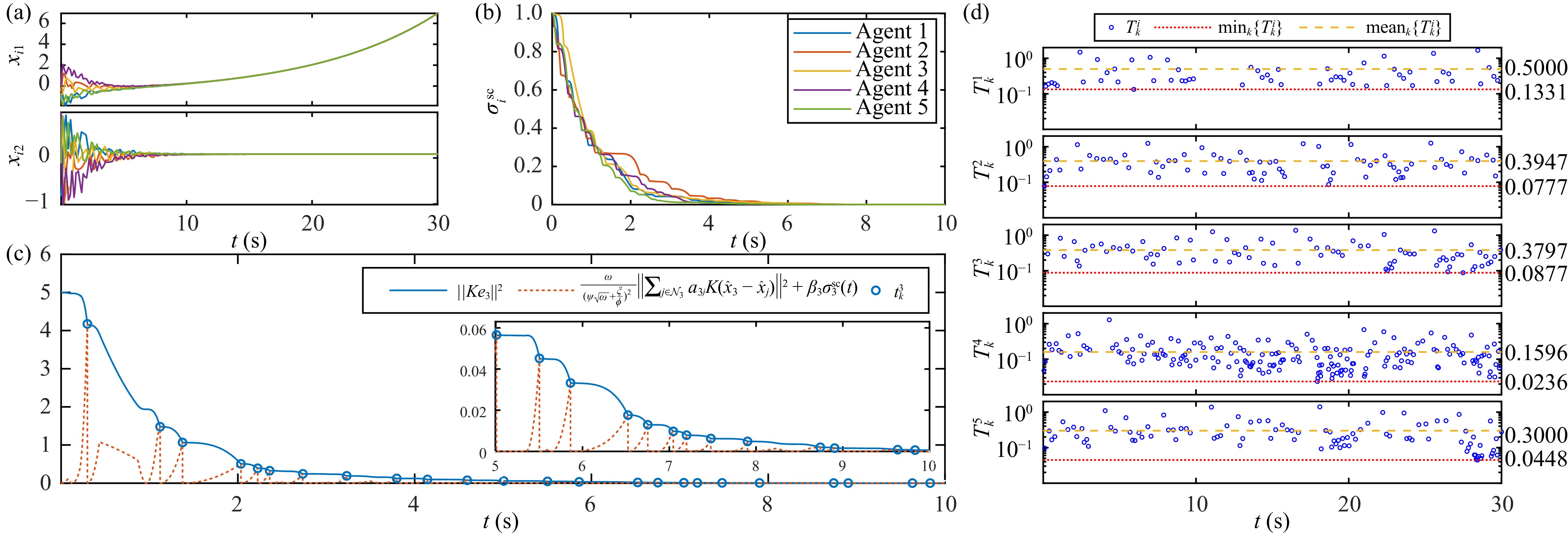
  • This article studies the consensus problem with directed graphs for general linear multi-agent systems. New distributed state-feedback protocols with dynamic event-triggered (DET) mechanisms are proposed for directed graphs that are strongly connected and weight-balanced, general strongly connected, and have spanning trees, respectively. It is proven that strictly positive minimum inter-event times (MIETs) are ensured using the designed DET mechanisms. Several numerical examples are presented to illustrate the effectiveness of the theoretical results. Compared with existing results, our results have the following merits: 1) DET mechanisms are designed to determine the sampling instants, which can reduce the communication frequency between agents compared with static mechanisms; 2) We focus on the consensus problem on directed graphs, which is more general than existing related results on undirected graphs; 3) The existence of positive MIETs is shown to be guaranteed by the designed DET sampling strategies while existing related results can only exclude Zeno behavior.

     

  • loading
  • 1 The corresponding SET mechanism is the same as the DET one but with the dynamic variables being fixed to be zero.
  • [1]
    Y. Cao, W. Yu, W. Ren, and G. Chen, “An overview of recent progress in the study of distributed multi-agent coordination,” IEEE Trans. Ind. Inf., vol. 9, no. 1, pp. 427–438, Feb. 2013. doi: 10.1109/TII.2012.2219061
    [2]
    T. Yang, X. Yi, J. Wu, Y. Yuan, D. Wu, Z. Meng, Y. Hong, H. Wang, Z. Lin, and K. H. Johansson, “A survey of distributed optimization,” Annu. Rev. Control, vol. 47, pp. 278–305, 2019. doi: 10.1016/j.arcontrol.2019.05.006
    [3]
    H. Cai and G. Hu, “Distributed robust hierarchical power sharing control of grid-connected spatially concentrated AC microgrid,” IEEE Trans. Control Syst. Technol., vol. 27, no. 3, pp. 1012–1022, May 2019. doi: 10.1109/TCST.2017.2789182
    [4]
    R. Olfati-Saber, J. A. Fax, and R. M. Murray, “Consensus and cooperation in networked multi-agent systems,” Proc. IEEE, vol. 95, no. 1, pp. 215–233, Jan. 2007. doi: 10.1109/JPROC.2006.887293
    [5]
    W. Ren, “On consensus algorithms for double-integrator dynamics,” IEEE Trans. Autom. Control, vol. 53, no. 6, pp. 1503–1509, Jul. 2008. doi: 10.1109/TAC.2008.924961
    [6]
    C. Nowzari, E. Garcia, and J. Cortés, “Event-triggered communication and control of networked systems for multi-agent consensus,” Automatica, vol. 105, pp. 1–27, Jul. 2019. doi: 10.1016/j.automatica.2019.03.009
    [7]
    D. V. Dimarogonas, E. Frazzoli, and K. H. Johansson, “Distributed event-triggered control for multi-agent systems,” IEEE Trans. Autom. Control, vol. 57, no. 5, pp. 1291–1297, May 2012. doi: 10.1109/TAC.2011.2174666
    [8]
    H. Zhang, G. Feng, H. Yan, and Q. Chen, “Distributed self-triggered control for consensus of multi-agent systems,” IEEE/CAA J. Autom. Sinica, vol. 1, no. 1, pp. 40–45, Jan. 2014.
    [9]
    D. Yang, W. Ren, X. Liu, and W. Chen, “Decentralized event-triggered consensus for linear multi-agent systems under general directed graphs,” Automatica, vol. 69, pp. 242–249, Jul. 2016. doi: 10.1016/j.automatica.2016.03.003
    [10]
    M. Yu, C. Yan, D. Xie, and G. Xie, “Event-triggered tracking consensus with packet losses and time-varying delays,” IEEE/CAA J. Autom. Sinica, vol. 3, no. 2, pp. 165–173, Apr. 2016. doi: 10.1109/jas.2016.7451104
    [11]
    B. Cheng and Z. Li, “Fully distributed event-triggered protocols for linear multiagent networks,” IEEE Trans. Autom. Control, vol. 64, no. 4, pp. 1655–1662, Apr. 2019. doi: 10.1109/TAC.2018.2857723
    [12]
    Q. Wei, X. Wang, X. Zhong, and N. Wu, “Consensus control of leader-following multi-agent systems in directed topology with heterogeneous disturbances,” IEEE/CAA J. Autom. Sinica, vol. 8, no. 2, pp. 423–431, Feb. 2021. doi: 10.1109/JAS.2021.1003838
    [13]
    X. Li, Y. Tang, Y. Zou, S. Li, and W. X. Zheng, “Output-feedback multiagent consensus with intermittent communication on directed graphs,” IEEE Trans. Autom. Control, vol. 69, no. 4, pp. 2537–2544, Apr. 2024. doi: 10.1109/TAC.2023.3335274
    [14]
    X. Li, Y. Tang, Y. Zou, S. Li, and W. X. Zheng, “A hybrid time/event-triggered interaction framework for multi-agent consensus with relative measurements,” Automatica, vol. 159, p. 111369, Jan. 2024. doi: 10.1016/j.automatica.2023.111369
    [15]
    P. Tabuada, “Event-triggered real-time scheduling of stabilizing control tasks,” IEEE Trans. Autom. Control, vol. 52, no. 9, pp. 1680–1685, Sep. 2007. doi: 10.1109/TAC.2007.904277
    [16]
    A. Girard, “Dynamic triggering mechanisms for event-triggered control,” IEEE Trans. Autom. Control, vol. 60, no. 7, pp. 1992–1997, Jul. 2015. doi: 10.1109/TAC.2014.2366855
    [17]
    X. Yi, K. Liu, D. V. Dimarogonas, and K. H. Johansson, “Dynamic event-triggered and self-triggered control for multi-agent systems,” IEEE Trans. Autom. Control, vol. 64, no. 8, pp. 3300–3307, Aug. 2019. doi: 10.1109/TAC.2018.2874703
    [18]
    X. Li, Y. Tang, and S. Li, “A dynamic event-triggered approach to multi-agent consensus,” in Proc. 39th Chinese Control Conf., Shenyang, China, 2020, pp. 5104−5109.
    [19]
    W. He, B. Xu, Q.-L. Han, and F. Qian, “Adaptive consensus control of linear multiagent systems with dynamic event-triggered strategies,” IEEE Trans. Cybern., vol. 50, no. 7, pp. 2996–3008, Jul. 2020. doi: 10.1109/TCYB.2019.2920093
    [20]
    R. Koike, T. Endo, and F. Matsuno, “Output-based dynamic event-triggered consensus control for linear multiagent systems,” Automatica, vol. 133, p. 109863, Nov. 2021. doi: 10.1016/j.automatica.2021.109863
    [21]
    W. Xu, W. He, D. W. C. Ho, and J. Kurths, “Fully distributed observer-based consensus protocol: Adaptive dynamic event-triggered schemes,” Automatica, vol. 139, p. 110188, May 2022. doi: 10.1016/j.automatica.2022.110188
    [22]
    W. Hu, C. Yang, T. Huang, and W. Gui, “A distributed dynamic event-triggered control approach to consensus of linear multiagent systems with directed networks,” IEEE Trans. Cybern., vol. 50, no. 2, pp. 869–874, Feb. 2020. doi: 10.1109/TCYB.2018.2868778
    [23]
    Y. Wu, H. Zhang, Z. Wang, C. Zhang, and C. Huang, “Leader-following and leaderless consensus of linear multiagent systems under directed graphs by double dynamic event-triggered mechanism,” IEEE Trans. Syst. Man Cybern. Syst., vol. 52, no. 10, pp. 6426–6438, Oct. 2022. doi: 10.1109/TSMC.2022.3145575
    [24]
    M. Li, Y. Long, T. Li, H. Liang, and C. L. P. Chen, “Dynamic event-triggered consensus control for input constrained multi-agent systems with a designable minimum inter-event time,” IEEE/CAA J. Autom. Sinica, vol. 11, no. 3, pp. 649–660, Mar. 2024. doi: 10.1109/JAS.2023.123582
    [25]
    X. Meng and T. Chen, “Event based agreement protocols for multi-agent networks,” Automatica, vol. 49, no. 7, pp. 2125–2132, Jul. 2013. doi: 10.1016/j.automatica.2013.03.002
    [26]
    W. P. M. H. Heemels, M. C. F. Donkers, and A. R. Teel, “Periodic event-triggered control for linear systems,” IEEE Trans. Autom. Control, vol. 58, no. 4, pp. 847–861, Apr. 2013. doi: 10.1109/TAC.2012.2220443
    [27]
    C. Nowzari and J. Cortés, “Distributed event-triggered coordination for average consensus on weight-balanced digraphs,” Automatica, vol. 68, pp. 237–244, Jun. 2016. doi: 10.1016/j.automatica.2016.01.069
    [28]
    J. Berneburg and C. Nowzari, “Distributed dynamic event-triggered coordination with a designable minimum inter-event time,” in Proc. American Control Conf., Philadelphia, USA, 2019, pp. 1424−1429.
    [29]
    J. Berneburg and C. Nowzari, “Robust dynamic event-triggered coordination with a designable minimum interevent time,” IEEE Trans. Autom. Control, vol. 66, no. 8, pp. 3417–3428, Aug. 2021. doi: 10.1109/TAC.2020.3020809
    [30]
    Y.-Y. Qian and Y. Wan, “Design of distributed adaptive event-triggered consensus control strategies with positive minimum inter-event times,” Automatica, vol. 133, p. 109837, Nov. 2021. doi: 10.1016/j.automatica.2021.109837
    [31]
    G. Zhao and C. Hua, “A hybrid dynamic event-triggered approach to consensus of multiagent systems with external disturbances,” IEEE Trans. Autom. Control, vol. 66, no. 7, pp. 3213–3220, Jul. 2021. doi: 10.1109/TAC.2020.3018437
    [32]
    S. Guo and X. Meng, “Fully distributed control of multiagent networks with edge-based event-triggered communication,” IEEE Trans. Autom. Control, vol. 68, no. 9, pp. 5630–5637, Sep. 2023. doi: 10.1109/TAC.2022.3223973
    [33]
    Y. Wu, H. Zhang, and Z. Wang, “A robust hybrid triggered mechanism for consensus control of multi-agent systems under directed graphs,” Automatica, vol. 154, p. 111073, Aug. 2023. doi: 10.1016/j.automatica.2023.111073
    [34]
    M. Fiedler, “A property of eigenvectors of nonnegative symmetric matrices and its application to graph theory,” Czech. Math. J., vol. 25, no. 4, pp. 619–633, 1975. doi: 10.21136/CMJ.1975.101357
    [35]
    Z. Qu, Cooperative Control of Dynamical Systems: Applications to Autonomous Vehicles. London, UK: Springer, 2009.
    [36]
    W. Yu, G. Chen, M. Cao, and J. Kurths, “Second-order consensus for multiagent systems with directed topologies and nonlinear dynamics,” IEEE Trans. Syst. Man Cybern. B Cybern., vol. 40, no. 3, pp. 881–891, Jun. 2010. doi: 10.1109/TSMCB.2009.2031624
    [37]
    V. Kucera, “A contribution to matrix quadratic equations,” IEEE Trans. Autom. Control, vol. 17, no. 3, pp. 344–347, Jun. 1972. doi: 10.1109/TAC.1972.1099983
    [38]
    Y. Cheng and V. Ugrinovskii, “Event-triggered leader-following tracking control for multivariable multi-agent systems,” Automatica, vol. 70, pp. 204–210, Aug. 2016. doi: 10.1016/j.automatica.2016.04.003
    [39]
    W. Hu, L. Liu, and G. Feng, “Consensus of linear multi-agent systems by distributed event-triggered strategy,” IEEE Trans. Cybern., vol. 46, no. 1, pp. 148–157, Jan. 2016. doi: 10.1109/TCYB.2015.2398892
    [40]
    X. Li, Y. Tang, Y. Zou, S. Li, and W. Zheng, “Event-triggered multiagent consensus under relative output sensing,” IEEE Trans. Cybern., vol. 54, no. 2, pp. 915–928, Feb. 2024. doi: 10.1109/TCYB.2022.3171577
    [41]
    H. K. Khalil, Nonlinear Systems. 3rd ed. Upper Saddle River, USA: Prentice Hall, 2002.
    [42]
    V. S. Dolk, R. Postoyan, and W. P. M. H. Heemels, “Event-triggered consensus for multi-agent systems with guaranteed robust positive minimum inter-event times,” in Proc. 58th IEEE Conf. Decision Control, Nice, France, 2019, pp. 2604−2609.
    [43]
    K. J. A. Scheres, V. S. Dolk, M. S. Chong, R. Postoyan, and W. P. M. H. Heemels, “Distributed periodic event-triggered control of nonlinear multi-agent systems,” IFAC-PapersOnLine, vol. 55, no. 13, pp. 168–173, 2022. doi: 10.1016/j.ifacol.2022.07.254
    [44]
    A. Berman and R. J. Plemmons, Nonnegative Matrices in the Mathematical Sciences. Philadelphia, USA: SIAM, 1994.
    [45]
    G. Wang and Z. Zuo, “Consensus algorithms for double-integrator dynamics with different velocity and actuator saturation constraints,” Automatica, vol. 170, p. 111860, Dec. 2024. doi: 10.1016/j.automatica.2024.111860

Catalog

    通讯作者: 陈斌, bchen63@163.com
    • 1. 

      沈阳化工大学材料科学与工程学院 沈阳 110142

    1. 本站搜索
    2. 百度学术搜索
    3. 万方数据库搜索
    4. CNKI搜索

    Figures(4)  / Tables(1)

    Article Metrics

    Article views (398) PDF downloads(22) Cited by()

    /

    DownLoad:  Full-Size Img  PowerPoint
    Return
    Return